Design, Fabrication, and Performance Test of a New Type of Soft-Robotic Gripper for Grasping
Abstract
:1. Introduction
2. The Newly Proposed Soft Pneumatic Actuator
3. Design of the Proposed Soft Pneumatic Actuator
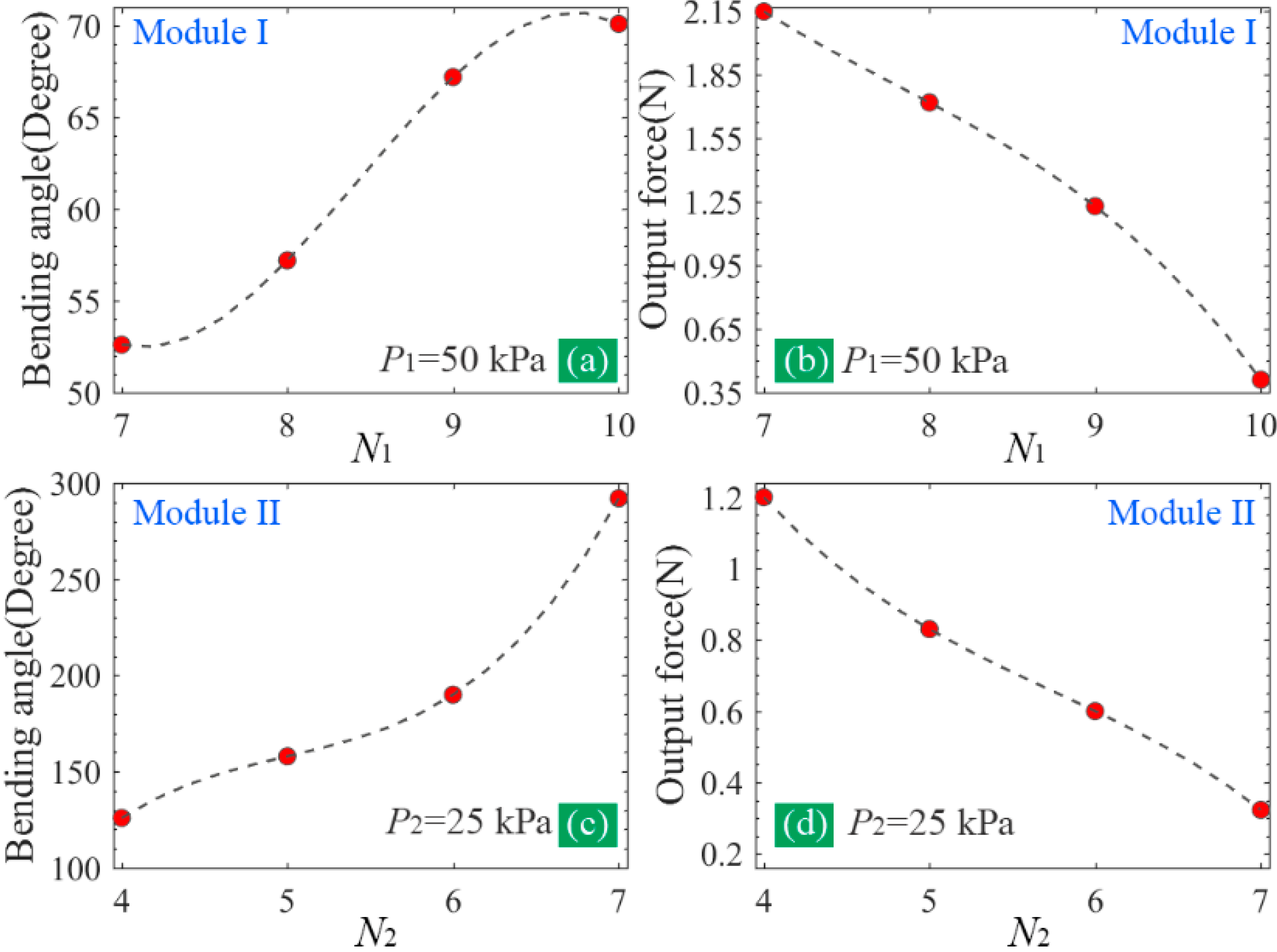
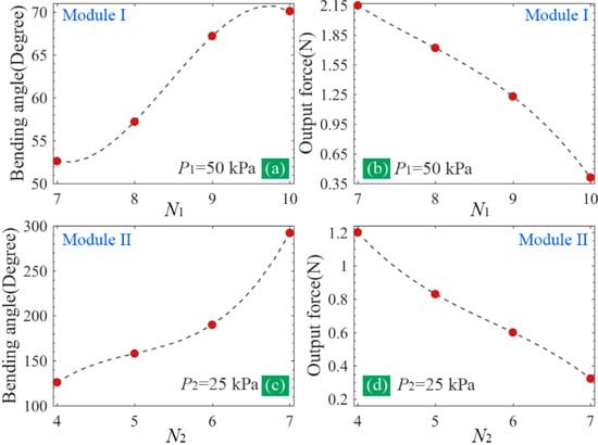
3.1. Determination of the Chamber Number
3.2. Determination of the Chamber Height
3.3. Comparison of the Traditional and the Proposed Soft Actuators
4. Fabrication and Performance Test of the Proposed Soft Actuator
5. Conclusions
- Chamber number and height have significant influences on the bending angle and output force of the proposed soft actuators. With the increase in the chamber number, the bending angle of the two pneumatic modules increases accordingly, while the output force presents a reverse tendency. Within a certain range, with the increase in the chamber height, both bending angle and output force tend to increase.
