Electric Field Detection System Based on Denoising Algorithm and High-Speed Motion Platform
Abstract
:1. Introduction
2. A Low Frequency Electric Field Detection System with a High-Speed Boat as the Platform
2.1. System Design and Construction
2.2. A Low Frequency Electric Field Detection Test with a High-Speed Boat Platform
3. A Noise Collection Test with a High-Speed Boat as the Platform
4. Analysis of Noise Characteristics of a High-speed Boat as the Platform
4.1. Time Domain Characteristics of Noise Signals
- The peak-to-peak value revealed that the noise level at the bow was lower than that at the stern when the velocity was not higher than 15 kn; nevertheless, it was higher than the latter when the velocity exceeded 15 kn.
- The mean value µ of noise at the bow and stern was always approximate to 0 at all velocities.
- The variance showed that the noise collected at the bow and stern fluctuated very slightly at all velocities.
- With the root mean square , it was revealed that the effective value of noise at the bow increased with increasing velocity, but that at the stern, it increased, decreased and increased again as velocity increased, but was lowest at the velocity of 15 kn.
- With the kurtosis , it was found that, for the same sensor, the noise at the bow peaked when the velocity was 25 kn, but the noise at the stern was distributed most gently when the velocity was 15 kn; for the same velocity, the noise at the bow was distributed more gently than that at the stern when the velocity was not greater than 20 kn.
- The waveform factor revealed that the noise was not white noise except the longitudinal component of the noise at the bow at v = 10 kn and the longitudinal component of the noise at the stern at v = 10 kn, and v = 15 kn.
- The results obtained from the tests allow us to state that:
- The high-speed motion of the platform caused stronger noise interference at the bow than that at the stern.
- Electric field noise signals were mainly composed of alternating components. The noise signals at the bow had the largest alternating components at v = 25 kn, whereas those at the stern had the smallest alternating components at v = 15 kn
- The effective value of noise at the bow was lower than that at the stern, implying that electric field sensors should be better placed near the bow.
