Simplified Attachable EEG Revealed Child Development Dependent Neurofeedback Brain Acute Activities in Comparison with Visual Numerical Discrimination Task and Resting
Abstract
1. Introduction
2. Materials and Methods
2.1. Participant Age and Sex
2.2. EEG Measurement System
2.2.1. Hardware
2.2.2. Signal Pre-Processing
2.3. Three Stages of Visual Tasks, “0back”, “Rest”, and “NFT”
2.4. Analyses of Age-Dependency in Relative Power of Four EEG Wave Bands
- A
- Ratio (0BACK versus REST) = (0BACK − REST)/(0BACK + REST)
- B
- Ratio (NFT versus REST) = (NFT − REST)/(NFT + REST)
- C
- Ratio (NFT versus 0BACK) = (NFT − 0BACK)/(NFT + 0BACK)
3. Results
3.1. Trends of Four EEG Wave Band Ratios during Three Stages of the Game
3.2. Age-Dependent Linear Regression Analysis
3.2.1. Four Wave Band Power Content and Beta/Theta Ratios
3.2.2. Median Value Comparison between Stages
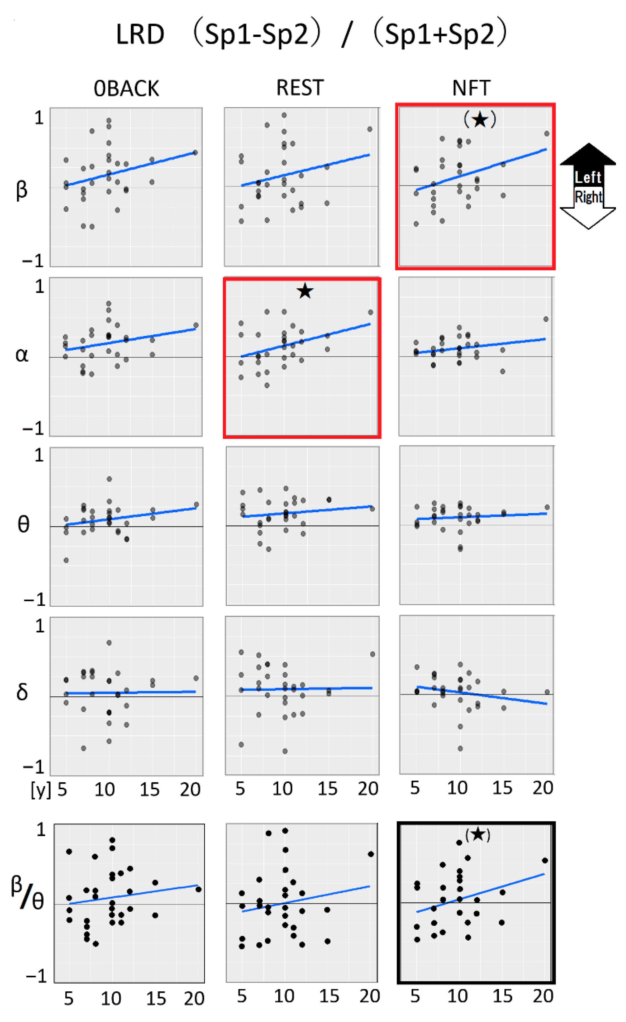
3.2.3. Median Value Comparison between Left (Sp1) and Right (Sp2)
4. Discussion
5. Conclusions
Author Contributions
Funding
Institutional Review Board Statement
Informed Consent Statement
Data Availability Statement
Acknowledgments
Conflicts of Interest
References
- Sitaram, R.; Ros, T.; Stoeckel, L.; Haller, S.; Scharnowski, F.; Lewis-Peacock, J.; Weiskopf, N.; Blefari, M.L.; Rana, M.; Oblak, E.; et al. Closed-loop brain training: The science of neurofeedback. Nat. Rev. Neurosci. 2017, 18, 86–100. [Google Scholar] [CrossRef] [PubMed]
- Clarke, A.R.; Barry, R.J.; McCarthy, R.; Selikowitz, M. Age and sex effects in the EEG: Differences in two subtypes of attention-deficit/hyperactivity disorder. Clin. Neurophysiol. 2001, 112, 815–826. [Google Scholar] [CrossRef]
- Enriquez-Geppert, S.; Huster, R.J.; Herrmann, C.S. EEG-neurofeedback as a tool to modulate cognition and behavior: A review tutorial. Front. Hum. Neurosci. 2017, 11, 51. [Google Scholar] [CrossRef] [PubMed]
- Tanaka, M.; Shigihara, Y.; Ishii, A.; Funakura, M.; Kanai, E.; Watanabe, Y. Effect of mental fatigue on the central nervous system: An electroencephalography study. Behav. Brain Funct. 2012, 8, 48. [Google Scholar] [CrossRef] [PubMed]
- Papo, D. Neurofeedback: Principles, appraisal, and outstanding issues. Eur. J. Neurosci. 2019, 49, 1454–1469. [Google Scholar] [CrossRef]