- Compared with the conventional single pneumatic network-based soft actuator, the proposed one combines the advantages of the two typical pneumatic network structures. The two modules of the proposed soft actuator can work relatively independently, which can improve the adaptability and flexibility of grasping.
- Performance test results show the proposed soft actuator has a larger output force and an expected bending angle. Compared with the traditional single pneumatic network-based soft actuator, the output force of the proposed one increased by 70% when the two soft actuators worked at 40 kPa. When the two soft actuators worked under their respective maximum safe pressure, the output force of the proposed soft actuator could reach 3.03 times that of the traditional one, at the same time keeping an expected bending angle output, showing a significant improvement.
- Grasping performance test results show that the new soft gripper constituted by the proposed soft actuators presents high reliability and stability whether in PG or EG, and it is competent for grasping heavier or irregular objects, demonstrating the feasibility and effectiveness of the newly proposed soft actuator, and giving it a good and wide application prospect.
- Since the newly proposed soft actuator has two pneumatic modules, there are many possible pressure combinations to approach the object, get in touch with it, increase the force, and grasp it. Although the improvement in the structure proved meaningful, it brings a series of issues, such as how to obtain the optimal pressure combination, how to develop the relevant control algorithms, and how to make the proposed soft actuator work well in practice. To solve these problems, some basic issues must be investigated deeply, such as the analytical models of the bending angle, output force, and kinematic behavior. These issues will be studied in the future.
Author Contributions
Funding
Institutional Review Board Statement
Informed Consent Statement
Data Availability Statement
Conflicts of Interest
References
- Shintake, J.; Cacucciolo, V.; Floreano, D.; Shea, H. Soft Robotic Grippers. Adv. Mater. 2018, 30, 1707035. [Google Scholar] [CrossRef] [PubMed] [Green Version]
- Galloway, K.C.; Becker, K.P.; Phillips, B.; Kirby, J.; Licht, S. Soft Robotic Grippers for Biological Sampling on Deep Reefs. Soft Robot. 2016, 3, 23–33. [Google Scholar] [CrossRef] [PubMed]
- Liu, J.; Iacoponi, S.; Laschi, C.; Wen, L.; Calisti, M. Underwater Mobile Manipulation: A Soft Arm on a Benthic Legged Robot. IEEE Robot. Autom. Mag. 2020, 27, 12–26. [Google Scholar] [CrossRef]
- Ma, X.; Ye, Y.; Meng, H.; Wang, W.; Wang, W. Sensor Embedded Soft Fingertip for Precise Manipulation and Softness Recognition. IEEE Robot. Autom. Lett. 2021, 6, 8734–8741. [Google Scholar] [CrossRef]
- Shepherd, R.F.; Ilievski, F.; Choi, W.; Morin, S.A.; Stokes, A.A. Multigait soft robot. Proc. Natl. Acad. Sci. USA 2011, 108, 20400–20403. [Google Scholar] [CrossRef] [PubMed] [Green Version]
- Qin, L.; Liang, X.; Huang, H.; Chui, C.; Yeow, R.C.H. A Versatile Soft Crawling Robot with Rapid Locomotion. Soft Robot. 2019, 6, 455–467. [Google Scholar] [CrossRef]
- Zhang, H.; Kumar, S.; Chen, F.; Fuh, J.Y.H.; Wang, M.Y. Topology Optimized Multimaterial Soft Fingers for Applications on Grippers, Rehabilitation, and Artificial Hands. IEEE-ASME Trans. Mechatron. 2019, 24, 120–131. [Google Scholar] [CrossRef]
- Liu, Q.; Zuo, J.; Xie, S. Design and control of soft rehabilitation robots actuated by pneumatic muscles: State of the art. Future Gener. Comput. Syst.-Int. J. Esci. 2020, 113, 620–634. [Google Scholar] [CrossRef]
