Dielectric Permittivity Measurement Using Open-Ended Coaxial Probe—Modeling and Simulation Based on the Simple Capacitive-Load Model
Abstract
:1. Introduction
2. Materials and Methods
2.1. Study Concept
2.1.1. Validation of the Simple Capacitive-Load Model by Physical Measurements
2.1.2. Validation of the Simulation of the Complete Measurement Process
2.2. Dielectric Permittivity
2.3. Open-Ended Coaxial Dielectric Probe Measurement Method in General
2.4. Slim-Form Probe
2.5. Materials under Test
2.6. Measurements
2.7. Simulations
2.7.1. Simulation Model
2.7.2. Frequency Domain: Method of Moments in FEKO
2.7.3. Time Domain: Finite Integration Technique in CST
2.8. Capacitive-Load Model
3. Results
3.1. Measurement Results
- Measurement result as a final value obtained from the measurement software (where the postprocessing of the measured reflection coefficient was embedded in the measurement software);
- Measurement result obtained by postprocessing of the reflection coefficient using the simple capacitive-load model;
- Dispersion model (Debye dispersion for water and Cole–Cole dispersion for saline solutions).
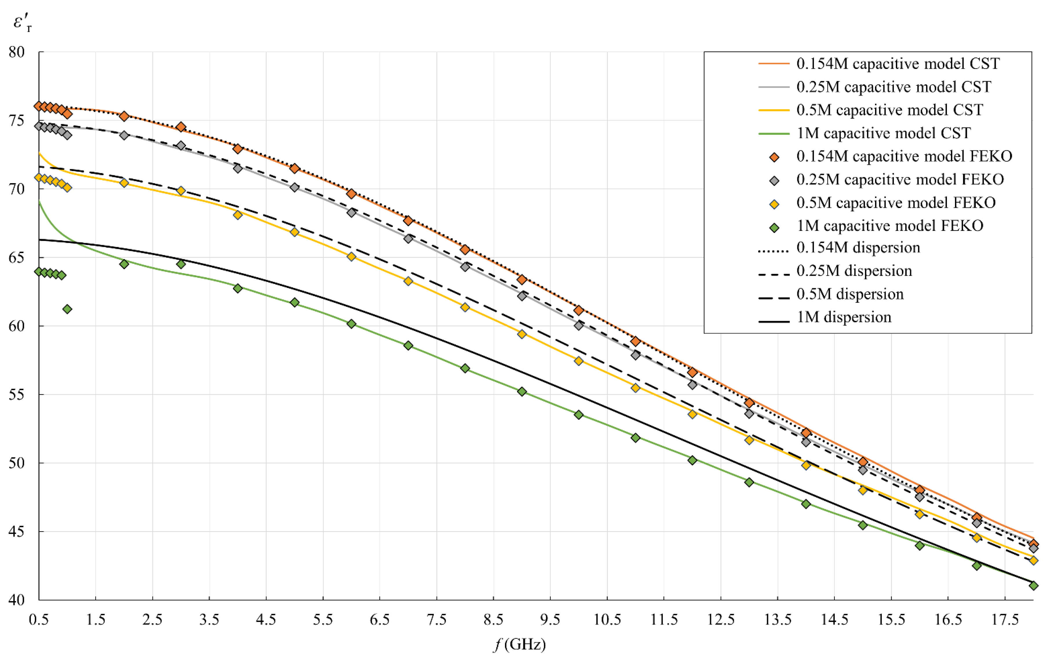
3.2. Simulation Results with the Simple Capacitive-Load Model
4. Discussion
4.1. Measurement Results with Respect to the Expected Saline Permittivity
4.2. Measurement Results with Respect to the Use of Simple Capacitive-Load Model
4.3. Simulation Results with Respect to the Use of Simple Capacitive-Load Model
5. Conclusions
Author Contributions
Funding
Institutional Review Board Statement
Data Availability Statement
Acknowledgments
Conflicts of Interest
References
- Mehrotra, P.; Chatterjee, B.; Sen, S. EM-Wave Biosensors: A Review of RF, Microwave, Mm-Wave and Optical Sensing. Sensors 2019, 19, 1013. [Google Scholar] [CrossRef] [PubMed]
- Hasgall, P.A.; Di Gennaro, F.; Baumgartner, C.; Neufeld, E.; Lloyd, B.; Gosselin, M.C.; Payne, D.; Klingenböck, A.; Kuster, N. IT’IS Database for Thermal and Electromagnetic Parameters of Biological Tissues, Version 4.0; IT’IS Foundation: Zürich, Switzerland, 2018. [Google Scholar]
- Gabriel, C.; Gabriel, S.; Corthout, E. The Dielectric Properties of Biological Tissues: I. Literature Survey. Phys. Med. Biol. 1996, 41, 2231–2249. [Google Scholar] [CrossRef] [PubMed]
- Gabriel, S.; Lau, R.W.; Gabriel, C. The Dielectric Properties of Biological Tissues: II. Measurements in the Frequency Range 10 Hz to 20 GHz. Phys. Med. Biol. 1996, 41, 2251–2269. [Google Scholar] [CrossRef]
- Gabriel, S.; Lau, R.W.; Gabriel, C. The Dielectric Properties of Biological Tissues: III. Parametric Models for the Dielectric Spectrum of Tissues. Phys. Med. Biol. 1996, 41, 2271–2293. [Google Scholar] [CrossRef]
- Jones, S.B.; Sheng, W.; Or, D. Dielectric Measurement of Agricultural Grain Moisture—Theory and Applications. Sensors 2022, 22, 2083. [Google Scholar] [CrossRef] [PubMed]
