Prediction of Urban Taxi Travel Demand by Using Hybrid Dynamic Graph Convolutional Network Model
Abstract
:1. Introduction
- We proposed a new dynamic graph generation method to reflect the real-time travel demand conditions which could generate dynamic graphs sequence on the time series. The dynamic graph convolution module could effectively capture the spatial features possessed by dynamic graphs thus to reduce prediction errors.
- We designed a spatial-temporal prediction network incorporating static area graphs and traffic flow similarity graphs. This deep learning network combines GCN and GRU, in which the former is used to learn the spatial features, and the latter is used to learn the temporal features of the traffic network.
- We combined the real-world travel demand data with demonstrating the validity of the proposed model. In the experiments, HDGCN focuses on mining the spatial-temporal properties of historical demand data. The results indicate that HDGCN has great potential in urban travel demand prediction and urban transportation management for its excellent performance in error reduction and temporal stability.
2. Related Works
2.1. Travel Demand Forecasting Models
2.2. Dynamic Graph Neural Network
3. Preliminaries
4. Methodology
4.1. Framework
4.2. Dynamic Graph Generation
4.3. Dynamic Graph Convolution Module
4.4. Spatio-Temporal Prediction Network
5. Experiments
5.1. Dataset Description
5.2. Experimental Settings
5.3. Baselines
- ARIMA, which is a popular prediction model using a time series forecasting method that combines autoregressive and moving average.
- SVR, which is a classic machine learning model for time series analysis that uses linear support vector machines for regression.
- Extreme Gradient Boosting (XGBoost), which is an efficient, flexible, and portable integrated learning algorithm that comprises many CART trees.
- Multiple layer perceptron (MLP), which is a common feedforward neural network with strong self-adaptation and self-learning capabilities. MLP can solve nonlinear and high-dimensional problems through special activation functions.
- GRU, which is an extension of RNN with good performance in time series modeling. We forecast future demand in each region by establishing a GRU for each region, and its settings are consistent with the GRU settings in DHGNN.
- GCN, which is essentially a feature extractor that takes graph data as the object. In this paper, we build a two-layer graph convolutional neural network with geographically adjacent graph as the input of GCN, and use the fully connected layer to predict the demand of all regions.
- DCRNN, which designs a diffusion convolutional neural network to model roads, which combines GRU and bidirectional diffusion convolution. It is a data-driven prediction framework.
- T-GCN, which integrates GCN and GRU. GCN is used to capture spatial dependencies, and GRU is used to extract temporal dependencies.
- STGCN, which applies the full convolutional structure to build the model and is an integrative framework of graph convolution network and convolutional sequence.
- DySAT, which is a dynamic graph convolution algorithm based on discrete networks. It aggregates the node features of each snapshot through GCN and then aggregates the temporal features of each node in each snapshot by self-attention.