- Wang, Z.; Yuuki, T.; Shinichi, H. A Prestressed Soft Gripper: Design, Modeling, Fabrication, and Tests for Food Handling. IEEE Robot. Autom. Lett. 2017, 2, 1909–1916. [Google Scholar] [CrossRef]
- Pawlowski, B.; Sun, J.F.; Xu, J.; Liu, Y.X.; Zhao, J.G. Modeling of Soft Robots Actuated by Twisted-and-Coiled Actuators. IEEE-ASME Trans. Mechatron. 2019, 24, 5–15. [Google Scholar] [CrossRef]
- Li, Y.; Chen, Y.; Li, Y. Pre-Charged Pneumatic Soft Gripper with Closed-Loop Control. IEEE Robot. Autom. Lett. 2019, 4, 1402–1408. [Google Scholar] [CrossRef]
- Kan, Z.C.; Pang, C.H.; Zhang, Y.Z.; Yang, Y.; Wang, M.Y. Soft Actuator with Programmable Design: Modeling, Prototyping, and Applications. Soft Robot. 2022; online ahead of print. [Google Scholar] [CrossRef]
- Shian, S.; Bertoldi, K.; Clarke, D. Dielectric Elastomer Based “Grippers” for Soft Robotics. Adv. Mater. 2015, 27, 6814–6819. [Google Scholar] [CrossRef]
- Kim, J.S.; Lee, J.Y.; Lee, K.T.; Kim, H.S.; Ahn, S.H. Fabrication of 3D soft morphing structure using shape memory alloy (SMA) wire/polymer skeleton composite. J. Mech. Sci. Technol. 2013, 27, 3123–3129. [Google Scholar] [CrossRef]
- Kim, H.I.; Han, M.; Song, S.; Ahn, S.H. Soft morphing hand driven by SMA tendon wire. Compos. Part B-Eng. 2016, 105, 138–148. [Google Scholar] [CrossRef]
- Koh, J.S.; Cho, K.J. Omega-Shaped Inchworm-Inspired Crawling Robot With Large-Index-and-Pitch(LIP) SMA Spring Actuators. IEEE-ASME Trans. Mechatron. 2013, 18, 419–429. [Google Scholar] [CrossRef]
- Manti, M.; Hassan, T.; Passetti, G.; Lasch, C.; Cianchetti, M. A Bioinspired Soft Robotic Gripper for Adaptable and Effective Grasping. Soft Robot. 2015, 2, 107–116. [Google Scholar] [CrossRef]
- Camarillo, D.B.; Milne, C.F.; Carlson, C.R.; Zinn, M.R.; Salisbury, J.K. Mechanics Modeling of Tendon-Driven Continuum Manipulators. IEEE Trans. Robot. 2008, 24, 1262–1273. [Google Scholar] [CrossRef]
- Antonelli, M.G.; Zobel, P.B.; Durante, F.; Raparelli, T. Numerical modelling and experimental validation of a McKibben pneumatic muscle actuator. J. Intell. Mater. Syst. Struct. 2017, 28, 2737–2748. [Google Scholar] [CrossRef]
- Drotman, D.; Ishida, M.; Jadhav, S.; Tolley, M.T. Applicationdriven design of soft, 3-D printed, pneumatic actuators with bellows. IEEE-ASME Trans. Mechatron. 2019, 24, 78–87. [Google Scholar] [CrossRef]
- Al Abeach, L.; Nefti-Meziani, S.; Davis, S. Design of a Variable Stiffness Soft Dexterous Gripper. Soft Robot. 2017, 4, 274–284. [Google Scholar] [CrossRef]
- Polygerinos, P.; Wang, Z.; Overvelde, J.T.B.; Galloway, K.C.; Wood, R.J. Modeling of Soft Fiber-Reinforced Bending Actuators. IEEE Trans. Robot. 2015, 31, 778–789. [Google Scholar] [CrossRef] [Green Version]
- Nikolov, S.; Kotev, V.; Kostadinov, K.; Wang, F.; Liang, C.; Tian, Y. Model-Based Design Optimization of Soft Fiber-Reinforced Bending Actuators. In Proceedings of the 2016 IEEE International Conference on Manipulation, Manufacturing and Measurement on the Nanoscale (3M-NANO), Chongqing, China, 18–22 July 2016; pp. 136–140. [Google Scholar]
- Glick, P.; Suresh, S.A.; Ruffatto, D.; Cutkosky, M.; Tolley, M.T.; Parness, A. A soft robotic gripper with gecko-inspired adhesive. IEEE Robot. Autom. Lett. 2018, 3, 903–910. [Google Scholar] [CrossRef]
- Antonelli, M.G.; D’Ambrogio, W.; Durante, F. Development of a Pneumatic Soft Actuator as a Hand Finger for a Collaborative Robot. In Proceedings of the 2nd International Conference on Mechatronics Systems and Control Engineering (ICMSCE), Amsterdam, The Netherlands, 21–23 February 2018; pp. 67–71. [Google Scholar]