- The electric field noise caused by the high-speed boat at different velocities was not white noise, so that it was not subject to a normal distribution and belonged to non-stationary random signals.
4.2. Frequency Domain Characteristics of Noise Signals
- Set the data length needed for Fast Fourier transform (FFT);
- Calculate the FFT of time sequence;
- Calculate the mean value of FFT amplitude spectrum squares;
- Draft the power spectrum curve;
- Calculate the cumulative energy distribution.
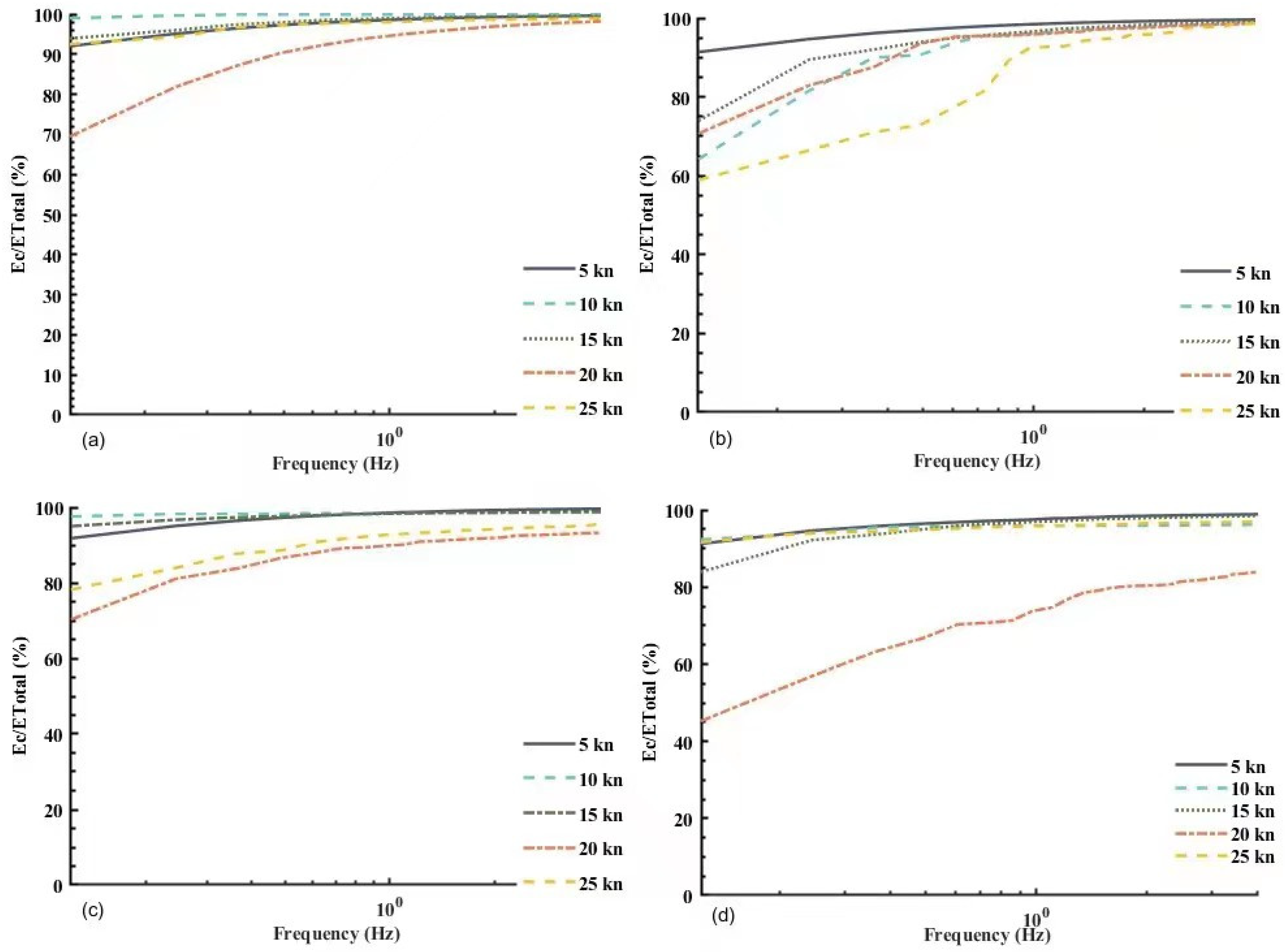
- The noise caused by the motion of the platform had its energy mostly at a frequency below 10 Hz, especially in the frequency bands below 2 Hz. The energy in the horizontal component of electric field noise at both the bow and stern exceeded 80% in the frequency bands below 2 Hz, and even reached 99%.
- The longitudinal component and the transverse component of the bow noise had more than 90% of the accumulated energy below 10 Hz, whereas the longitudinal component and the transverse component of the transom noise rose very slowly in the frequency band [10 Hz, 60 Hz] when the velocity reached 20 kn, and noticeably took up a lower proportion than the cumulative energy at other velocities. In other words, high-speed motion might cause large amounts of high frequency interference at the stern, which must be attributed to the joint effect of the engine’s electromagnetic radiation and the hull’s high-speed motion.
5. An Adaptive Low Frequency Electric Field Denoising Algorithm Based on ICEEMDAN with Threshold
5.1. Procedure of Implementing the ICEEMDAN Algorithm
- Add the white Gaussian noise to the signal to be decomposed to obtain a new signal to be decomposed:
- Use an EMD algorithm to calculate the local mean value of , and take the mean value as the first residual :
- Calculate the first mode IMF1 coefficient :
- Calculate the second mode IMF2 distribution with Equations (3) and (4):
- Calculate the kth IMFk distribution in the similar way:
- Calculate the correlation coefficient of IMF distribution with the original signal . The greater the coefficient, the more real signals containing the target signal from the IMF decomposition. Meanwhile, all IMFs and the original signal were normalized to prevent removing the real IMFs with lower amplitude. The correlation coefficient of the kth IMF with the original signal :where is the number of sampling points.