5.4. Experiment Results and Analysis
5.4.1. Modeling Performance Compared with the Baseline Models
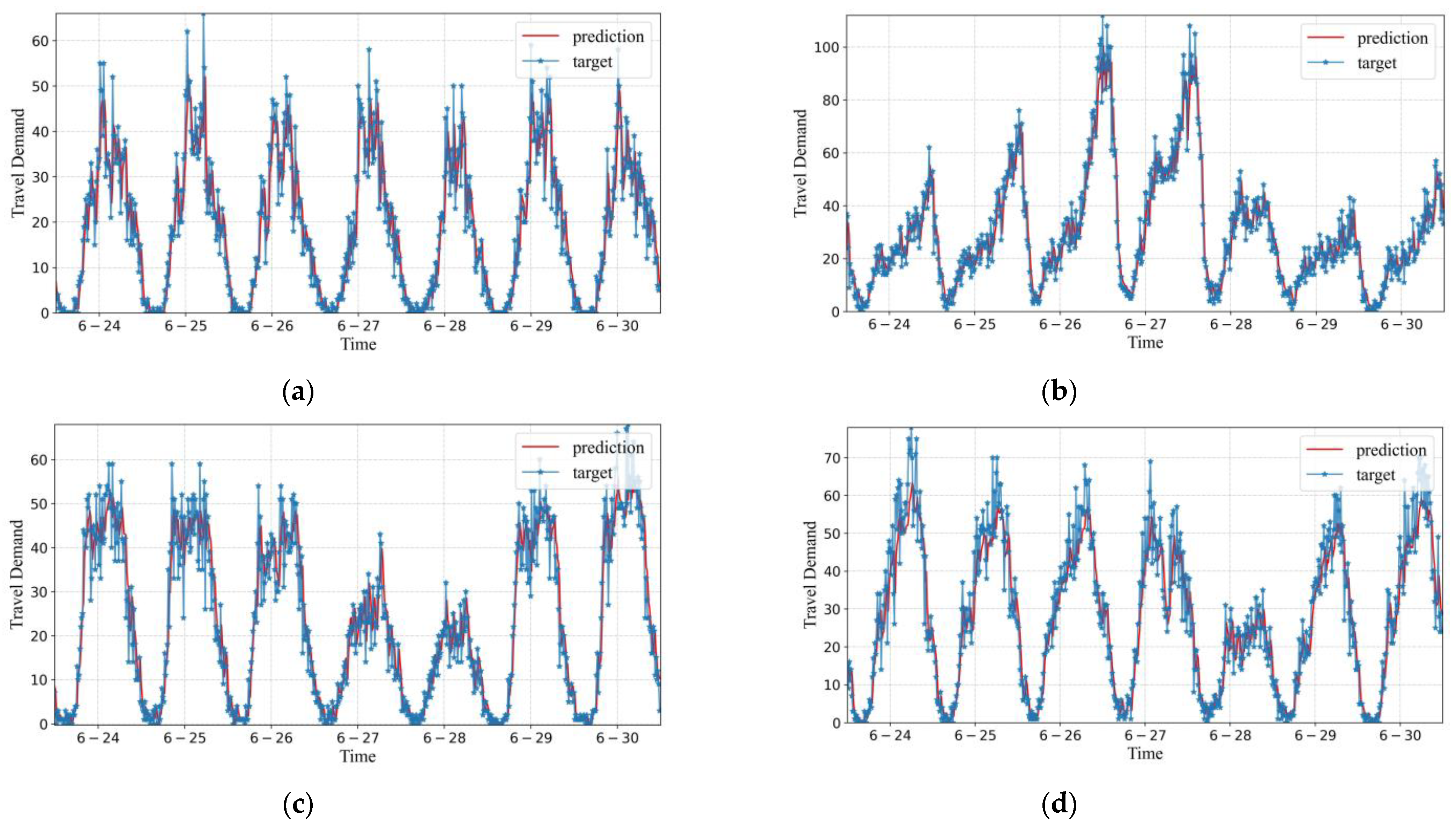
5.4.2. Modeling Performance for Different Time Periods and Urban Areas
5.4.3. Modeling Performance for Different Time Length
5.5. Ablation Experiment
- HDGCN-AD: HDGCN simply connects the GCN and GRU, without mixing the dynamic adjacency matrix.
- HDGCN-AS: HDGCN, without mixing the geographically adjacent graph convolution.
- HDGCN-GRU: HDGCN only considers the spatial module and predicts through a simple connected layer, without mixing the time series module.
6. Conclusions and Future Work
Author Contributions
Funding
Institutional Review Board Statement
Informed Consent Statement
Data Availability Statement
Conflicts of Interest
References
- Tang, J.; Liang, J.; Liu, F.; Hao, J.; Wang, Y. Multi-Community Passenger Demand Prediction at Region Level Based on Spatio-Temporal Graph Convolutional Network. Transp. Res. Part C Emerg. Technol. 2021, 124, 102951. [Google Scholar] [CrossRef]
- Ahmed, M.S.; Cook, A.R. Analysis of Freeway Traffic Time-Series Data by Using Box-Jenkins Techniques. 1979. Available online: https://trid.trb.org/view/148123 (accessed on 5 July 2022).
