Propagation Characteristics of Magnetic Tomography Method Detection Signals of Oil and Gas Pipelines Based on Boundary Conditions
Abstract
:1. Introduction
2. MTM Modeling
2.1. Magnetic Field Model of Stress Concentration Zone
2.2. Spatial Distribution Model
3. Simulation Calculation of Spatial Propagation Model
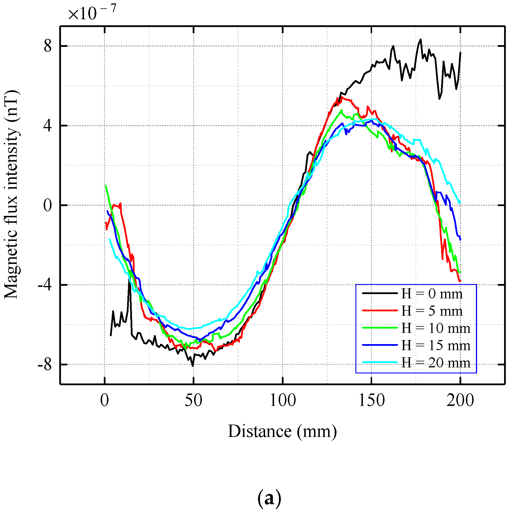
3.1. Propagation Characteristics of MTM Signal When the Stress Concentration Zone Is Located on the Top of the Inner Wall of the Pipe
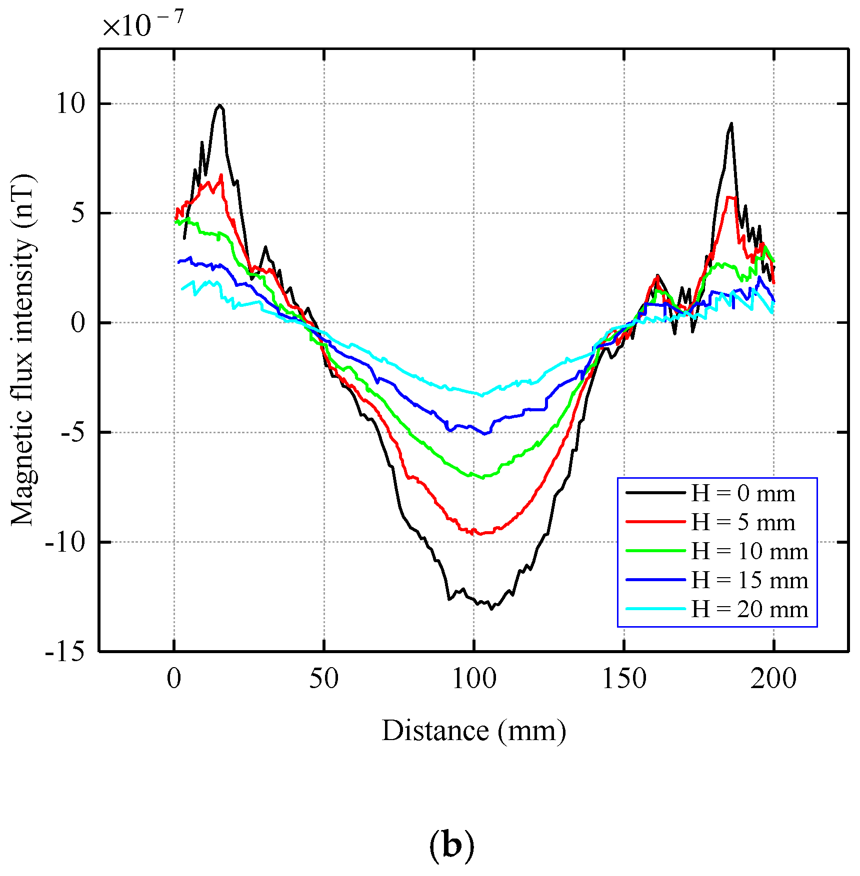
3.2. Propagation Characteristics of MTM Signal When the Stress Concentration Zone Is Located at the Bottom of the Inner Wall of the Pipe
4. Experiment
4.1. Design of Experiment
4.2. Experimental Results and Analysis
5. Conclusions
- During the transmission of the magnetic memory signal from the pipe to outer space, the signal strength decays exponentially with an increase in the propagation distance. As the magnetic permeability of the pipe medium is much higher than that of air, the magnetic signal intensity decays at the highest rate in a small area from the pipe outer wall to the outside of the pipe.
- The characteristics of the stress concentration zone remain unchanged during the transmission of the magnetic memory signal. In other words, the normal component has a peak value and tangential component zero-crossing, and the peak and zero positions both appear in the central axis of the stress concentration zone. Therefore, the position and shape of the stress concentration zone can be determined from the detection signal. The detection mechanism of magnetic tomography was also explained.
