Smart Active Vibration Control System of a Rotary Structure Using Piezoelectric Materials
Abstract
:1. Introduction
2. Background
3. Theory and Modeling
3.1. The Euler–Bernoulli Beam Including Piezoelectric Patches
3.2. Analytical Modeling of the Euler–Bernoulli Beam with PZT Patches
Assumed Mode Method
3.3. Finite Element Modeling
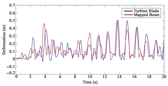
3.4. The Wind Turbine Blade Projection on the Euler–Bernoulli Beam
- Step 1. Deriving governing equations of the Euler–Bernoulli beam with the attached PZT actuator and sensor using the energy method.
- Step 2. The derived governing equations are solved using an assumed mode method.
- Step 3. The FE model of the WT blade with PZT patches is developed.
- Step 4. Obtaining frequency responses of both systems, the FE model of the blade, and the Euler–Bernoulli beam by applying the transmitted pulse signal.
- Step 5. Deriving initial function matrices for the beam and the blade.
- Step 6. Obtaining total transfer function using two achieved initial function matrices regarding the linear properties of the systems.
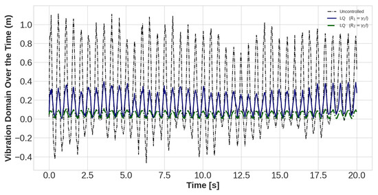
3.5. The Implementation of Control System
4. Results and Discussion
5. Conclusions
Author Contributions
Funding
Institutional Review Board Statement
Informed Consent Statement
Data Availability Statement
Conflicts of Interest
References
- Salighe, S.; Mohammadi, H. Semi-active nonlinear vibration control of a functionally graded material rotating beam with uncertainties, using a frequency estimator. Compos. Struct. 2019, 210, 367–380. [Google Scholar] [CrossRef]
- Sarkar, S.; Chakraborty, A. Development of semi-active vibration control strategy for horizontal axis wind turbine tower using multiple magneto-rheological tuned liquid column dampers. J. Sound Vib. 2019, 457, 15–36. [Google Scholar] [CrossRef]
- Hamed, Y.S.; Alkhathami, H.K.; El-Zahar, E.R. Utilizing nonlinear active vibration control to quench the nonlinear vibrations of helicopter blade flapping system. IEEE Access 2020, 8, 203003–203016. [Google Scholar] [CrossRef]
- Meng, D.; Xia, P.; Song, L.; Smith, E.C. Experimental study on piezoelectric-stack-actuator-driven active vibration control of helicopter floor structure. J. Aircr. 2020, 57, 377–382. [Google Scholar] [CrossRef]
- Shivashankar, P.; Gopalakrishnan, S. Review on the use of piezoelectric materials for active vibration, noise, and flow control. Smart Mater. Struct. 2020, 29, 053001. [Google Scholar] [CrossRef]
- Lang, K.; Shang, L.; Xia, P.; Song, L. An excellent harmonic feedforward-sliding mode output feedback hybrid algorithm for helicopter active vibration control. J. Vib. Control. 2022, 1–16. [Google Scholar] [CrossRef]
- Martynowicz, P. Nonlinear optimal-based vibration control of a wind turbine tower using hybrid vs. magnetorheological tuned vibration absorber. Energies 2021, 14, 5145. [Google Scholar] [CrossRef]
- Chen, D.; Huang, S.; Huang, C.; Liu, R.; Ouyang, F. Passive control of jacket–type offshore wind turbine vibrations by single and multiple tuned mass dampers. Mar. Struct. 2021, 77, 102938. [Google Scholar] [CrossRef]
- Williams, D.; Haddad Khodaparast, H.; Jiffri, S.; Yang, C. Active vibration control using piezoelectric actuators employing practical components. J. Vib. Control. 2019, 25, 2784–2798. [Google Scholar] [CrossRef]
- Khan, A.; Kim, H.S. Active vibration control of a piezo-bonded laminated composite in the presence of sensor partial debonding and structural delaminations. Sensors 2019, 19, 540. [Google Scholar] [CrossRef] [Green Version]
- Wu, L.; Huang, Y.; Li, D. Tilt active vibration isolation using vertical pendulum and piezoelectric transducer with parallel controller. Appl. Sci. 2021, 11, 4526. [Google Scholar] [CrossRef]