- Nan, W.; Wan, M.; Jiang, Y.; Shi, X.; Wan, F.; Cai, D. Alpha/Theta Ratio Neurofeedback Training for Attention Enhancement in Normal Developing Children: A Brief Report. Appl. Psychophysiol. Biofeedback 2022, 47, 223–229. [Google Scholar] [CrossRef]
- Shereena, E.A.; Gupta, R.K.; Bennett, C.N.; Sagar, K.J.V.; Rajeswaran, J. EEG Neurofeedback Training in Children With Attention Deficit/Hyperactivity Disorder: A Cognitive and Behavioral Outcome Study. Clin. EEG Neurosci. 2019, 50, 242–255. [Google Scholar] [CrossRef]
- Lenartowicz, A.; Loo, S.K. Use of EEG to Diagnose ADHD. Curr. Psychiatry Rep. 2014, 16, 498. [Google Scholar] [CrossRef]
- Moriyama, T.S.; Polanczyk, G.; Caye, A.; Banaschewski, T.; Brandeis, D.; Rohde, L.A. Evidence-Based Information on the Clinical Use of Neurofeedback for ADHD. Neurotherapeutics 2012, 9, 588–598. [Google Scholar] [CrossRef]
- Mekkawy, L. Efficacy of neurofeedback as a treatment modality for children in the autistic spectrum. Bull. Natl. Res. Cent. 2021, 45, 45. [Google Scholar] [CrossRef]
- Martínez-Briones, B.J.; Bosch-Bayard, J.; Biscay-Lirio, R.J.; Silva-Pereyra, J.; Albarrán-Cárdenas, L.; Fernández, T. Effects of neurofeedback on the working memory of children with learning disorders—An EEG power-spectrum analysis. Brain Sci. 2021, 11, 957. [Google Scholar] [CrossRef]
- Loriette, C.; Ziane, C.; Ben Hamed, S. Neurofeedback for cognitive enhancement and intervention and brain plasticity. Rev. Neurol. 2021, 177, 1133–1144. [Google Scholar] [CrossRef] [PubMed]
- Hamaneh, M.B.; Limotai, C.; Lüders, H.O. Sphenoidal electrodes significantly change the results of source localization of interictal spikes for a large percentage of patients with temporal lobe epilepsy. J. Clin. Neurophysiol. 2011, 28, 373–379. [Google Scholar] [CrossRef] [PubMed]
- Homan, R.W.; Herman, J.; Purdy, P. Cerebral location of international 10–20 system electrode placement. Electroencephalogr. Clin. Neurophysiol. 1987, 66, 376–382. [Google Scholar] [CrossRef]
- Lutsyuk, N.V.; Éismont, E.V.; Pavlenko, V.B. Modulation of attention in healthy children using a course of EEG-feedback sessions. Neurophysiology 2006, 38, 389–395. [Google Scholar] [CrossRef]