- The magnetic memory signal is measurable outside the pipe, regardless of whether the stress concentration zone is located at the top or bottom of the pipe. It has been proved that the magnetic tomography method can measure the stress concentration zone at any position in a pipeline. By studying the magnetic field distribution of the current-carrying coils that are placed at different positions, the results show that the detection accuracy is higher when the stress concentration zone is located on the top of the inner wall of the pipeline. Therefore, the corresponding relationship between the position of the stress concentration zone in the pipeline and the detection accuracy is also a future research direction.
Author Contributions
Funding
Institutional Review Board Statement
Informed Consent Statement
Data Availability Statement
Conflicts of Interest
References
- Dubov, A.A. A study of metal properties using the method of magnetic memory. Met. Sci. Heat. Treat. 1997, 39, 401–405. [Google Scholar] [CrossRef]
- Dubov, A. Energy diagnostics-is a physical basis of the metal magnetic memory method. In Proceedings of the 19th World Conference on Non-Destructive Testing, Munich, Germany, 13–17 June 2016. [Google Scholar]
- Kamaeva, S.S.; Kolesnikov, I.S.; Eremin, N.A.; Khusnutdinov, L.A. Remote inspection by the magnetic tomography method (MTM) to prevent the risks imposed by exploitation of Arctic offshore pipelines. IOP Conf. Ser. Mater. Sci. Eng. 2021, 700, 012051. [Google Scholar] [CrossRef]
- Steinvoorte, T. Unpiggable Pipelines, in Oil and Gas Pipelines: Integrity and Safety Handbook, 1st ed.; John Wiley & Sons, Inc.: Hoboken, NJ, USA, 2015; pp. 545–554. [Google Scholar]
- Transkor Group, Inc. Magnetic Tomography Method (MTM) Safety Programs for Underground and Underwater Pipelines. 2013. Available online: http://transkorgroup.com/safety-programs (accessed on 1 July 2022).
- Kolesnikov, I.; Transkor Group, Inc. Magnetic Tomography Method (MTM)—A Remote Non-destructive Inspection Technology for Buried and Sub Sea Pipelines. In Proceedings of the Arctic Technology Conference, Houston, TX, USA, 10–12 February 2014. [Google Scholar]
- Janega, G.; Grigil, V.; Kolesnikov, I. NYSEARCH’s validation program of Transkor’s Magnetic Tomography Method of pipe inspection. Pipeline Gas J. 2001, 238, 30–31. [Google Scholar]
- Matko, V.; Milanovič, M. Detection Principles of Temperature Compensated Oscillators with Reactance Influence on Piezoelectric Resonator. Sensors 2020, 20, 802. [Google Scholar] [CrossRef]
- Matko, V.; Milanović, M. High Resolution Switching Mode Inductance-to-Frequency Converter with Temperature Compensation. Sensors 2014, 14, 19242–19259. [Google Scholar] [CrossRef] [PubMed]
- Li, C.; Chen, C.; Liao, K. A quantitative study of signal characteristics of non-contact pipeline magnetic testing. Insight-Non-Destruct Test Condit. Mon. 2015, 57, 324–330. [Google Scholar] [CrossRef]
- Jarvis, R. Current Deflection NDE for Pipeline Inspection and Monitoring. Ph.D. Thesis, Department of Mechanical Engineering, Imperial College London, London, UK, 2017. [Google Scholar]
- Li, Z.; Jarvis, R.; Peter, B.N.; Dixon, S.; Cawley, P. Experimental and simulation methods to study the Magnetic Tomography Method (MTM) for pipe defect detection. NDT E Int. 2017, 92, 59–66. [Google Scholar] [CrossRef]
- Bin, L.; Zeyu, M.; Luyao, H.; Wang, D.; Zhang, H.; Ren, J. Quantitative study on the propagation characteristics of MMM signal for stress internal detection of long distance oil and gas pipeline. NDT E Int. 2018, 100, 40–47. [Google Scholar]
- Keivan, K. Elastic buckling of current-carrying double-nanowire systems immersed in a magnetic field. Acta Mech. 2016, 227, 3549–3570. [Google Scholar] [CrossRef]
- Zhong, W.C. Why the model of magnetic dipole, but not the model of magnetic domain is used for the research on magnetic testing principle. Nondestruct. Test. 2006, 28, 94–95. [Google Scholar]