- Okutani, I.; Stephanedes, Y.J. Dynamic Prediction of Traffic Volume through Kalman Filtering Theory. Transp. Res. Part B Methodol. 1984, 18, 1–11. [Google Scholar] [CrossRef]
- Chen, R.; Liang, C.-Y.; Hong, W.-C.; Gu, D.-X. Forecasting Holiday Daily Tourist Flow Based on Seasonal Support Vector Regression with Adaptive Genetic Algorithm. Appl. Soft Comput. 2015, 26, 435–443. [Google Scholar] [CrossRef]
- Li, Y.; Shahabi, C. A Brief Overview of Machine Learning Methods for Short-Term Traffic Forecasting and Future Directions. Sigspatial Spec. 2018, 10, 3–9. [Google Scholar] [CrossRef]
- Liu, Y.; Zheng, H.; Feng, X.; Chen, Z. Short-Term Traffic Flow Prediction with Conv-LSTM. In Proceedings of the 2017 9th International Conference on Wireless Communications and Signal Processing (WCSP), Nanjing, China, 11–13 October 2017; pp. 1–6. [Google Scholar]
- Li, Y.; Yu, R.; Shahabi, C.; Liu, Y. Diffusion Convolutional Recurrent Neural Network: Data-Driven Traffic Forecasting. arXiv 2017, arXiv:1707.01926. [Google Scholar]
- Chai, D.; Wang, L.; Yang, Q. Bike Flow Prediction with Multi-Graph Convolutional Networks. In Proceedings of the 26th ACM SIGSPATIAL International Conference on Advances in Geographic Information Systems, Seattle WA, USA, 6–9 November 2018; pp. 397–400. [Google Scholar]
- Du, B.; Peng, H.; Wang, S.; Bhuiyan, M.Z.A.; Wang, L.; Gong, Q.; Liu, L.; Li, J. Deep Irregular Convolutional Residual LSTM for Urban Traffic Passenger Flows Prediction. IEEE Trans. Intell. Transp. Syst. 2019, 21, 972–985. [Google Scholar] [CrossRef]
- Zhene, Z.; Hao, P.; Lin, L.; Guixi, X.; Du, B.; Bhuiyan, M.Z.A.; Long, Y.; Li, D. Deep Convolutional Mesh RNN for Urban Traffic Passenger Flows Prediction. In Proceedings of the 2018 IEEE SmartWorld, Ubiquitous Intelligence & Computing, Advanced & Trusted Computing, Scalable Computing & Communications, Cloud & Big Data Computing, Internet of People and Smart City Innovation (SmartWorld/SCALCOM/UIC/ATC/CBDCom/IOP/SCI); Guangzhou University: Guangzhou, China, 2018; pp. 1305–1310. [Google Scholar]
- Li, J.; Peng, H.; Liu, L.; Xiong, G.; Du, B.; Ma, H.; Wang, L.; Bhuiyan, M.Z.A. Graph CNNs for Urban Traffic Passenger Flows Prediction. In Proceedings of the 2018 IEEE SmartWorld, Ubiquitous Intelligence & Computing, Advanced & Trusted Computing, Scalable Computing & Communications, Cloud & Big Data Computing, Internet of People and Smart City Innovation (SmartWorld/SCALCOM/UIC/ATC/CBDCom/IOP/SCI); Guangzhou University: Guangzhou, China, 2018; pp. 29–36. [Google Scholar]
- Ye, J.; Sun, L.; Du, B.; Fu, Y.; Xiong, H. Coupled Layer-Wise Graph Convolution for Transportation Demand Prediction. arXiv 2020, arXiv:2012.08080. [Google Scholar]
- Du, B.; Hu, X.; Sun, L.; Liu, J.; Qiao, Y.; Lv, W. Traffic Demand Prediction Based on Dynamic Transition Convolutional Neural Network. IEEE Trans. Intell. Transp. Syst. 2020, 22, 1237–1247. [Google Scholar] [CrossRef]