- Huang, Z.; Mao, Y.; Dai, A.; Han, M.; Wang, X.; Chu, F. Active vibration control of piezoelectric sandwich plates. Materials 2022, 15, 3907. [Google Scholar] [CrossRef] [PubMed]
- Hosseini, S.M.; Kalhori, H.; Al-Jumaily, A. Active vibration control in human forearm model using paired piezoelectric sensor and actuator. J. Vib. Control. 2021, 27, 2231–2242. [Google Scholar] [CrossRef]
- Rahman, M.; Ong, Z.C.; Chong, W.T.; Julai, S.; Khoo, S.Y. Performance enhancement of wind turbine systems with vibration control: A review. Renew. Sustain. Energy Rev. 2015, 51, 43–54. [Google Scholar] [CrossRef]
- Mendoza, I.; Hur, J.; Thao, S.; Curtis, A. Power Performance Test Report for the Us Department of Energy 1.5-Megawatt wind Turbine; Technical Report; National Renewable Energy Lab. (NREL): Golden, CO, USA, 2015. [Google Scholar]
- Huang, C.L.; Lin, W.Y.; Hsiao, K.M. Free vibration analysis of rotating Euler beams at high angular velocity. Comput. Struct. 2010, 88, 991–1001. [Google Scholar] [CrossRef]
- Her, S.C.; Lin, C.S. Vibration analysis of composite laminate plate excited by piezoelectric actuators. Sensors 2013, 13, 2997–3013. [Google Scholar] [CrossRef] [PubMed] [Green Version]
- Arvin, H.; Bakhtiari-Nejad, F. Non-linear modal analysis of a rotating beam. Int. J. Non-Linear Mech. 2011, 46, 877–897. [Google Scholar] [CrossRef]
- Da Silva, M.R.M.C. A comprehensive analysis of the dynamics of a helicopter rotor blade. Int. J. Solids Struct. 1998, 35, 619–635. [Google Scholar] [CrossRef]
- Yigit, A.; Scott, R.A.; Ulsoy, A.G. Flexural motion of a radially rotating beam attached to a rigid body. J. Sound Vib. 1988, 121, 201–210. [Google Scholar] [CrossRef]
- Hanagud, S.; Sarkar, S. Problem of the dynamics of a cantilevered beam attached to a moving base. J. Guid. Control. Dyn. 1989, 12, 438–441. [Google Scholar] [CrossRef]
- Baruh, H.; Tadikonda, S.S.K. Issues in the dynamics and control of flexible robot manipulators. J. Guid. Control. Dyn. 1989, 12, 659–671. [Google Scholar] [CrossRef]
- Choura, S.; Jayasuriya, S.; Medick, M.A. On the modeling, and open-loop control of a rotating thin flexible beam. J. Dyn. Syst. Meas. Control. Meas. Control 1991, 113, 26–33. [Google Scholar] [CrossRef]
- Song, B.; Jiang, Y.; Huang, S.; He, W.-S. Study on the Wind-induced Dynamic Response of Wind Power Tower in Consideration of Fluid-structure Interaction. In Proceedings of the International Conference on Mechanics and Civil Engineering (ICMCE-14), Wuhan, China, 13–14 December 2014; Atlantis Press: Paris, France, 2014; pp. 326–331. [Google Scholar]
- Wang, Q.; Zhou, H.; Wan, D. Numerical simulation of wind turbine blade-tower interaction. J. Mar. Sci. Appl. 2012, 11, 321–327. [Google Scholar] [CrossRef]
- Lee, S.H.; Shin, S.H.; Yoo, H.H. Flapwise bending vibration analysis of rotating composite cantilever beams. KSME Int. J. 2004, 18, 240–245. [Google Scholar] [CrossRef]
- Torabi Asr, M.; Masoumi, M.M.; Mustapha, F. Modal Behaviour of Vertical Axis Wind Turbine Comprising Prestressed Rotor Blades: A Finite Element Analysis. Pertanika J. Sci. Technol. 2017, 25, 977–982. [Google Scholar]
- Jokar, H.; Mahzoon, M.; Vatankhah, R. Dynamic modeling and free vibration analysis of horizontal axis wind turbine blades in the flap-wise direction. Renew. Energy 2020, 146, 1818–1832. [Google Scholar] [CrossRef]
- Farsadi, T.; Şener, Ö.; Kayran, A. Free vibration analysis of uniform and asymmetric composite pretwisted rotating thin walled beam. In Proceedings of the ASME 2017 International Mechanical Engineering Congress and Exposition, Tampa, FL, USA, 3–9 November 2017; American Society of Mechanical Engineers Digital Collection: New York, NY, USA, 2017. [Google Scholar]
