3D Inductive Frequency Selective Structures Using Additive Manufacturing and Low-Cost Metallization
Abstract
:1. Introduction
2. Design and Manufacturing
2.1. Square Aperture 3D FSS
2.1.1. WoodPile FSS
2.1.2. Torus
2.2. Manufacturing
Full Structure Design
2.3. Additive Manufacturing
2.4. Nickel Spray Painting Metallization
2.5. Copper Electroplating
3. Measurements
3.1. Measurement Setup
3.2. 3D Dielectric FSS
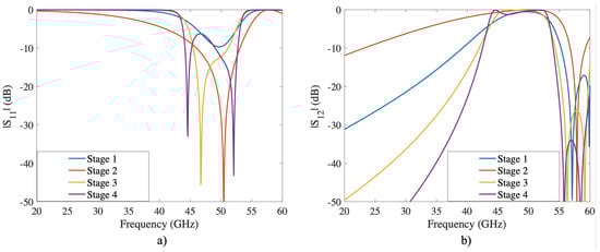
3.3. 3D Metallized FSS
4. Discussion
5. Conclusions
Author Contributions
Funding
Institutional Review Board Statement
Informed Consent Statement
Data Availability Statement
Conflicts of Interest
Abbreviations
| FSS | Frequency Selective Surfaces |
| 3DIFSS | Three-Dimensional Inductive Frequency Selective Structure |
| AM | Additive Manufacturing |
| SLA | Stereolithograpy |
| IFSS | Inductive Frequency Selective Surfaces |
| IPA | Iso-Propyl Alcohol |
| PLA | Polylactic Acid |
| ABS | Acrylonitrile Butadiene Styrene |
References
- Wu, T.K. Frequency Selective Surface and Grid Array; Wiley: Hoboken, NJ, USA, 1995. [Google Scholar]
- Munk, B.A. Frequency Selective Surfaces: Theory and Design; John Wiley & Sons: Hoboken, NJ, USA, 2000; p. 416. [Google Scholar] [CrossRef]
- Azemi, S.N.; Ghorbani, K.; Rowe, W.S.T. 3D frequency selective surfaces. Prog. Electromagn. Res. C 2012, 29, 191–203. [Google Scholar] [CrossRef] [Green Version]
- Rashid, A.K.; Li, B.; Shen, Z. An overview of three-dimensional frequency-selective structures. IEEE Antennas Propag. Mag. 2014, 56, 43–67. [Google Scholar] [CrossRef]
- Azemi, S.N.; Ghorbani, K.; Rowe, W.S. A reconfigurable FSS using a spring resonator element. IEEE Antennas Wirel. Propag. Lett. 2013, 12, 781–784. [Google Scholar] [CrossRef]
- Sivasamy, R.; Kanagasabai, M. Novel Reconfigurable 3D Frequency Selective Surface. IEEE Trans. Compon. Packag. Manuf. Technol. 2017, 7, 1678–1682. [Google Scholar] [CrossRef]
- Rashid, A.K.; Shen, Z. A novel band-reject frequency selective surface with pseudo-elliptic response. IEEE Trans. Antennas Propag. 2010, 58, 1220–1226. [Google Scholar] [CrossRef]
- Rashid, A.K.; Shen, Z.; Li, B. An elliptical bandpass frequency selective structure based on microstrip lines. IEEE Trans. Antennas Propag. 2012, 60, 4661–4669. [Google Scholar] [CrossRef]
- Sanz-Izquierdo, B.; Parker, E.A. 3D printing of elements in frequency selective arrays. IEEE Trans. Antennas Propag. 2014, 62, 6060–6066. [Google Scholar] [CrossRef]
- Zhu, D.Z.; Gregory, M.D.; Werner, P.L.; Werner, D.H. Fabrication and characterization of multiband polarization independent 3-d-printed frequency selective structures with ultrawide fields of view. IEEE Trans. Antennas Propag. 2018, 66, 6069–6105. [Google Scholar] [CrossRef]
- Sanz-Izquierdo, B.; Parker, E.A. 3D printed FSS arrays for long wavelength applications. In Proceedings of the 8th European Conference on Antennas and Propagation, The Hague, The Netherlands, 6–11 April 2014; Volume 45, pp. 2382–2386. [Google Scholar] [CrossRef]
- Singh, D.; Yadav, R.P. A 3D printed square loop frequency selective surface for harmonic radar applications. J. Electromagn. Waves Appl. 2020, 34, 396–406. [Google Scholar] [CrossRef]
- Singh, D.; Jain, A.; Yadav, R.P. Development of circular loop frequency selective surface using 3-d printing technique. Prog. Electromagn. Res. M 2020, 90, 195–203. [Google Scholar] [CrossRef] [Green Version]
- Tang, W.; Zhu, J.; Wang, C.; Ge, J.; Yu, Z.; Zhuang, W. Waveguide 3D FSSs by 3D printing technique. In Proceedings of the 2016 18th International Conference on Electromagnetics in Advanced Applications, Queensland, Australia, 19–23 September 2016; pp. 675–678. [Google Scholar] [CrossRef]
- Cho, S.S.; Yoon, S.H.; Hong, I.P. Design of Three-Dimensional Frequency Selective Structure with Replaceable Unit Structures Using a 3D Printing Technique. IEEE Antennas Wirel. Propag. Lett. 2018, 17, 2041–2045. [Google Scholar] [CrossRef]
- Carbon-fiber reinforced, S.S.U. Evaluation of One-Staged 3D Printed Frequency. IEEE Trans. Compon. Packag. Manuf. Technol. 2019, 9, 2298–2304. [Google Scholar]