- Bai, L.; Yao, L.; Kanhere, S.; Wang, X.; Sheng, Q. Stg2seq: Spatial-Temporal Graph to Sequence Model for Multi-Step Passenger Demand Forecasting. arXiv 2019, arXiv:1905.10069. [Google Scholar]
- Geng, X.; Li, Y.; Wang, L.; Zhang, L.; Yang, Q.; Ye, J.; Liu, Y. Spatiotemporal Multi-Graph Convolution Network for Ride-Hailing Demand Forecasting. In Proceedings of the AAAI Conference on Artificial Intelligence, Honolulu, HI, USA, 27 January–1 February 2019; Volume 33, pp. 3656–3663. [Google Scholar]
- Kipf, T.N.; Welling, M. Semi-Supervised Classification with Graph Convolutional Networks. arXiv 2016, arXiv:1609.02907. [Google Scholar]
- Shi, X.; Chen, Z.; Wang, H.; Yeung, D.-Y.; Wong, W.-K.; Woo, W. Convolutional LSTM Network: A Machine Learning Approach for Precipitation Nowcasting. Adv. Neural Inf. Process. Syst. 2015, 28. [Google Scholar]
- Chen, C.; Li, K.; Teo, S.G.; Zou, X.; Wang, K.; Wang, J.; Zeng, Z. Gated Residual Recurrent Graph Neural Networks for Traffic Prediction. In Proceedings of the AAAI Conference on Artificial Intelligence, Honolulu, HI, USA, 27 January–1 February 2019; Volume 33, pp. 485–492. [Google Scholar]
- Guo, S.; Lin, Y.; Feng, N.; Song, C.; Wan, H. Attention Based Spatial-Temporal Graph Convolutional Networks for Traffic Flow Forecasting. In Proceedings of the AAAI Conference on Artificial Intelligence, Honolulu, HI, USA, 27 January–1 February 2019; Volume 33, pp. 922–929. [Google Scholar]
- Zhang, X.; Haghani, A.; Yang, S. Is Dynamic Traffic Sensor Network Profitable for Network-Level Real-Time Information Prediction? Transp. Res. Part C Emerg. Technol. 2019, 102, 32–59. [Google Scholar] [CrossRef]
- Berndt, D.J.; Clifford, J. Using Dynamic Time Warping to Find Patterns in Time Series. In Proceedings of the KDD Workshop, Seattle, WA, USA, 31 July 1994; Volume 10, pp. 359–370. [Google Scholar]
- Moreira-Matias, L.; Gama, J.; Ferreira, M.; Damas, L. A Predictive Model for the Passenger Demand on a Taxi Network. In Proceedings of the 2012 15th International IEEE Conference on Intelligent Transportation Systems, Anchorage, AK, USA, 16–19 September 2012; pp. 1014–1019. [Google Scholar]
- Carrese, S.; Cipriani, E.; Mannini, L.; Nigro, M. Dynamic Demand Estimation and Prediction for Traffic Urban Networks Adopting New Data Sources. Transp. Res. Part C Emerg. Technol. 2017, 81, 83–98. [Google Scholar] [CrossRef]
- Davis, G.A.; Nihan, N.L. Using Time-Series Designs to Estimate Changes in Freeway Level of Service, despite Missing Data. Transp. Res. Part A Gen. 1984, 18, 431–438. [Google Scholar] [CrossRef]
- Vanajakshi, L.; Rilett, L.R. Support Vector Machine Technique for the Short Term Prediction of Travel Time. In Proceedings of the 2007 IEEE Intelligent Vehicles Symposium, Istanbul, Turkey, 13–15 June 2007; pp. 600–605. [Google Scholar]