- Vurtur Badarinath, P.; Chierichetti, M.; Davoudi Kakhki, F. A machine learning approach as a surrogate for a finite element analysis: Status of research and application to one dimensional systems. Sensors 2021, 21, 1654. [Google Scholar] [CrossRef]
- Afzali, F.; Kapucu, O.; Feeny, B.F. Vibration analysis of vertical-axis wind-turbine blades. In Proceedings of the International Design Engineering Technical Conferences and Computers and Information in Engineering Conference, Charlotte, NC, USA, 21–24 August 2016; American Society of Mechanical Engineers: New York, NY, USA, 2016; Volume 50206, p. V008T10A047. [Google Scholar]
- Acar, G.D.; Feeny, B.F. Bend-bend-twist vibrations of a wind turbine blade. Wind. Energy 2018, 21, 15–28. [Google Scholar] [CrossRef]
- Wait, I.; Yang, Z.J.; Chen, G.; Still, B. Wind-induced instabilities and monitoring of wind turbine. Earthq. Eng. Eng. Vib. 2019, 18, 475–485. [Google Scholar] [CrossRef]
- Goulos, I.; Pachidis, V.; Pilidis, P. Lagrangian formulation for the rapid estimation of helicopter rotor blade vibration characteristics. Aeronaut. J. 2014, 118, 861–901. [Google Scholar] [CrossRef]
- Castillo Pardo, A.; Goulos, I.; Pachidis, V. Modelling and analysis of coupled flap-lag-torsion vibration characteristics helicopter rotor blades. Proc. Inst. Mech. Eng. Part J. Aerosp. Eng. 2017, 231, 1804–1823. [Google Scholar] [CrossRef]
- Navabi, M.; Ghaffari, H. Modeling and Simulation of Nonlinear Dynamics of Helicopter Rotor Flapping Considering Offset, Blade Weight Moment and Frequency of Flapping. Modares Mech. Eng. 2019, 19, 2523–2534. [Google Scholar]
- Meksi, R.; Benyoucef, S.; Mahmoudi, A.; Tounsi, A.; Adda Bedia, E.A.; Mahmoud, S.R. An analytical solution for bending, buckling and vibration responses of FGM sandwich plates. J. Sandw. Struct. Mater. 2019, 21, 727–757. [Google Scholar] [CrossRef]
- Wang, B.; Dai, X.; Zhao, X.; Qian, Z. A semi-analytical solution for the thickness-vibration of centrally partially-electroded circular at-cut quartz resonators. Sensors 2017, 17, 1820. [Google Scholar] [CrossRef] [Green Version]
- Alsabagh, A.S.Y.; Fayyad, S.M.; Darweesh, N.; Alfaqs, F. Fundamental natural frequencies investigation for a typical 5-MW wind turbine blade. Noise Vib. Worldw. 2020, 51, 77–84. [Google Scholar] [CrossRef]
- Chen, Y.; Zhang, D.; Li, L. Dynamic analysis of rotating curved beams by using Absolute Nodal Coordinate Formulation based on radial point interpolation method. J. Sound Vib. 2019, 441, 63–83. [Google Scholar] [CrossRef]
- Chen, Y.; Zhang, J.; Zhang, H. Free vibration analysis of rotating tapered Timoshenko beams via variational iteration method. J. Vib. Control. 2017, 23, 220–234. [Google Scholar] [CrossRef]
- Mokhtar, M.A.; Darpe, A.K.; Gupta, K. Investigations on bending-torsional vibrations of rotor during rotor-stator rub using Lagrange multiplier method. J. Sound Vib. 2017, 401, 94–113. [Google Scholar] [CrossRef]
- Tang, N.; Zhang, B.; Lord, C.; Marshall, M. Identification of blade operational mode shapes during wear of abradable coating. J. Sound Vib. 2020, 472, 115204. [Google Scholar] [CrossRef]
- Liu, Y.; Han, J.; Xue, Z.; Zhang, Y.; Yang, Q. Structural vibrations and acoustic radiation of blade–shafting–shell coupled system. J. Sound Vib. 2019, 463, 114961. [Google Scholar] [CrossRef]
- Zeng, J.; Ma, H.; Yu, K.; Xu, Z.; Wen, B. Coupled flapwise-chordwise-axial-torsional dynamic responses of rotating pre-twisted and inclined cantilever beams subject to the base excitation. Appl. Math. Mech. 2019, 40, 1053–1082. [Google Scholar] [CrossRef]