- Qin, Q.; Huang, J.; Yao, J.; Gao, W. Design and optimization of projection stereolithography additive manufacturing system with multi-pass scanning. Rapid Prototyp. J. 2021, 27, 636–642. [Google Scholar] [CrossRef]
- Schlotthauer, T.; Nitsche, J.; Middendorf, P. Evaluation of UV post-curing depth for homogenous cross-linking of stereolithography parts. Rapid Prototyp. J. 2021, 27, 1910–1916. [Google Scholar] [CrossRef]
- Hui, J.; Yan, Z.; Lv, J.; Liu, Y.; Ding, K.; Chan, F.T. An investigation on energy consumption and part quality of stereolithography apparatus manufactured parts. Rapid Prototyp. J. 2021. [Google Scholar] [CrossRef]
- Uysal, E.; Çakir, M.; Ekici, B. Graphene oxide/epoxy acrylate nanocomposite production via SLA and importance of graphene oxide surface modification for mechanical properties. Rapid Prototyp. J. 2021, 27, 682–691. [Google Scholar] [CrossRef]
- Liang, F.; Gao, J. A novel method for fabricating curved frequency selective surface via 3D printing technology. In Proceedings of the International Symposium on Optoelectronic Technology and Application 2014: Laser Materials Processing; and Micro/Nano Technologies, Beijing, China, 13–15 May 2014; Volume 9295, p. 929513. [Google Scholar] [CrossRef]
- Molero Jimenez, C.; Menargues, E.; Garcia-Vigueras, M. All-Metal 3D Frequency-Selective Surface with Versatile Dual-Band Polarization Conversion. IEEE Trans. Antennas Propag. 2020, 68, 5431–5441. [Google Scholar] [CrossRef]
- Harnois, M.; Himdi, M.; Yong, W.Y.; Rahim, S.K.A.; Tekkouk, K.; Cheval, N. An Improved Fabrication Technique for the 3D Frequency Selective Surface based on Water Transfer Printing Technology. Sci. Rep. 2020, 10, 1714. [Google Scholar] [CrossRef] [Green Version]
- Ederra, I.; Azcona, L.; Alderman, B.E.; Laisné, A.; Gonzalo, R.; Mann, C.M.; Matheson, D.N.; de Maagt, P. A 250 GHz subharmonic mixer design using EBG technology. IEEE Trans. Antennas Propag. 2007, 55, 2974–2982. [Google Scholar] [CrossRef]
- Frezza, F.; Pajewski, L.; Piuzzi, E.; Ponti, C.; Schettini, G. Radiation-enhancement properties of an X-band woodpile EBG and its application to a planar antenna. Int. J. Antennas Propag. 2014, 2014, 729187. [Google Scholar] [CrossRef]
- Sarabandi, K.; Behdad, N. A Frequency Selective Surface with Miniaturized Elements. IEEE Trans. Antennas Propag. 2007, 55, 1239–1245. [Google Scholar] [CrossRef]
- Tamayo-Dominguez, A.; Sanchez-Olivares, P.; Camacho-Hernandez, A.; Fernandez-Gonzalez, J.M. Guidelines for Accurate In-House Electroplating and 3D-Printing Processes Applied to mm-Wave Devices. IEEE Microw. Wirel. Compon. Lett. 2021. submitted under review. [Google Scholar]









| Square Aperture | Woodpile | Torus | |
|---|---|---|---|
| Area (cm) | 760.27 | 885.35 | 1002.69 |
| Time (h) | 4 | 4 | 4 |
| Current (A) | 3.8 | 4.42 | 5 |
Publisher’s Note: MDPI stays neutral with regard to jurisdictional claims in published maps and institutional affiliations. |
© 2022 by the authors. Licensee MDPI, Basel, Switzerland. This article is an open access article distributed under the terms and conditions of the Creative Commons Attribution (CC BY) license (https://creativecommons.org/licenses/by/4.0/).
Share and Cite
Vásquez-Peralvo, J.A.; Tamayo-Domínguez, A.; Pérez-Palomino, G.; Fernández-González, J.M.; Wong, T. 3D Inductive Frequency Selective Structures Using Additive Manufacturing and Low-Cost Metallization. Sensors 2022, 22, 552. https://doi.org/10.3390/s22020552
Vásquez-Peralvo JA, Tamayo-Domínguez A, Pérez-Palomino G, Fernández-González JM, Wong T. 3D Inductive Frequency Selective Structures Using Additive Manufacturing and Low-Cost Metallization. Sensors. 2022; 22(2):552. https://doi.org/10.3390/s22020552
Chicago/Turabian StyleVásquez-Peralvo, Juan Andrés, Adrián Tamayo-Domínguez, Gerardo Pérez-Palomino, José Manuel Fernández-González, and Thomas Wong. 2022. "3D Inductive Frequency Selective Structures Using Additive Manufacturing and Low-Cost Metallization" Sensors 22, no. 2: 552. https://doi.org/10.3390/s22020552
APA StyleVásquez-Peralvo, J. A., Tamayo-Domínguez, A., Pérez-Palomino, G., Fernández-González, J. M., & Wong, T. (2022). 3D Inductive Frequency Selective Structures Using Additive Manufacturing and Low-Cost Metallization. Sensors, 22(2), 552. https://doi.org/10.3390/s22020552