- Nan, W.; Wan, F.; Vai, M.I.; Da Rosa, A.C. Resting and initial beta amplitudes predict learning ability in beta/theta ratio neurofeedback training in healthy young adults. Front. Hum. Neurosci. 2015, 9, 677. [Google Scholar] [CrossRef]
- Wang, Y.; Sokhadze, E.M.; El-Baz, A.S.; Li, X.; Sears, L.; Casanova, M.F.; Tasman, A. Relative power of specific eeg bands and their ratios during neurofeedback training in children with autism spectrum disorder. Front. Hum. Neurosci. 2016, 9, 723. [Google Scholar] [CrossRef]
- Bazanova, O.M.; Auer, T.; Sapina, E.A. On the Efficiency of Individualized Theta/Beta Ratio Neurofeedback Combined with Forehead EMG Training in ADHD Children. Front. Hum. Neurosci. 2018, 12, 3. [Google Scholar] [CrossRef]
- Hong, C.; Lee, I. Effects of Neurofeedback Training on Attention in Children with Intellectual Disability. J. Neurother. 2012, 16, 110–122. [Google Scholar] [CrossRef]
- Koshiba, M.; Shirakawa, Y.; Mimura, K.; Senoo, A.; Karino, G.; Nakamura, S. Familiarity Perception Call Elicited under Restricted Sensory Cues in Peer-Social Interactions of the Domestic Chick. PLoS ONE 2013, 8, e58847. [Google Scholar] [CrossRef][Green Version]
- Toyama, S.; Takano, K.; Kansaku, K. A non-adhesive solid-gel electrode for a non-invasive brain-machine interface. Front. Neurol. 2012, 3, 114. [Google Scholar] [CrossRef] [PubMed]
- Kurdi, B.; Lozano, S.; Banaji, M.R. Introducing the Open Affective Standardized Image Set (OASIS). Behav. Res. Methods 2017, 49, 457–470. [Google Scholar] [CrossRef] [PubMed]
- Van Doren, J.; Heinrich, H.; Bezold, M.; Reuter, N.; Kratz, O.; Horndasch, S.; Berking, M.; Ros, T.; Gevensleben, H.; Moll, G.H.; et al. Theta/beta neurofeedback in children with ADHD: Feasibility of a short-term setting and plasticity effects. Int. J. Psychophysiol. 2017, 112, 80–88. [Google Scholar] [CrossRef]
- Penttilä, M.; Partanen, J.V.; Soininen, H.; Riekkinen, P.J. Quantitative analysis of occipital EEG in different stages of Alzheimer’s disease. Electroencephalogr. Clin. Neurophysiol. 1985, 60, 1–6. [Google Scholar] [CrossRef]
- T Package. Package ‘Cosinor’; R Foundation for statistical Computing: Vienna, Austria, 2022.