- D’Alvia, L.; Piuzzi, E.; Cataldo, A.; Del Prete, Z. Permittivity-Based Water Content Calibration Measurement in Wood-Based Cultural Heritage: A Preliminary Study. Sensors 2022, 22, 2148. [Google Scholar] [CrossRef]
- Chavanne, X.; Frangi, J.-P. Autonomous Sensors for Measuring Continuously the Moisture and Salinity of a Porous Medium. Sensors 2017, 17, 1094. [Google Scholar] [CrossRef]
- Juan, C.G.; Potelon, B.; Quendo, C.; Bronchalo, E. Microwave Planar Resonant Solutions for Glucose Concentration Sensing: A Systematic Review. Appl. Sci. 2021, 11, 7018. [Google Scholar] [CrossRef]
- Juan, C.G.; Bronchalo, E.; Potelon, B.; Quendo, C.; Sabater-Navarro, J.M. Glucose Concentration Measurement in Human Blood Plasma Solutions with Microwave Sensors. Sensors 2019, 19, 3779. [Google Scholar] [CrossRef]
- Zhekov, S.S.; Franek, O.; Pedersen, G.F. Dielectric Properties of Common Building Materials for Ultrawideband Propagation Studies [Measurements Corner]. IEEE Antennas Propag. Mag. 2020, 62, 72–81. [Google Scholar] [CrossRef]
- Stuchly, M.A.; Stuchly, S.S. Coaxial Line Reflection Methods for Measuring Dielectric Properties of Biological Substances at Radio and Microwave Frequencies—A Review. IEEE Trans. Instrum. Meas. 1980, 29, 176–183. [Google Scholar] [CrossRef]
- Gregory, A.P.; Clarke, R.N. Dielectric Metrology with Coaxial Sensors. Meas. Sci. Technol. 2007, 18, 1372–1386. [Google Scholar] [CrossRef]
- La Gioia, A.; Porter, E.; Merunka, I.; Shahzad, A.; Salahuddin, S.; Jones, M.; O’Halloran, M. Open-Ended Coaxial Probe Technique for Dielectric Measurement of Biological Tissues: Challenges and Common Practices. Diagnostics 2018, 8, 40. [Google Scholar] [CrossRef]
- Bobowski, J.S.; Johnson, T. Permittivity Measurements of Biological Samples by an Open-Ended Coaxial Line. Prog. Electromagn. Res. B 2012, 40, 159–183. [Google Scholar] [CrossRef]
- La Gioia, A.; O’Halloran, M.; Porter, E. Modelling the Sensing Radius of a Coaxial Probe for Dielectric Characterisation of Biological Tissues. IEEE Access 2018, 6, 46516–46526. [Google Scholar] [CrossRef]
- La Gioia, A.; Salahuddin, S.; O’Halloran, M.; Porter, E. Quantification of the Sensing Radius of a Coaxial Probe for Accurate Interpretation of Heterogeneous Tissue Dielectric Data. IEEE J. Electromagn. RF Microw. Med. Biol. 2018, 2, 145–153. [Google Scholar] [CrossRef]
- Brace, C.L.; Etoz, S. An Analysis of Open-Ended Coaxial Probe Sensitivity to Heterogeneous Media. Sensors 2020, 20, 5372. [Google Scholar] [CrossRef] [PubMed]
- Aydinalp, C.; Joof, S.; Dilman, I.; Akduman, I.; Yilmaz, T. Characterization of Open-Ended Coaxial Probe Sensing Depth with Respect to Aperture Size for Dielectric Property Measurement of Heterogeneous Tissues. Sensors 2022, 22, 760. [Google Scholar] [CrossRef]
- Meaney, P.M.; Gregory, A.P.; Epstein, N.R.; Paulsen, K.D. Microwave Open-Ended Coaxial Dielectric Probe: Interpretation of the Sensing Volume Re-Visited. BMC Med. Phys. 2014, 14, 3. [Google Scholar] [CrossRef]