- Antonelli, M.G.; Zobel, P.B.; D’Ambrogio, W.; Durante, F. Design Methodology for a Novel Bending Pneumatic Soft Actuator for Kinematically Mirroring the Shape of Objects. Actuators 2021, 9, 113. [Google Scholar] [CrossRef]
- Park, W.; Seo, S.; Bae, J. A Hybrid Gripper With Soft Material and Rigid Structures. IEEE Robot. Autom. Lett. 2019, 4, 65–72. [Google Scholar] [CrossRef]
- Jiang, Y.; Chen, D.; Liu, C.; Li, J. Chain-like granular jamming: A novel stiffness-programmable mechanism for soft robotics. Soft Robot. 2019, 6, 118–132. [Google Scholar] [CrossRef] [PubMed]
- Hao, Y.; Gong, Z.; Xie, Z.; Guan, S.; Yang, X. A Soft Bionic Gripper with Variable Effective Length. J. Bionic Eng. 2018, 15, 220–235. [Google Scholar] [CrossRef]
- Katzschmann, R.K.; Marchese, A.D.; Rus, D. Autonomous Object Manipulation Using a Soft Planar Grasping Manipulator. Soft Robot. 2015, 2, 155–164. [Google Scholar] [CrossRef] [PubMed] [Green Version]
- Ellis, D.R.; Venter, M.P.; Venter, G. Soft Pneumatic Actuator with Bimodal Bending Response Using a Single Pressure Source. Soft Robot. 2021, 8, 478–484. [Google Scholar] [CrossRef]
- Mosadegh, B.; Polygerinos, P.; Keplinger, C.; Wennstedt, S.; Shepherd, R.F.; Gupta, U. Pneumatic Networks for Soft Robotics that Actuate Rapidly. Adv. Funct. Mater. 2021, 24, 2163–2170. [Google Scholar] [CrossRef]
- Available online: https://softroboticstoolkit.com (accessed on 28 February 2021).
- Liu, S.F.; Wang, F.J.; Liu, Z.; Zhang, W.; Tian, Y.; Zhang, D. A Two-Finger Soft-Robotic Gripper With Enveloping and Pinching Grasping Modes. IEEE/ASME Trans. Mechatron. 2021, 26, 146–155. [Google Scholar] [CrossRef]
- Liu, Z.; Wang, F.J.; Liu, S.; Tian, Y.; Zhang, D. Modeling and Analysis of Soft Pneumatic Network Bending Actuators. IEEE/ASME Trans. Mechatron. 2021, 26, 2195–2203. [Google Scholar] [CrossRef]
- Liu, L.; Zhang, J.S.; Liu, G.; Zhu, Z.C.; Hu, Q.; Li, P.F. Three-Fingered Soft Pneumatic Gripper Integrating Joint-Tuning Capability. Soft Robot. 2021; online ahead of print. [Google Scholar] [CrossRef]
- Marechal, L.; Balland, P.; Lindenroth, L.; Petrou, F.; Kontovounisios, C. Toward a Common Framework and Database of Materials for Soft Robotics. Soft Robot. 2020, 8, 284–297. [Google Scholar] [CrossRef]


















| Parameters | ||||||
| Values (mm) | 13 | 4 | 5 | 3 | 2 | 1 |
| Parameters | -- | |||||
| Values (mm) | 2.5 | 2.5 | 22 | 1.5 | 1.5 | -- |
Publisher’s Note: MDPI stays neutral with regard to jurisdictional claims in published maps and institutional affiliations. |
© 2022 by the authors. Licensee MDPI, Basel, Switzerland. This article is an open access article distributed under the terms and conditions of the Creative Commons Attribution (CC BY) license (https://creativecommons.org/licenses/by/4.0/).
Share and Cite
Zhang, H.; Liu, W.; Yu, M.; Hou, Y. Design, Fabrication, and Performance Test of a New Type of Soft-Robotic Gripper for Grasping. Sensors 2022, 22, 5221. https://doi.org/10.3390/s22145221
Zhang H, Liu W, Yu M, Hou Y. Design, Fabrication, and Performance Test of a New Type of Soft-Robotic Gripper for Grasping. Sensors. 2022; 22(14):5221. https://doi.org/10.3390/s22145221
Chicago/Turabian StyleZhang, Hongjie, Wenwen Liu, Ming Yu, and Yanyan Hou. 2022. "Design, Fabrication, and Performance Test of a New Type of Soft-Robotic Gripper for Grasping" Sensors 22, no. 14: 5221. https://doi.org/10.3390/s22145221
APA StyleZhang, H., Liu, W., Yu, M., & Hou, Y. (2022). Design, Fabrication, and Performance Test of a New Type of Soft-Robotic Gripper for Grasping. Sensors, 22(14), 5221. https://doi.org/10.3390/s22145221