- The target containing noise signals had fewer IMF decomposition layers than the noise signals containing no target, implying that the latter had a more complicated composition.
- The target containing noise signals had a larger correlation coefficient than the noise signals containing no target in some cases, so that denoising by filtering could be achieved through removing some correlation coefficients.
- The correlation coefficient of the target containing noise signals increased and then decreased with the increase of the decomposition layer. The correlation coefficient was the largest at the fourth layer but became approximately 0 after reaching the seventh layer. This means that the signal at the fourth layer contained the largest amount of real information from the target source, so that it could be regarded as an approximately real signal. The signal after the seventh layer in the IMF decomposition contained very little information, so that it might be regarded as a ghost signal.
- The correlation coefficient of the noise signals containing no target increased with the decomposition layer. The correlation coefficient of the transverse component at the bow with IMF contained two peaks and one trough when the velocity was less than 15 kn. It peaked at the second IMF layer and the sixth IMF layer but hit a trough at the fourth IMF layer. When the velocity exceeded 15 kn, the correlation coefficient varied in the same way as the other sensors; that is, increasing and then decreasing, peaking at the second IMF layer, and being regarded as a ghost signal after the ninth IMF layer.
5.2. An Adaptive Denoising Algorithm Based on the ICEEMDAN with Threshold
- Perform the ICEEMDAN for the collected signals to output IMF layers.
- Calculate the correlation coefficient of each IMF layer ;
- Set the threshold. Calculate the standard deviation of the correlation coefficient , and take it as the IMF screening threshold TH.Keep if ;
- Screen the IMF. Keep the corresponding IMFk if , or discard it if not. Output is the screened IMF layers;
- Reconstruct the signal, superposed the IMF layers to obtain the denoised signal .
6. Verification of the Algorithm
- The proposed denoising algorithm could perform the adaptive layer screening and signal reconstruction based on the mode decomposition results of different original signals.
- The proposed algorithm achieved effective denoising. The line spectrum detection ratio and range were enhanced for all the signals collected by all the sensors at various velocities. The largest detection range exceeded 1300 m. Therefore, the algorithm was proven effective at denoising.
- By comparing the denoising algorithm in this paper with the standard ICEEDAN algorithm, the standard algorithm can also improve the line spectrum detection weight when the speed is low, but when the ship speed is higher than 10 kn, the denoising effect of the algorithm in this paper is significantly better than the standard ICEEDAN algorithm.
- A target could be always identified by the time domain distribution of signals after being filtered with the proposed algorithm regardless of the platform’s motion velocity.
- The proposed algorithm could overcome the interference caused by velocity, and ensure the remote target was detected during the high-speed motion of the platform. The line spectrum detection ratio of the longitudinal component at the bow increased from 0% to 20.9%, and the detection range was expanded from 0 m to 821 m.
- The transverse component at the bow and stern had its detection ratio improved more than the longitudinal component at the bow and stern. This mirrored the larger transverse component on the route of the boat in motion in the previous analysis.