- Meaney, P.M.; Gregory, A.P.; Seppala, J.; Lahtinen, T. Open-Ended Coaxial Dielectric Probe Effective Penetration Depth Determination. IEEE Trans. Microw. Theory Tech. 2016, 64, 915–923. [Google Scholar] [CrossRef]
- Šarolić, A.; Matković, A. Effect of the Coaxial Dielectric Probe Diameter on Its Permittivity Sensing Depth at 2 GHz—Simulation Study. In Proceedings of the 23rd International Conference on Applied Electromagnetics and Communications (ICECOM), Dubrovnik, Croatia, 30 September–2 October 2019; pp. 1–4. [Google Scholar]
- Aydinalp, C.; Joof, S.; Yilmaz, T. Towards Non-Invasive Diagnosis of Skin Cancer: Sensing Depth Investigation of Open-Ended Coaxial Probes. Sensors 2021, 21, 1319. [Google Scholar] [CrossRef] [PubMed]
- Maenhout, G.; Markovic, T.; Ocket, I.; Nauwelaers, B. Effect of Open-Ended Coaxial Probe-to-Tissue Contact Pressure on Dielectric Measurements. Sensors 2020, 20, 2060. [Google Scholar] [CrossRef] [PubMed]
- Maenhout, G.; Markovic, T.; Nauwelaers, B. Controlled Measurement Setup for Ultra-Wideband Dielectric Modeling of Muscle Tissue in 20–45 °C Temperature Range. Sensors 2021, 21, 7644. [Google Scholar] [CrossRef]
- Stuchly, M.A.; Brady, M.M.; Stuchly, S.S.; Gajda, G. Equivalent Circuit of an Open-Ended Coaxial Line in a Lossy Dielectric. IEEE Trans. Instrum. Meas. 1982, IM-31, 116–119. [Google Scholar] [CrossRef]
- Marsland, T.P.; Evans, S. Dielectric Measurements with an Open-Ended Coaxial Probe. IEE Proc. H Microw. Antennas Propag. 1987, 134, 341–349. [Google Scholar] [CrossRef]
- Berube, D.; Ghannouchi, F.M.; Savard, P. A Comparative Study of Four Open-Ended Coaxial Probe Models for Permittivity Measurements of Lossy Dielectric/Biological Materials at Microwave Frequencies. IEEE Trans. Microw. Theory Techn. 1996, 44, 1928–1934. [Google Scholar] [CrossRef]
- Ruvio, G.; Vaselli, M.; Lopresto, V.; Pinto, R.; Farina, L.; Cavagnaro, M. Comparison of Different Methods for Dielectric Properties Measurements in Liquid Sample Media. Int. J. RF Microw. Comput. Aided Eng. 2018, 28, e21215. [Google Scholar] [CrossRef]
- Cavagnaro, M.; Ruvio, G. Numerical Sensitivity Analysis for Dielectric Characterization of Biological Samples by Open-Ended Probe Technique. Sensors 2020, 20, 3756. [Google Scholar] [CrossRef]
- Gioia, A.L.; O’Halloran, M.; Elahi, A.; Porter, E. Investigation of Histology Radius for Dielectric Characterisation of Heterogeneous Materials. IEEE Trans. Dielect. Electr. Insul. 2018, 25, 1064–1079. [Google Scholar] [CrossRef]
- Farshkaran, A.; Porter, E. Improved Sensing Volume Estimates for Coaxial Probes to Measure the Dielectric Properties of Inhomogeneous Tissues. IEEE J. Electromagn. RF Microw. Med. Biol. 2022, 6, 253–259. [Google Scholar] [CrossRef]
- Keysight Technologies. N1500A Materials Measurement Suite—Technical Overview; Keysight Technologies: Santa Rosa, CA, USA, 2021. [Google Scholar]
- Altair Feko. Available online: https://www.altair.com/feko/ (accessed on 6 May 2022).