- Pang, J.; Huang, J.; Du, Y.; Yu, H.; Huang, Q.; Yin, B. Learning to Predict Bus Arrival Time from Heterogeneous Measurements via Recurrent Neural Network. IEEE Trans. Intell. Transp. Syst. 2018, 20, 3283–3293. [Google Scholar] [CrossRef]
- Xu, J.; Rahmatizadeh, R.; Bölöni, L.; Turgut, D. Real-Time Prediction of Taxi Demand Using Recurrent Neural Networks. IEEE Trans. Intell. Transp. Syst. 2017, 19, 2572–2581. [Google Scholar] [CrossRef]
- Zhang, J.; Zheng, Y.; Qi, D. Deep Spatio-Temporal Residual Networks for Citywide Crowd Flows Prediction. In Proceedings of the Thirty-First AAAI Conference on Artificial Intelligence, San Francisco, CA, USA, 4–9 February 2017. [Google Scholar]
- Zhang, J.; Zheng, Y.; Sun, J.; Qi, D. Flow Prediction in Spatio-Temporal Networks Based on Multitask Deep Learning. IEEE Trans. Knowl. Data Eng. 2019, 32, 468–478. [Google Scholar] [CrossRef]
- Wu, Y.; Tan, H.; Qin, L.; Ran, B.; Jiang, Z. A Hybrid Deep Learning Based Traffic Flow Prediction Method and Its Understanding. Transp. Res. Part C Emerg. Technol. 2018, 90, 166–180. [Google Scholar] [CrossRef]
- Yao, H.; Wu, F.; Ke, J.; Tang, X.; Jia, Y.; Lu, S.; Gong, P.; Ye, J.; Li, Z. Deep Multi-View Spatial-Temporal Network for Taxi Demand Prediction. In Proceedings of the AAAI Conference on Artificial Intelligence, New Orleans, LA, USA, 2–7 February 2018; Volume 32. [Google Scholar]
- Yu, B.; Yin, H.; Zhu, Z. Spatio-Temporal Graph Convolutional Networks: A Deep Learning Framework for Traffic Forecasting. arXiv 2017, arXiv:1709.04875. [Google Scholar]
- Zhao, L.; Song, Y.; Zhang, C.; Liu, Y.; Wang, P.; Lin, T.; Deng, M.; Li, H. T-Gcn: A Temporal Graph Convolutional Network for Traffic Prediction. IEEE Trans. Intell. Transp. Syst. 2019, 21, 3848–3858. [Google Scholar] [CrossRef] [Green Version]
- Chen, Z.; Zhao, B.; Wang, Y.; Duan, Z.; Zhao, X. Multitask Learning and GCN-Based Taxi Demand Prediction for a Traffic Road Network. Sensors 2020, 20, 3776. [Google Scholar] [CrossRef] [PubMed]
- Sun, J.; Zhang, J.; Li, Q.; Yi, X.; Liang, Y.; Zheng, Y. Predicting Citywide Crowd Flows in Irregular Regions Using Multi-View Graph Convolutional Networks. IEEE Trans. Knowl. Data Eng. 2020. [Google Scholar] [CrossRef]
- Zhang, K.; Feng, Z.; Chen, S.; Huang, K.; Wang, G. A Framework for Passengers Demand Prediction and Recommendation. In Proceedings of the 2016 IEEE International Conference on Services Computing (SCC), San Francisco, CA, USA, 27 June–2 July 2016; pp. 340–347. [Google Scholar]
- Sankar, A.; Wu, Y.; Gou, L.; Zhang, W.; Yang, H. Dysat: Deep Neural Representation Learning on Dynamic Graphs via Self-Attention Networks. In Proceedings of the 13th International Conference on Web Search and Data Mining, Houston, TX, USA, 3–7 February 2020; pp. 519–527. [Google Scholar]