- Warminski, J.; Kloda, L.; Lenci, S. Nonlinear vibrations of an extensional beam with tip mass in slewing motion. Meccanica 2020, 55, 2311–2335. [Google Scholar] [CrossRef]
- Rafiee, M.; Nitzsche, F.; Labrosse, M. Dynamics, vibration and control of rotating composite beams and blades: A critical review. Thin-Walled Struct. 2017, 119, 795–819. [Google Scholar] [CrossRef]
- Wang, Q.; Quek, S.T. Flexural vibration analysis of sandwich beam coupled with piezoelectric actuator. Smart Mater. Struct. 2000, 9, 103. [Google Scholar] [CrossRef]
- Shamshirsaz, M.; Bakhtiari-Nejad, F.; Khelghatdoost, M.; Asadi, S. Analytical and experimental analysis of lamb wave generation in piezoelectrically driven timoshenko beam. J. Intell. Mater. Syst. Struct. 2015, 26, 2314–2321. [Google Scholar] [CrossRef]
- Chen, H.; Kong, F.; Liu, H.; Su, W.; Yu, D.; Liu, W. Investigation on semi-analytical solution of dynamic characteristics of an anti-pitching generating WEC (AG-WEC). J. Mar. Sci. Technol. 2020, 25, 1129–1150. [Google Scholar] [CrossRef]
- Huang, Y.a.; Deng, Z.c.; Xiong, Y.l. High-order model and slide mode control for rotating flexible smart structure. Mech. Mach. Theory 2008, 43, 1038–1054. [Google Scholar] [CrossRef]
- Lin, S.M. PD control of a rotating smart beam with an elastic root. J. Sound Vib. 2008, 312, 109–124. [Google Scholar] [CrossRef]
- Bendine, K.; Boukhoulda, F.B.; Haddag, B.; Nouari, M. Active vibration control of composite plate with optimal placement of piezoelectric patches. Mech. Adv. Mater. Struct. 2019, 26, 341–349. [Google Scholar] [CrossRef]
- Larbi, W.; Deü, J.F. Reduced order finite element formulations for vibration reduction using piezoelectric shunt damping. Appl. Acoust. 2019, 147, 111–120. [Google Scholar] [CrossRef]
- Ma, G.; Xu, M.; Zhang, S.; Zhang, Y.; Liu, X. Active vibration control of an axially moving cantilever structure using PZT actuator. J. Aerosp. Eng. 2018, 31, 04018049. [Google Scholar] [CrossRef]
- Sivrioglu, S.; Bolat, F.C.; Erturk, E. Active vibration control of a blade element with uncertainty modeling in PZT actuator force. J. Vib. Control. 2019, 25, 2721–2732. [Google Scholar] [CrossRef]
- Sharma, S.; Kumar, A.; Kumar, R.; Talha, M.; Vaish, R. Active vibration control of smart structure using poling tuned piezoelectric material. J. Intell. Mater. Syst. Struct. 2020, 31, 1298–1313. [Google Scholar]
- Cui, M.; Tang, W.; Han, Y.; Li, Z. Smart Active Vibration Control System Using Piezoelectric Materials. In Proceedings of the Chinese Control and Decision Conference (CCDC), Hefei, China, 22–24 August 2020; pp. 2611–2615. [Google Scholar]
- Pu, Y.; Yao, C.; Li, X.; Liu, Z. Adaptive active vibration control for piezoelectric smart structure with online hysteresis identification and compensation. J. Vib. Control. 2020. [Google Scholar] [CrossRef]
- Awada, A.; Younes, R.; Ilinca, A. Review of vibration control methods for wind turbines. Energies 2021, 14, 3058. [Google Scholar] [CrossRef]
- Lee, S.L. Active vibration suppression of wind turbine blades integrated with piezoelectric sensors. Sci. Eng. Compos. Mater. 2021, 28, 402–414. [Google Scholar] [CrossRef]
- Tong, X.; Zhao, X. Vibration and power regulation control of a floating wind turbine with hydrostatic transmission. Renew. Energy 2021, 167, 899–906. [Google Scholar] [CrossRef]
- Malliotakis, G.; Alevras, P.; Baniotopoulos, C. Recent advances in vibration control methods for wind turbine towers. Energies 2021, 14, 7536. [Google Scholar] [CrossRef]
- Bai, H.; Aoues, Y.; Cherfils, J.M.; Lemosse, D. Design of an active damping system for vibration control of wind turbine towers. Infrastructures 2021, 6, 162. [Google Scholar] [CrossRef]