- Marzbani, H.; Marateb, H.R.; Mansourian, M. Methodological note: Neurofeedback: A comprehensive review on system design, methodology and clinical applications. Basic Clin. Neurosci. J. 2016, 7, 143–158. [Google Scholar] [CrossRef]
- Batail, J.M.; Bioulac, S.; Cabestaing, F.; Daudet, C.; Drapier, D.; Fouillen, M.; Fovet, T.; Hakoun, A.; Jardri, R.; Jeunet, C.; et al. EEG neurofeedback research: A fertile ground for psychiatry? Encephale 2019, 45, 245–255. [Google Scholar] [CrossRef]
- Simkin, D.R.; Thatcher, R.W.; Lubar, J. Quantitative EEG and Neurofeedback in Children and Adolescents. Child Adolesc. Psychiatr. Clin. N. Am. 2014, 23, 427–464. [Google Scholar] [CrossRef]
- Sun, J.; He, J.; Gao, X. Neurofeedback Training of the Control Network Improves Children’s Performance with an SSVEP-based BCI. Neuroscience 2021, 478, 24–38. [Google Scholar] [CrossRef]
- Marins, T.; Rodrigues, E.C.; Bortolini, T.; Melo, B.; Moll, J.; Tovar-Moll, F. Structural and functional connectivity changes in response to short-term neurofeedback training with motor imagery. Neuroimage 2019, 194, 283–290. [Google Scholar] [CrossRef]
- Engelbregt, H.J.; Keeser, D.; van Eijk, L.; Suiker, E.M.; Eichhorn, D.; Karch, S.; Deijen, J.B.; Pogarell, O. Short and long-term effects of sham-controlled prefrontal EEG-neurofeedback training in healthy subjects. Clin. Neurophysiol. 2016, 127, 1931–1937. [Google Scholar] [CrossRef]
- Perone, S.; Palanisamy, J.; Carlson, S.M. Age-related change in brain rhythms from early to middle childhood: Links to executive function. Dev. Sci. 2018, 21, e12691. [Google Scholar] [CrossRef] [PubMed]
- Krause, C.M.; Sillanmäki, L.; Koivisto, M.; Saarela, C.; Häggqvist, A.; Laine, M.; Hämäläinen, H. The effects of memory load on event-related EEG desynchronization and synchronization. Clin. Neurophysiol. 2000, 111, 2071–2078. [Google Scholar] [CrossRef]
- Koshiba, M.; Nakamura, S.; Deng, C.; Rogers, L.J. Light-dependent development of asymmetry in the ipsilateral and contralateral thalamofugal visual projections of the chick. Neurosci. Lett. 2003, 336, 81–84. [Google Scholar] [CrossRef]
- Badcock, N.A.; Mousikou, P.; Mahajan, Y.; De Lissa, P.; Thie, J.; McArthur, G. Validation of the Emotiv EPOC® EEG gaming systemfor measuring research quality auditory ERPs. PeerJ 2013, 1, e38. [Google Scholar] [CrossRef]
- Jeste, S.S.; Frohlich, J.; Loo, S.K. Electrophysiological biomarkers of diagnosis and outcome in neurodevelopmental disorders. Curr. Opin. Neurol. 2015, 28, 110–116. [Google Scholar] [CrossRef] [PubMed]
- Arns, M.; Clark, C.R.; Trullinger, M.; deBeus, R.; Mack, M.; Aniftos, M. Neurofeedback and Attention-Deficit/Hyperactivity-Disorder (ADHD) in Children: Rating the Evidence and Proposed Guidelines. Appl. Psychophysiol. Biofeedback 2020, 45, 39–48. [Google Scholar] [CrossRef] [PubMed]
- Janssen, T.W.P.; Bink, M.; Weeda, W.D.; Geladé, K.; van Mourik, R.; Maras, A.; Oosterlaan, J. Learning curves of theta/beta neurofeedback in children with ADHD. Eur. Child Adolesc. Psychiatry 2017, 26, 573–582. [Google Scholar] [CrossRef]