7. Conclusions
Author Contributions
Funding
Institutional Review Board Statement
Informed Consent Statement
Data Availability Statement
Conflicts of Interest
References
- Amran, I.Y.; Isa, K.; Kadir, H.A.; Ambar, R.; Ibrahim, N.S.; Kadir, A.A.A.; Mangshor, M.H.A. Development of autonomous underwater vehicle for water quality measurement application. In Proceedings of the 11th National Technical Seminar on Unmanned System Technology 2019, Kuantan, Malaysia, 2–3 December 2019; Springer: Singapore, 2021; pp. 139–161. [Google Scholar]
- Trasviña-Moreno, C.A.; Blasco, R.; Marco, Á.; Casas, R.; Trasviña-Castro, A. Unmanned aerial vehicle based wireless sensor network for marine-coastal environment monitoring. Sensors 2017, 17, 460. [Google Scholar] [CrossRef] [PubMed]
- Sun, P.; Boukerche, A. Modeling and analysis of coverage degree and target detection for autonomous underwater vehicle-based system. IEEE Trans. Veh. Technol. 2018, 67, 9959–9971. [Google Scholar] [CrossRef]
- Wu, Y.; Low, K.H.; Lv, C. Cooperative path planning for heterogeneous unmanned vehicles in a search-and-track mission aiming at an underwater target. IEEE Trans. Veh. Technol. 2020, 69, 6782–6787. [Google Scholar] [CrossRef]
- Ji, X.; Zhuang, J.Y.; Su, Y.M. Marine radar target detection for USV. In Advanced Materials Research; Trans Tech Publications Ltd.: Freienbach, Switzerland, 2014; Volume 1006, pp. 863–869. [Google Scholar]
- Ghafoor, H.; Noh, Y. An overview of next-generation underwater target detection and tracking: An integrated underwater architecture. IEEE Access 2019, 7, 98841–98853. [Google Scholar] [CrossRef]
- Luo, J.; Han, Y.; Fan, L. Underwater acoustic target tracking: A review. Sensors 2018, 18, 112. [Google Scholar] [CrossRef] [Green Version]
- Miller, A.; Miller, B.; Miller, G. Navigation of Underwater Drones and Integration of Acoustic Sensing with Onboard Inertial Navigation System. Drones 2021, 5, 83. [Google Scholar] [CrossRef]
- Ainslie, M.A. Principles of Sonar Performance Modelling; Springer: Berlin, Germany, 2010; Volume 707. [Google Scholar]
- Hodges, R.P. Underwater Acoustics: Analysis, Design and Performance of Sonar; John Wiley & Sons: Hoboken, NJ, USA, 2011. [Google Scholar]
- Li, Q. Digital Sonar Design in Underwater Acoustics: Principles and Applications; Springer: Berlin/Heidelberg, Germany, 2012. [Google Scholar]
- Webb, D.C.; Simonetti, P.J.; Jones, C.P. SLOCUM: An underwater glider propelled by environmental energy. IEEE J. Ocean. Eng. 2001, 26, 447–452. [Google Scholar] [CrossRef]
- Moore, S.E.; Howe, B.M.; Stafford, K.M.; Boyd, M.L. Including whale call detection in standard ocean measurements: Applications of acoustic Seagliders. J. Mar. Technol. Soc. 2008, 41, 53–57. [Google Scholar] [CrossRef] [Green Version]