- CST Studio Suite 3D EM Simulation and Analysis Software. Available online: https://www.3ds.com/products-services/simulia/products/cst-studio-suite/ (accessed on 6 May 2022).
- Keysight Technologies. Keysight N1501A Dielectric Probe Kit 10 MHz to 50 GHz—Technical Overview; Keysight Technologies: Santa Rosa, CA, USA, 2018. [Google Scholar]
- DAK—Dielectric Assessment Kit Product Line. Available online: https://speag.swiss/products/dak/overview/ (accessed on 6 May 2022).
- Šarolić, A. Open-Ended Coaxial Dielectric Probe Model for Biological Tissue Sensing Depth Analysis at 2 GHz. In Proceedings of the 2019 European Microwave Conference in Central Europe (EuMCE), Prague, Czech Republic, 13–15 May 2019; pp. 605–608. [Google Scholar]
- Pasternack Enterprises. 086 Semi-Rigid Coax Cable with Copper Outer Conductor—Datasheet; Pasternack Enterprises: Irvine, CA, USA, 2013. [Google Scholar]
- Keysight Technologies. Basics of Measuring the Dielectric Properties of Materials; Application Note; Keysight Technologies: Santa Rosa, CA, USA, 2020. [Google Scholar]
- Blackham, D.V.; Pollard, R.D. An Improved Technique for Permittivity Measurements Using a Coaxial Probe. IEEE Trans. Instrum. Meas. 1997, 46, 1093–1099. [Google Scholar] [CrossRef]
- Debye, P. Polar Molecules; The Chemical Catalog Company Inc.: New York, NY, USA, 1929. [Google Scholar]
- Cole, K.S.; Cole, R.H. Dispersion and Absorption in Dielectrics I. Alternating Current Characteristics. J. Chem. Phys. 1941, 9, 341–351. [Google Scholar] [CrossRef]
- Peyman, A.; Gabriel, C.; Grant, E.H. Complex Permittivity of Sodium Chloride Solutions at Microwave Frequencies. Bioelectromagnetics 2007, 28, 264–274. [Google Scholar] [CrossRef] [PubMed]
- Awad, S.; Allison, S.P.; Lobo, D.N. The History of 0.9% Saline. Clin. Nutr. 2008, 27, 179–188. [Google Scholar] [CrossRef]
- Kaatze, U. Complex Permittivity of Water as a Function of Frequency and Temperature. J. Chem. Eng. Data 1989, 34, 371–374. [Google Scholar] [CrossRef]
- Wei, Y.; Sridhar, S. Technique for Measuring the Frequency-dependent Complex Dielectric Constants of Liquids up to 20 GHz. Rev. Sci. Instrum. 1989, 60, 3041–3046. [Google Scholar] [CrossRef]
- Bao, J.Z.; Davis, C.C.; Swicord, M.L. Microwave Dielectric Measurements of Erythrocyte Suspensions. Biophys. J. 1994, 66, 2173–2180. [Google Scholar] [CrossRef]
- Bao, J.; Swicord, M.L.; Davis, C.C. Microwave Dielectric Characterization of Binary Mixtures of Water, Methanol, and Ethanol. J. Chem. Phys. 1996, 104, 4441–4450. [Google Scholar] [CrossRef]
- Stogryn, A. Equations for Calculating the Dielectric Constant of Saline Water (Correspondence). IEEE Trans. Microw. Theory Techn. 1971, 19, 733–736. [Google Scholar] [CrossRef]
- Gulich, R.; Köhler, M.; Lunkenheimer, P.; Loidl, A. Dielectric Spectroscopy on Aqueous Electrolytic Solutions. Radiat. Environ. Biophys. 2009, 48, 107–114. [Google Scholar] [CrossRef]
- Gadani, D.H.; Rana, V.A.; Bhatnagar, S.P.; Prajapati, A.N.; Vyas, A.D. Effect of Salinity on the Dielectric Properties of Water. Indian J. Pure Appl. Phys. 2012, 50, 405–410. [Google Scholar]
- Bakam Nguenouho, O.S.; Chevalier, A.; Potelon, B.; Benedicto, J.; Quendo, C. Dielectric Characterization and Modelling of Aqueous Solutions Involving Sodium Chloride and Sucrose and Application to the Design of a Bi-Parameter RF-Sensor. Sci. Rep. 2022, 12, 7209. [Google Scholar] [CrossRef] [PubMed]