- Yang, Z.; An, P.; Yang, J.; Strojny, S.; Zhang, Z.; Sun, D.; Zhao, J. Designing Mobile EEG Neurofeedback Games for Children with Autism: Implications from Industry Practice. In Adjunct Publication of the 23rd International Conference on Mobile Human-Computer Interaction; Association for Computing Machinery: New York, NY, USA, 2021; pp. 1–6. [Google Scholar] [CrossRef]
- Barba, M.C.; Covino, A.; De Luca, V.; De Paolis, L.T.; D’Errico, G.; Di Bitonto, P.; Di Gestore, S.; Magliaro, S.; Nunnari, F.; Paladini, G.I.; et al. BRAVO: A Gaming Environment for the Treatment of ADHD BT—Augmented Reality, Virtual Reality, and Computer Graphics; De Paolis, L.T., Bourdot, P., Eds.; Springer: Cham, Switzerland, 2019; pp. 394–407. [Google Scholar]
- Zamora Blanón, D.; Muñoz, J.E.; Lopez, D.S.; Henao Gallo, O. Processing Dedicated Toolbox; MindReflector Technol. LLC.: Harrisburg, PA, USA, 2016; Volume 3, pp. 1–8. [Google Scholar]
- Bosl, W.J.; Tager-Flusberg, H.; Nelson, C.A. EEG Analytics for Early Detection of Autism Spectrum Disorder: A data-driven approach. Sci. Rep. 2018, 8, 6828. [Google Scholar] [CrossRef]
- Pierce, S.; Kadlaskar, G.; Edmondson, D.A.; McNally Keehn, R.; Dydak, U.; Keehn, B. Associations between sensory processing and electrophysiological and neurochemical measures in children with ASD: An EEG-MRS study. J. Neurodev. Disord. 2021, 13, 5. [Google Scholar] [CrossRef]
- Padmanabhan, A.; Lynch, C.J.; Schaer, M.; Menon, V. The Default Mode Network in Autism. Biol. Psychiatry Cogn. Neurosci. Neuroimaging 2017, 2, 476–486. [Google Scholar] [CrossRef]
- Trachtman, J.N. Background and history of autism in relation to vision care. Optom.-J. Am. Optom. Assoc. 2008, 79, 391–396. [Google Scholar] [CrossRef] [PubMed]
- Sheela, P.; Puthankattil, S.D. A hybrid method for artifact removal of visual evoked eeg. J. Neurosci. Methods 2020, 336, 108638. [Google Scholar] [CrossRef] [PubMed]
- De Stefano, L.A.; Schmitt, L.M.; White, S.P.; Mosconi, M.W.; Sweeney, J.A.; Ethridge, L.E. Developmental Effects on Auditory Neural Oscillatory Synchronization Abnormalities in Autism Spectrum Disorder. Front. Integr. Neurosci. 2019, 13, 34. [Google Scholar] [CrossRef] [PubMed]
- Portnova, G.V.; Ivanova, O.; Proskurnina, E.V. Effects of EEG examination and ABA-therapy on resting-state EEG in children with low-functioning autism. AIMS Neurosci. 2020, 7, 153–167. [Google Scholar] [CrossRef]
- Chen, C.P.; Keown, C.L.; Jahedi, A.; Nair, A.; Pflieger, M.E.; Bailey, B.A.; Müller, R.A. Diagnostic classification of intrinsic functional connectivity highlights somatosensory, default mode, and visual regions in autism. NeuroImage Clin. 2015, 8, 238–245. [Google Scholar] [CrossRef]
- Branjerdporn, G.; Meredith, P.; Wilson, T.; Strong, J. Infant Developmental Outcomes: Influence of Prenatal Maternal–Fetal Attachment, Adult Attachment, Maternal Well-Being, and Perinatal Loss. Int. J. Environ. Res. Public Health 2022, 19, 2433. [Google Scholar] [CrossRef]
- Kana, R.K.; Libero, L.E.; Moore, M.S. Disrupted cortical connectivity theory as an explanatory model for autism spectrum disorders. Phys. Life Rev. 2011, 8, 410–437. [Google Scholar] [CrossRef]
- Hernandez, L.M.; Rudie, J.D.; Green, S.A.; Bookheimer, S.; Dapretto, M. Neural signatures of autism spectrum disorders: Insights into brain network dynamics. Neuropsychopharmacology 2015, 40, 171–189. [Google Scholar] [CrossRef]