- Grund, M.; Freitag, L.; Preisig, J.; Ball, K. The PLUSNet underwater communications system: Acoustic telemetry for undersea surveillance. In OCEANS 2006; IEEE: Piscataway, NJ, USA, 2006; pp. 1–5. [Google Scholar]
- Lv, Z.; Bai, Y.; Jin, J.; Wang, H.; Ren, C. Analysis of wave fluctuation on underwater acoustic communication based USV. Appl. Acoust. 2021, 175, 107820. [Google Scholar] [CrossRef]
- Wang, Z. Research and Implementation of Underwater Glider Acoustic Vector Detection System; University of Chinese Academy of Sciences: Beijing China, 2014. [Google Scholar]
- Wang, C.; Sun, Q.; Wang, W.; Zhang, X. Acoustic System Design and Implementation for Underwater Target Warning Glider. Tech. Acoust. 2018, 37, 84–87. [Google Scholar]
- Birsan, M. Measurement of the extremely low frequency (ELF) magnetic field emission from a ship. Meas. Sci. Technol. 2011, 22, 085709. [Google Scholar] [CrossRef]
- Kumar, P.A.; Mouli, B.C.; Ganesh, S.; Swain, S.K. Extraction of target parameters using underwater electric field analysis. Resonances 2017, 7, 80. [Google Scholar]
- Birsan, M. Low-frequency transient (time domain) electromagnetic fields propagating in a marine environment. Int. J. Numer. Model. Electron. Netw. Devices Fields 2004, 17, 325–333. [Google Scholar] [CrossRef]
- Zolotarevskii, Y.M.; Bulygin, F.V.; Ponomarev, A.N.; Narchev, V.A.; Berezina, L.V. Methods of measuring the low-frequency electric and magnetic fields of ships. Meas. Tech. 2005, 48, 1140–1144. [Google Scholar] [CrossRef]
- Sun, B.; Yan, B.; Jiang, R. Application of ship static electric field in ship tracking and positioning. J. Unmanned Undersea Syst. 2018, 1, 57–62. [Google Scholar]
- Bao, Z.; Gong, S.; Sun, J.; Li, J. Localization of a horizontal electric dipole source embedded in deep sea by using two vector-sensors. J. Nav. Univ. Eng. 2011, 23, 53–57. [Google Scholar]
- Jiang, R.; Gong, S. Vessel’s shaft-related electric field signal detection based on the AR model parameter. J. Harbin Eng. Univ. 2013, 34, 952–956. [Google Scholar]
- Wang, J.; Li, B.; Chen, L.; Li, L. A novel detection method for underwater moving targets by measuring their ELF emissions with inductive sensors. Sensors 2017, 17, 1734. [Google Scholar] [CrossRef] [Green Version]
- Chen, X.; Yu, P.; Liu, D. Research on target electric field detection method based on self-sustained profile buoy. China Shipbuild. 2020, 61 (Suppl. 1), 31–39. [Google Scholar]
- Wang, J.; Wang, Z.; Xiao, H.; Xu, L.; Geng, P.; Zuo, C.; Yang, W.; Yu, D.; Zheng, P.; Zhou, T.; et al. Water Target Detection and Positioning Method with Electric Field Electrode Array Arrangement. China Patent 110850483B, 14 September 2021. [Google Scholar]
- Yu, P.; Cheng, J.; Zhang, J.; Jiang, R. The detection method of ship shaft frequency electric field sliding threshold based on Rao detector. J. Ordnance Eng. 2021, 42, 827–834. [Google Scholar]