- Lvovich, V.F. Impedance Spectroscopy: Application to Electrochemical and Dielectric Phenomena; John Wiley & Sons Inc.: Hoboken, NJ, USA, 2012; ISBN 978-1-118-16407-5. [Google Scholar]
















| Saline Concentration | 0.154M | 0.25M | 0.5M | 1M |
|---|---|---|---|---|
| 76.22 | 74.912 | 71.741 | 66.398 | |
| τ [s] | 8.033 × 10−12 | 7.930 × 10−12 | 7.686 × 10−12 | 7.297 × 10−12 |
| α | 1.020 × 10−2 | 1.535 × 10−2 | 2.432 × 10−2 | 2.313 × 10−2 |
| [S/m] | 1.543 | 2.469 | 4.741 | 8.691 |
| Saline Concentration | 0.154M | 0.25M | 0.5M | 1M | |
|---|---|---|---|---|---|
| Maximum relative error magnitude | 0.5% | 1.3% | 3.6% | 11.3% | |
| Average relative error magnitude | 0.2% | 0.3% | 0.7% | 1.6% | |
| Standard deviation of the relative error magnitude | 0.2% | 0.4% | 0.9% | 2.4% | |
| Maximum relative error magnitude | 5.3% | 6.6% | 6.1% | 6.6% | |
| Average relative error magnitude | 0.6% | 1.0% | 1.0% | 1.2% | |
| Standard deviation of the relative error magnitude | 1.0% | 1.4% | 1.1% | 1.1% |
| Saline Concentration | 0.154M | 0.25M | 0.5M | 1M | |
|---|---|---|---|---|---|
| Maximum relative error magnitude | 1.1% | 1.1% | 1.4% | 4.2% | |
| Average relative error magnitude | 0.3% | 0.4% | 0.7% | 1.6% | |
| Standard deviation of the relative error magnitude | 0.3% | 0.3% | 0.3% | 0.7% | |
| Maximum relative error magnitude | 2.5% | 1.7% | 2.3% | 3.6% | |
| Average relative error magnitude | 0.9% | 0.9% | 1.2% | 1.8% | |
| Standard deviation of the relative error magnitude | 0.4% | 0.3% | 0.7% | 1.3% |
| Saline Concentration | 0.154M | 0.25M | 0.5M | 1M | |
|---|---|---|---|---|---|
| Maximum relative error magnitude | 0.7% | 0.9% | 1.8% | 7.4% | |
| Average relative error magnitude | 0.2% | 0.4% | 0.9% | 2.4% | |
| Standard deviation of the relative error magnitude | 0.1% | 0.2% | 0.5% | 1.4% | |
| Maximum relative error magnitude | 4.1% | 3.9% | 3.5% | 2.9% | |
| Average relative error magnitude | 1.2% | 1.3% | 1.5% | 1.8% | |
| Standard deviation of the relative error magnitude | 1.3% | 1.2% | 1.0% | 1.1% |
Publisher’s Note: MDPI stays neutral with regard to jurisdictional claims in published maps and institutional affiliations. |
© 2022 by the authors. Licensee MDPI, Basel, Switzerland. This article is an open access article distributed under the terms and conditions of the Creative Commons Attribution (CC BY) license (https://creativecommons.org/licenses/by/4.0/).
Share and Cite
Šarolić, A.; Matković, A. Dielectric Permittivity Measurement Using Open-Ended Coaxial Probe—Modeling and Simulation Based on the Simple Capacitive-Load Model. Sensors 2022, 22, 6024. https://doi.org/10.3390/s22166024
Šarolić A, Matković A. Dielectric Permittivity Measurement Using Open-Ended Coaxial Probe—Modeling and Simulation Based on the Simple Capacitive-Load Model. Sensors. 2022; 22(16):6024. https://doi.org/10.3390/s22166024
Chicago/Turabian StyleŠarolić, Antonio, and Anđela Matković. 2022. "Dielectric Permittivity Measurement Using Open-Ended Coaxial Probe—Modeling and Simulation Based on the Simple Capacitive-Load Model" Sensors 22, no. 16: 6024. https://doi.org/10.3390/s22166024
APA StyleŠarolić, A., & Matković, A. (2022). Dielectric Permittivity Measurement Using Open-Ended Coaxial Probe—Modeling and Simulation Based on the Simple Capacitive-Load Model. Sensors, 22(16), 6024. https://doi.org/10.3390/s22166024