- Zhang, C.Y.; Xiao, C.H.; Gao, J.J.; Zhou, G.H. Experiment research of magnetic dipole model applicability for a magnetic object. J. Basic Sci. Eng. 2010, 18, 862–868. [Google Scholar]
- Wan, D.F.; Ma, X.L. Magnetic Anisotropy and Magnetostriction, in Magnetophysics, 1st ed.; PHEI: Beijing, China, 1999; Chapter 5; pp. 216–269. [Google Scholar]
- Keivan, K. Vibrations and instability of pretensioned current-carrying nanowires acted upon by a suddenly applied three-dimensional magnetic field. Mater. Chem. Phys. 2015, 162, 531–541. [Google Scholar]
- Shi, P.; Jin, K.; Zheng, X. A magnetomechanical model for the magnetic memory method. Int. J. Mech. Sci. Vol. 2017, 124–125, 229–241. [Google Scholar] [CrossRef]
- Yang, L.; Zheng, F.; Huang, P.; Bai, S.; Su, Y. Research on the Analytical Model of Improved Magnetic Flux Leakage Signal for the Local Stress Concentration Zone of Pipelines. Sensors 2022, 22, 1128. [Google Scholar] [CrossRef] [PubMed]
- Chen, B.Q.; Shu, Y.S.; Hu, W.Y. Electromagnetic Properties of Matter, Special Topics in Electromagnetics, 1st ed.; HEP: Beijing, China, 2001; Chapter 4; pp. 243–255. [Google Scholar]
- Zhang, S.; Zhang, X.; Wang, H.; Zhao, M.; Li, Y.; Xu, G.; Yan, W. Forward Solver in Magnetoacoustic Tomography with Magnetic Induction by Generalized Finite-Element Method. IEEE Trans. Magn. 2016, 52, 5100204. [Google Scholar] [CrossRef]
- Yang, S.; Tan, M.; Yu, T.; Li, X.; Wang, X.; Zhang, J. Hybrid Reduced Graphene Oxide with Special Magnetoresistance for Wireless Magnetic Field Sensor. Nano-Micro Lett. 2020, 12, 69. [Google Scholar] [CrossRef] [PubMed]















| Parameters | Value | Unit |
|---|---|---|
| Pipe diameter | 700 | mm |
| Wall thickness | 20 | mm |
| Length of pipe | 6 | m |
| Electrical conductivity | S/m | |
| Pipe material | soft iron | - |
| Coil current density | 10 | A |
| Coil diameter | 100 | mm |
| Coil material | copper | - |
| Magnetic Flux Intensity (nT) | Lift-Off Value of H (cm) | ||||
|---|---|---|---|---|---|
| H = 0 | H = 5 | H = 10 | H = 15 | H = 20 | |
| Tangential component | 1.81 × 10−4 | 4.65 × | 1.85 × | 9.44 × | 6.25 × |
| Normal component | 3.70 × 10−4 | 1.07 × 10−4 | 4.09 × 10−5 | 1.96 × 10−5 | 1.01 × 10−5 |
| Magnetic Flux Intensity (nT) | Lift-Off Value of H (cm) | ||||
|---|---|---|---|---|---|
| H = 0 | H = 5 | H = 10 | H = 15 | H = 20 | |
| Tangential component | 8.34 × 10−7 | 5.44 × 10−7 | 4.79 × 10−7 | 4.28 × 10−7 | 4.33 × 10−7 |
| Normal component | 9.92 × 10−6 | 6.76 × 10−7 | 4.76 × 10−7 | 2.98 × 10−7 | 1.88 × 10−7 |
Publisher’s Note: MDPI stays neutral with regard to jurisdictional claims in published maps and institutional affiliations. |
© 2022 by the authors. Licensee MDPI, Basel, Switzerland. This article is an open access article distributed under the terms and conditions of the Creative Commons Attribution (CC BY) license (https://creativecommons.org/licenses/by/4.0/).
Share and Cite
Liu, L.; Yang, L.; Gao, S. Propagation Characteristics of Magnetic Tomography Method Detection Signals of Oil and Gas Pipelines Based on Boundary Conditions. Sensors 2022, 22, 6065. https://doi.org/10.3390/s22166065
Liu L, Yang L, Gao S. Propagation Characteristics of Magnetic Tomography Method Detection Signals of Oil and Gas Pipelines Based on Boundary Conditions. Sensors. 2022; 22(16):6065. https://doi.org/10.3390/s22166065
Chicago/Turabian StyleLiu, Linlin, Lijian Yang, and Songwei Gao. 2022. "Propagation Characteristics of Magnetic Tomography Method Detection Signals of Oil and Gas Pipelines Based on Boundary Conditions" Sensors 22, no. 16: 6065. https://doi.org/10.3390/s22166065
APA StyleLiu, L., Yang, L., & Gao, S. (2022). Propagation Characteristics of Magnetic Tomography Method Detection Signals of Oil and Gas Pipelines Based on Boundary Conditions. Sensors, 22(16), 6065. https://doi.org/10.3390/s22166065