- Huang, W. Time Series Data Mining and Application Based on EMD and BoF Model. Ph.D. Thesis, Zhejiang University, Hangzhou, China, 2018. [Google Scholar]
- Colominas, M.A.; Schlotthauer, G.; Torres, M.E. Improved complete ensemble EMD: A suitable tool for biomedical signal processing. Biomed. Signal Process. Control 2014, 14, 19–29. [Google Scholar] [CrossRef]
- Torres, M.E.; Colominas, M.A.; Schlotthauer, G.; Flandrin, P. A complete ensemble empirical mode decomposition with adaptive noise. In Proceedings of the 2011 IEEE international conference on acoustics, speech and signal processing (ICASSP), Prague, Czech Republic, 22–27 May 2011; IEEE: Piscataway, NJ, USA, 2011; pp. 4144–4147. [Google Scholar]
- Junsheng, C.; Dejie, Y.; Yu, Y. Research on the intrinsic mode function (IMF) criterion in EMD method. Mech. Syst. Signal Process. 2006, 20, 817–824. [Google Scholar] [CrossRef]
- Kou, Z.; Yang, F.; Wu, J.; Li, T. Application of ICEEMDAN energy entropy and AFSA-SVM for fault diagnosis of hoist sheave bearing. Entropy 2020, 22, 1347. [Google Scholar] [CrossRef] [PubMed]











| Simulated Radiation Source | Electrode Spacing | Radiation Current | Radiation Frequency |
|---|---|---|---|
| MMO electrode | 13 m | 6.9 A | 3 Hz |
| v (kn) | 5 kn | 10 kn | 15 kn | 20 kn | 25 kn |
| Testing frequency (Hz) | 3 Hz | 3 Hz | 3 Hz | Failed to detect | Failed to detect |
| Testing time (s) | 170 s | 100 s | 50 s | 0 s | 0 s |
| Testing distance (m) | 439 m | 514 m | 386 m | 0 m | 0 m |
| Detect proportional K/% | 44.7% | 26.3% | 13.2% | 0% | 0% |
| v (kn) | 5 kn | 10 kn | 15 kn | 20 kn | 25 kn |
| Testing frequency (Hz) | 3 Hz | 3 Hz | 3 Hz | 3 Hz | 3 Hz |
| Testing time (s) | 330 s | 130 s | 60 s | 60 s | 45 s |
| Testing distance (m) | 853 m | 669 m | 463 m | 617 m | 581 m |
| Detect proportional K/% | 86.8% | 34.2% | 15.8% | 15.8% | 11.8% |
| v (kn) | 5 kn | 10 kn | 15 kn | 20 kn | 25 kn |
| Testing frequency (Hz) | 3 Hz | 3 Hz | 3 Hz | 3 Hz | 3 Hz |
| Testing time (s) | 85 s | 85 s | 40 s | 45 s | 50 s |
| Testing distance (m) | 219 m | 437 m | 308 m | 465 m | 646 m |
| Detect proportional K/% | 22.4% | 22.4% | 10.5% | 11.8% | 13.2% |
| v (kn) | 5 kn | 10 kn | 15 kn | 20 kn | 25 kn |
| Testing frequency (Hz) | 3 Hz | 3 Hz | 3 Hz | 3 Hz | 3 Hz |
| Testing time (s) | 110 s | 100 s | 45 s | 50 s | 65 s |
| Testing distance (m) | 284 m | 514 m | 347 m | 517 m | 840 m |
| Detect proportional K/% | 28.9% | 26.3% | 11.8% | 13.2% | 17.1% |
| v (kn) | 5 | 10 | 15 | 20 | 25 |
| (mV/m) | 0.0181 | 0.0204 | 0.0391 | 0.0457 | 2.4327 |
| (mV/m) | −3.3 × 10−6 | 7.3 × 10−6 | −9.1 × 10−7 | −7.7 × 10−6 | 5.8 × 10−6 |
| (mV2/m2) | 1.0 × 10−11 | 1.8 × 10−11 | 2.2 × 10−10 | 6.4 × 10−10 | 4.1 × 10−6 |
| (mV/m) | 0.0021 | 0.0024 | 0.0038 | 0.0051 | 0.0451 |
| 15.8 × 1011 | 8.6 × 1010 | 1.5 × 1010 | 4.6 × 109 | 1.4 × 107 | |
| 1.2627 | 1.2548 | 1.2787 | 1.2701 | 5.2342 | |
| v (kn) | 5 | 10 | 15 | 20 | 25 |