- Pareja, A.; Domeniconi, G.; Chen, J.; Ma, T.; Suzumura, T.; Kanezashi, H.; Kaler, T.; Schardl, T.; Leiserson, C. Evolvegcn: Evolving Graph Convolutional Networks for Dynamic Graphs. In Proceedings of the AAAI Conference on Artificial Intelligence, New York, NY, USA, 7–12 February 2020; Volume 34, pp. 5363–5370. [Google Scholar]
- Ma, Y.; Guo, Z.; Ren, Z.; Tang, J.; Yin, D. Streaming Graph Neural Networks. In Proceedings of the 43rd International ACM SIGIR Conference on Research and Development in Information Retrieval, Xi’an, China, 25–30 July 2020; pp. 719–728. [Google Scholar]
- Xu, D.; Ruan, C.; Korpeoglu, E.; Kumar, S.; Achan, K. Inductive Representation Learning on Temporal Graphs. arXiv 2020, arXiv:2002.07962. [Google Scholar]
- Trivedi, R.; Farajtabar, M.; Biswal, P.; Zha, H. Dyrep: Learning Representations over Dynamic Graphs. In Proceedings of the International Conference on Learning Representations, New Orleans, LA, USA, 6–9 May 2019. [Google Scholar]








| Methods | MAE | MAPE (%) | RMSE |
|---|---|---|---|
| ARIMA | 6.84 | 34.82 | 11.15 |
| SVR | 5.09 | 23.70 | 8.37 |
| XGBoost | 5.58 | 27.93 | 9.82 |
| MLP | 5.18 | 25.43 | 8.25 |
| GRU | 4.93 | 24.65 | 8.13 |
| GCN | 5.65 | 30.14 | 8.98 |
| DCRNN | 4.57 | 21.27 | 7.43 |
| T-GCN | 4.44 | 20.16 | 7.32 |
| STGCN | 4.41 | 20.53 | 7.14 |
| DySAT | 4.65 | 21.99 | 7.61 |
| DHGCN | 3.95 | 17.60 | 6.21 |
| Observation Area | Different Travel Days | Different Times of Weekdays | ||
|---|---|---|---|---|
| Weekdays | Weekends | 9:00 | 14:00 | |
| VendorID 43 | 5.82 | 6.08 | 4.87 | 4.93 |
| VendorID 73 | 6.29 | 8.34 | 4.8 | 3.33 |
| VendorID 140 | 5.54 | 5.88 | 7.42 | 5.56 |
| VendorID 233 | 6.17 | 6.53 | 6.19 | 5.56 |
Publisher’s Note: MDPI stays neutral with regard to jurisdictional claims in published maps and institutional affiliations. |
© 2022 by the authors. Licensee MDPI, Basel, Switzerland. This article is an open access article distributed under the terms and conditions of the Creative Commons Attribution (CC BY) license (https://creativecommons.org/licenses/by/4.0/).
Share and Cite
Zhao, J.; Kong, W.; Zhou, M.; Zhou, T.; Xu, Y.; Li, M. Prediction of Urban Taxi Travel Demand by Using Hybrid Dynamic Graph Convolutional Network Model. Sensors 2022, 22, 5982. https://doi.org/10.3390/s22165982
Zhao J, Kong W, Zhou M, Zhou T, Xu Y, Li M. Prediction of Urban Taxi Travel Demand by Using Hybrid Dynamic Graph Convolutional Network Model. Sensors. 2022; 22(16):5982. https://doi.org/10.3390/s22165982
Chicago/Turabian StyleZhao, Jinbao, Weichao Kong, Meng Zhou, Tianwei Zhou, Yuejuan Xu, and Mingxing Li. 2022. "Prediction of Urban Taxi Travel Demand by Using Hybrid Dynamic Graph Convolutional Network Model" Sensors 22, no. 16: 5982. https://doi.org/10.3390/s22165982
APA StyleZhao, J., Kong, W., Zhou, M., Zhou, T., Xu, Y., & Li, M. (2022). Prediction of Urban Taxi Travel Demand by Using Hybrid Dynamic Graph Convolutional Network Model. Sensors, 22(16), 5982. https://doi.org/10.3390/s22165982