- Fjørtoft, I. The natural environment as a playground for children: The impact of outdoor play activities in pre-primary school children. Early Child. Educ. J. 2001, 29, 111–117. [Google Scholar] [CrossRef]






| Age [year] | n (Female) | n (Male) | n (Total) |
|---|---|---|---|
| 5 | 1 | 3 | 4 |
| 7 | 5 | - | 5 |
| 8 | - | 4 | 4 |
| 10 | 7 | 1 | 8 |
| 11 | 3 | - | 3 |
| 12 | 3 | - | 3 |
| 15 | 2 | - | 2 |
| 20 | 1 | - | 1 |
| Total [n] | 22 | 8 | 30 |
| Average [year] | 10.4 | 7.1 | 9.5 |
| SD [year] | 3.2 | 1.8 | 3.3 |
| Band | Range [Hz] |
|---|---|
| delta | 2~4 |
| theta | 4~8 |
| alpha | 8~13 |
| beta | 13~30 |
| Sp1 | Sp2 | |||||
|---|---|---|---|---|---|---|
| 0BACK | REST | NFT | 0BACK | REST | NFT | |
| beta | 0.209 | 0.121 | 0.359 | 0.758 | 0.805 | 0.407 |
| alpha | 0.842 | 0.405 | 0.921 | 0.216 | 0.662 | 0.675 |
| theta | 0.230 | 0.228 | 0.423 | 0.911 | 0.732 | 0.643 |
| delta | 0.169 | 0.052 (*) | 0.187 | 0.980 | 0.439 | 0.515 |
| beta/theta | 0.351 | 0.132 | 0.301 | 0.722 | 0.386 | 0.710 |
| A: 0BACK Versus REST | B: NFT Versus REST | C: NFT Versus 0BACK | ||||
|---|---|---|---|---|---|---|
| Sp1 | Sp2 | Sp1 | Sp2 | Sp1 | Sp2 | |
| beta | 0.557 | 0.406 | 0.718 | 0.333 | 0.415 | 0.194 |
| alpha | 0.508 | 0.221 | 0.33 | 0.591 | 0.095 (*) | 0.279 |
| theta | 0.237 | 0.459 | 0.318 | 0.299 | 0.495 | 0.993 |
| delta | 0.17 | 0.21 | 0.196 | 0.030 * | 0.709 | 0.575 |
| LRD(Sp1 − Sp2)/(Sp1 + Sp2) | |||
|---|---|---|---|
| 0BACK | REST | NFT | |
| beta | 0.136 | 0.214 | 0.052 (*) |
| alpha | 0.158 | 0.044 * | 0.157 |
| theta | 0.183 | 0.423 | 0.59 |
| delta | 0.941 | 0.924 | 0.246 |
| beta/theta | 0.433 | 0.356 | 0.087 (*) |
Publisher’s Note: MDPI stays neutral with regard to jurisdictional claims in published maps and institutional affiliations. |
© 2022 by the authors. Licensee MDPI, Basel, Switzerland. This article is an open access article distributed under the terms and conditions of the Creative Commons Attribution (CC BY) license (https://creativecommons.org/licenses/by/4.0/).
Share and Cite
Oda, K.; Colman, R.; Koshiba, M. Simplified Attachable EEG Revealed Child Development Dependent Neurofeedback Brain Acute Activities in Comparison with Visual Numerical Discrimination Task and Resting. Sensors 2022, 22, 7207. https://doi.org/10.3390/s22197207
Oda K, Colman R, Koshiba M. Simplified Attachable EEG Revealed Child Development Dependent Neurofeedback Brain Acute Activities in Comparison with Visual Numerical Discrimination Task and Resting. Sensors. 2022; 22(19):7207. https://doi.org/10.3390/s22197207
Chicago/Turabian StyleOda, Kazuyuki, Ricki Colman, and Mamiko Koshiba. 2022. "Simplified Attachable EEG Revealed Child Development Dependent Neurofeedback Brain Acute Activities in Comparison with Visual Numerical Discrimination Task and Resting" Sensors 22, no. 19: 7207. https://doi.org/10.3390/s22197207
APA StyleOda, K., Colman, R., & Koshiba, M. (2022). Simplified Attachable EEG Revealed Child Development Dependent Neurofeedback Brain Acute Activities in Comparison with Visual Numerical Discrimination Task and Resting. Sensors, 22(19), 7207. https://doi.org/10.3390/s22197207