| (mV/m) | 0.0291 | 0.0338 | 0.0342 | 0.1644 | 0.6374 |
| (mV/m) | −5.8 × 10−6 | 1.0 × 10−5 | −5.1 × 10−6 | 3.6 × 10−5 | −5.9 × 10−5 |
| (mV2/m2) | 6.3 × 10−7 | 8.5 × 10−12 | 1.4 × 10−10 | 9.2 × 10−9 | 6.3 × 10−7 |
| (mV/m) | 0.0033 | 0.0031 | 0.0036 | 0.0101 | 0.0283 |
| 2.8 × 1010 | 4.3 × 1010 | 1.8 × 1010 | 9.3 × 108 | 2.4 × 106 | |
| 1.2787 | 1.2667 | 1.2654 | 1.5307 | 1.4974 | |
| v (kn) | 5 | 10 | 15 | 20 | 25 |
| (mV/m) | 0.3102 | 0.2759 | 0.0617 | 0.0766 | 0.1087 |
| (mV/m) | 7.0 × 10−5 | −6.3 × 10−5 | 3.3 × 10−7 | 3.6 × 10−6 | −8.2 × 10−6 |
| (mV2/m2) | 1.6 × 10−6 | 3.1 × 10−8 | 2.7 × 10−9 | 5.7 × 10−9 | 1.4 × 10−8 |
| (mV/m) | 0.0356 | 0.0137 | 0.0072 | 0.0087 | 0.0111 |
| 2.1 × 106 | 5.3 × 108 | 1.1 × 109 | 5.4 × 108 | 2.4 × 108 | |
| 1.2876 | 1.2569 | 1.2517 | 1.2615 | 1.2514 | |
| v (kn) | 5 | 10 | 15 | 20 | 25 |
| (mV/m) | 0.8632 | 0.7105 | 0.1569 | 0.2320 | 0.2884 |
| (mV/m) | 9.7 × 10−5 | −9.2 × 10−5 | 1.1 × 10−7 | −5.6 × 10−7 | 1.3 × 10−5 |
| (mV2/m2) | 3.3 × 10−5 | 6.5 × 10−7 | 8.8 × 10−9 | 1.7 × 10−8 | 4.0 × 10−8 |
| (mV/m) | 0.0761 | 0.0285 | 0.0097 | 0.0115 | 0.0142 |
| 1.8 × 105 | 6.7 × 108 | 6.8 × 108 | 4.9 × 108 | 2.6 × 108 | |
| 1.4408 | 1.3619 | 1.2808 | 1.3245 | 1.3215 | |
| v/(kn) | 5 | 10 | 15 | 20 | 25 |
| Layer number screening results | 3–5 | 4–5 | 3–5 | 3–6 | 1–5 |
| v/(kn) | 5 | 10 | 15 | 20 | 25 |
| Layer number screening results | 3–5 | 3–6 | 3–4 | 3–5 | 3–5 |
| v/(kn) | 5 | 10 | 15 | 20 | 25 |
| Layer number screening results | 3–5 | 4–5 | 3–5 | 3–6 | 3–5 |
| v/(kn) | 5 | 10 | 15 | 20 | 25 |
| Layer number screening results | 3–5 | 4–5 | 3–4 | 2,4–5 | 3–5 |
| v/(kn) | 5 | 10 | 15 | 20 | 25 | |
| Specific gravity of line spectrum detection (%) | Before filtering | 44.7 | 26.3 | 13.2 | 0 | 0 |
| After filtering by standard ICEEDAN | 68.1 | 40.2 | 20.5 | 7.1 | 3.8 | |
| After filtering of the algorithm in this paper | 71.5 | 49.2 | 34.3 | 20.9 | 16.4 | |
| Detection distance of the spectrum (m) | Before filtering | 439 | 514 | 386 | 0 | 0 |
| After filtering by standard ICEEDAN | 668 | 785 | 599 | 278 | 186 | |
| After filtering | 702 | 966 | 1010 | 821 | 805 | |
| Distance improvement (%) | the standard ICEEDAN algorithm | +52.2 | +52.7 | +55.1 | - | - |
| Algorithm of this paper | +59.9 | +87.9 | +161.7 | - | - | |
| v(kn) | 5 | 10 | 15 | 20 | 25 | |
| Specific gravity of line spectrum detection (%) | Before filtering | 86.8 | 34.2 | 15.8 | 15.8 | 11.8 |
| After filtering by standard ICEEDAN | 88.1 | 43.2 | 21.1 | 16.1 | 11.9 | |
| After filtering of the algorithm in this paper | 93.1 | 57.2 | 35.5 | 23.2 | 22.7 | |
| Detection distance of the spectrum (m) | Before filtering | 853 | 669 | 463 | 617 | 581 |
| After filtering by standard ICEEDAN | 865 | 845 | 618 | 628 | 585 | |
| After filtering of the algorithm in this paper | 914 | 1123 | 1046 | 911 | 1115 | |