- Golnary, F.; Tse, K.T. Simultaneous active control of tower lateral vibration and power control of wind turbine: A novel multivariable approach. Energy Rep. 2022, 8, 4233–4251. [Google Scholar] [CrossRef]
- Liu, T.R.; Gong, A.L. Vibration control of cantilever blade based on trailing-edge flap by restricted control input. Meas. Control. 2021, 54, 231–242. [Google Scholar] [CrossRef]
- Mu, A.; Huang, Z.; Liu, A.; Wang, J.; Yang, B.; Qian, Y. Optimal model reference adaptive control of spar-type floating wind turbine based on simulated annealing algorithm. Ocean. Eng. 2022, 255, 111474. [Google Scholar] [CrossRef]
- Brahem, M.; Chouchane, M.; Amamou, A. Active vibration control of a rotor bearing system using flexible piezoelectric patch actuators. J. Intell. Mater. Syst. Struct. 2020, 31, 1284–1297. [Google Scholar] [CrossRef]
- Shakir, A.B.; Saber, A.M. Active vibration control analysis in smart composite structures using ANSYS. Rev. Int. Métodos Numéricos Para Cálculo Diseño Ing. 2020, 36, 26. [Google Scholar] [CrossRef]
- Qiu, Z.c.; Wang, T.x.; Zhang, X.m. Sliding mode predictive vibration control of a piezoelectric flexible plate. J. Intell. Mater. Syst. Struct. 2021, 32, 65–81. [Google Scholar] [CrossRef]
- Fu, Y.; Li, S.; Liu, J.; Zhao, B. Design and experimentation of a self-sensing actuator for active vibration isolation system with adjustable anti-resonance frequency controller. Sensors 2021, 21, 1941. [Google Scholar] [CrossRef]
- Ghaderi, P.; Goshtaei, S.M. Smart vibration control of structures with unknown structural parameters using integrated virtual synchronization method/linear-quadratic regulator approach. Adv. Control. Appl. Eng. Ind. Syst. 2020, 2, e48. [Google Scholar] [CrossRef]
- ANSYS CFX. In User Manual Release 12.1; ANSYS Inc.: Canonsburg, PA, USA, 2011.
- Dul, F.; Lichota, P.; Rusowicz, A. Generalized linear quadratic control for a full tracking problem in aviation. Sensors 2020, 20, 2955. [Google Scholar] [CrossRef]
- Yang, H.; Zhang, K.; Zheng, K.; Qian, Y. Leveraging linear quadratic regulator cost and energy consumption for ultrareliable and low-latency iot control systems. IEEE Internet Things J. 2020, 7, 8356–8371. [Google Scholar] [CrossRef]
- Hodel, S. Linear-quadratic Control: An Introduction [Book Review]. IEEE Trans. Autom. Control. 1998, 43, 1191–1192. [Google Scholar] [CrossRef]
- Xiao, F.; Tian, C.; Wait, I.; Yang, Z.; Still, B.; Chen, G.S. Condition monitoring and vibration analysis of wind turbine. Adv. Mech. Eng. 2020, 12, 1687814020913782. [Google Scholar] [CrossRef]















Publisher’s Note: MDPI stays neutral with regard to jurisdictional claims in published maps and institutional affiliations. |
© 2022 by the authors. Licensee MDPI, Basel, Switzerland. This article is an open access article distributed under the terms and conditions of the Creative Commons Attribution (CC BY) license (https://creativecommons.org/licenses/by/4.0/).
Share and Cite
Hashemi, A.; Jang, J.; Hosseini-Hashemi, S. Smart Active Vibration Control System of a Rotary Structure Using Piezoelectric Materials. Sensors 2022, 22, 5691. https://doi.org/10.3390/s22155691
Hashemi A, Jang J, Hosseini-Hashemi S. Smart Active Vibration Control System of a Rotary Structure Using Piezoelectric Materials. Sensors. 2022; 22(15):5691. https://doi.org/10.3390/s22155691
Chicago/Turabian StyleHashemi, Ali, Jinwoo Jang, and Shahrokh Hosseini-Hashemi. 2022. "Smart Active Vibration Control System of a Rotary Structure Using Piezoelectric Materials" Sensors 22, no. 15: 5691. https://doi.org/10.3390/s22155691
APA StyleHashemi, A., Jang, J., & Hosseini-Hashemi, S. (2022). Smart Active Vibration Control System of a Rotary Structure Using Piezoelectric Materials. Sensors, 22(15), 5691. https://doi.org/10.3390/s22155691