| Distance improvement (%) | the standard ICEEDAN algorithm | +1.4 | +26.3 | +33.4 | +1.7 | +0.6 |
| Algorithm of this paper | +7.2 | +67.9 | +125.9 | +47.6 | +91.9 | |
| v(kn) | 5 | 10 | 15 | 20 | 25 | |
| Specific gravity of line spectrum detection (%) | Before filtering | 22.4 | 22.4 | 10.5 | 11.8 | 13.2 |
| After filtering by standard ICEEDAN | 35.3 | 30.8 | 10.5 | 12.6 | 13.5 | |
| After filtering of the algorithm in this paper | 38.9 | 44.6 | 14.4 | 19.5 | 20.1 | |
| Detection distance of the spectrum (m) | Before filtering | 219 | 437 | 308 | 465 | 646 |
| After filtering by standard ICEEDAN | 347 | 600 | 308 | 496 | 660 | |
| After filtering of the algorithm in this paper | 382 | 876 | 424 | 766 | 987 | |
| Distance improvement (%) | the standard ICEEDAN algorithm | +58.4 | +37.2 | +0 | +6.6 | +2.1 |
| Algorithm of this paper | +74.4 | +100.5 | +37.7 | +64.7 | +52.8 | |
| v(kn) | 5 | 10 | 15 | 20 | 25 | |
| Specific gravity of line spectrum detection (%) | Before filtering | 28.9 | 26.3 | 11.8 | 13.2 | 17.1 |
| After filtering by standard ICEEDAN | 49.3 | 33.9 | 20.1 | 15.5 | 17.8 | |
| After filtering of the algorithm in this paper | 53.3 | 41.0 | 38.9 | 28.9 | 26.6 | |
| Detection distance of the spectrum (m) | Before filtering | 284 | 514 | 347 | 517 | 840 |
| After filtering by standard ICEEDAN | 484 | 662 | 591 | 607 | 874 | |
| After filtering of the algorithm in this paper | 524 | 805 | 1131 | 1135 | 1306 | |
| Distance improvement (%) | the standard ICEEDAN algorithm | +70.4 | +28.8 | +70.3 | +17.4 | +4.0 |
| Algorithm of this paper | +84.5 | +56.6 | +225.9 | +119.5 | +55.5 | |
Publisher’s Note: MDPI stays neutral with regard to jurisdictional claims in published maps and institutional affiliations. |
© 2022 by the authors. Licensee MDPI, Basel, Switzerland. This article is an open access article distributed under the terms and conditions of the Creative Commons Attribution (CC BY) license (https://creativecommons.org/licenses/by/4.0/).
Share and Cite
Liu, Q.; Sun, Z.; Jiang, R.; Zhang, J.; Zhu, K. Electric Field Detection System Based on Denoising Algorithm and High-Speed Motion Platform. Sensors 2022, 22, 5118. https://doi.org/10.3390/s22145118
Liu Q, Sun Z, Jiang R, Zhang J, Zhu K. Electric Field Detection System Based on Denoising Algorithm and High-Speed Motion Platform. Sensors. 2022; 22(14):5118. https://doi.org/10.3390/s22145118
Chicago/Turabian StyleLiu, Qi, Zhaolong Sun, Runxiang Jiang, Jiawei Zhang, and Kui Zhu. 2022. "Electric Field Detection System Based on Denoising Algorithm and High-Speed Motion Platform" Sensors 22, no. 14: 5118. https://doi.org/10.3390/s22145118
APA StyleLiu, Q., Sun, Z., Jiang, R., Zhang, J., & Zhu, K. (2022). Electric Field Detection System Based on Denoising Algorithm and High-Speed Motion Platform. Sensors, 22(14), 5118. https://doi.org/10.3390/s22145118
