Determination of Quality Parameters in Mangetout (Pisum sativum L. ssp. arvense) by Using Vis/Near-Infrared Reflectance Spectroscopy
Abstract
:1. Introduction
2. Material and Methods
2.1. Plant Material
2.2. Physicochemical Parameters
2.2.1. Firmness
2.2.2. Color
2.2.3. Total Soluble Solids and pH
2.2.4. Total Polyphenol Content
2.2.5. Vitamin C
2.2.6. Protein Content
2.3. Statistical Analysis
2.4. VIS-NIRS Analysis
2.5. Cross-Validation
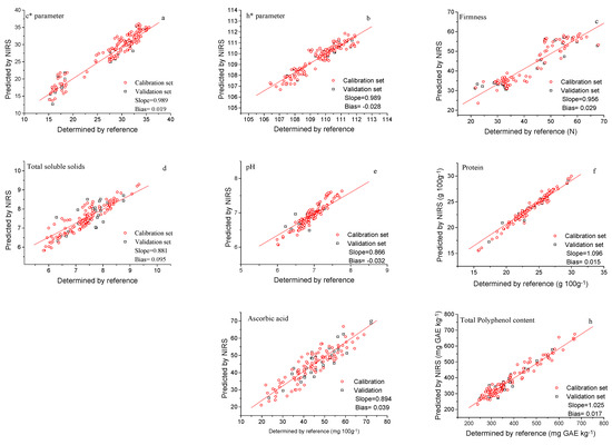
2.6. External Validation
3. Results and Discussion
3.1. Marketable Yield
3.2. Physicochemical Profiles
3.3. VIS-NIRS Analysis
3.3.1. Raw Spectra on Mangetout
3.3.2. Second Derivative Spectra of Mangetout
3.3.3. Calibration Development
3.3.4. Modified Partial Least Squares Loadings for Quality Equations
4. Conclusions
Author Contributions
Funding
Institutional Review Board Statement
Informed Consent Statement
Data Availability Statement
Conflicts of Interest
References
- Rivero-Pino, F.; Espejo-Carpio, F.J.; Guadix, E.M. Identification of dipeptidyl peptidase IV (DPP-IV) inhibitory peptides from vegetable protein sources. Food Chem. 2021, 354, 129473. [Google Scholar] [CrossRef] [PubMed]
- Semba, R.D.; Ramsing, R.; Rahman, N.; Kraemer, K.; Bloem, M.W. Legumes as a sustainable source of protein in human diets. Glob. Food Secur. 2021, 28, 100520. [Google Scholar] [CrossRef]
- Andreoli, V.; Bagliani, M.; Corsi, A.; Frontuto, V. Drivers of Protein Consumption: A Cross-Country Analysis. Sustainability 2021, 13, 7399. [Google Scholar] [CrossRef]
- Quesada, D.; Gómez, G. ¿Proteínas de origen vegetal o de origen animal?: Una mirada a su impacto sobre la salud y el medio ambiente. Nutr. Clin. Metab. 2019, 2, 79–86. [Google Scholar] [CrossRef]
- Henchion, M.; De Backer, C.J.S.; Hudders, L. Ethical and sustainable aspects of meat production; consumer perceptions and system credibility. In New Aspects of Meat Quality; Woodhead Publishing: Sawston, UK, 2017; pp. 649–666. [Google Scholar]
- Organización Mundial de la Salud. Informe de Expertos Independientes Sobre Dieta, Nutrición y Prevención de Enfermedades Crónicas. OMS. Available online: http://apps.who.int/iris/bitstream/handle/10665/42755/WHO_TRS_916_spa.pdf;jsessionid=317C195443FD49BB85BA3FDE262C4AF7?sequence=1 (accessed on 27 March 2022).
- Leonard, E. Cultivating good health. In Grains and Legumes Nutrition Council; Cadillac: Adelaide, Australia, 2012; pp. 5–15. ISSN 1039-6217. [Google Scholar]
- Maphosa, Y.; Jideani, V.A. The role of legumes in human nutrition. Funct. Food-Improv. Health Through Adequate Food 2017, 1, 13. [Google Scholar]
- Salazar Cubides, C.A. Prototipo Ideal del Consumidor Verde. 2018. Available online: https://repositoriocrai.ucompensar.edu.co/bitstream/handle/compensar/2607/PFG_Prototipoidealdelconsumidorverde.pdf?sequence=1&isAllowed=y (accessed on 27 March 2022).
- Troncoso-Pantoja, C. Comidas tradicionales y alimentación saludable: El ejemplo de la dieta mediterránea. Horiz. Méd. Lima 2019, 19, 72–77. [Google Scholar] [CrossRef]
- Servicio de Estudios Agroalimentarios de Cajamar. Análisis de la Campaña Hortofrutícola de Almería. Campaña 2020/2021; Cajamar Caja Rural: Almeria, Spain, 2021. [Google Scholar]
- García-García, M.C.; del Río Celestino, M.; Gil-Izquierdo, Á.; Egea-Gilabert, C.; Galano, J.M.; Durand, T.; Oger, C.; Fernández, J.; Ferreres, F.; Domínguez-Perles, R. The value of legume foods as a dietary source of phytoprostanes and phytofurans is dependent on species, variety, and growing conditions. Eur. J. Lipid Sci. Technol. 2019, 121, 1800484. [Google Scholar] [CrossRef]
- García-García, M.D.C.; Font, R.; Gómez, P.; Valenzuela, J.L.; Fernández, J.A.; Río-Celestino, M. Effects of Fertigation Management on the Quality of Organic Legumes Grown in Protected Cultivation. Horticulturae 2021, 7, 28. [Google Scholar] [CrossRef]
- El-Seifi, S.K.; Hassan, M.A.; El-Bassiouny, R.E.I.; Elwan, M.W.M.; Nasef, I.N. Effect of maturity stage on physical and chemical characteristics and determination of harvest time of sugar snap pea pods. J. Plant Prod. 2014, 5, 305–314. [Google Scholar] [CrossRef] [Green Version]
- Nicolaï, B.M.; Beullens, K.; Bobelyn, E.; Peirs, A.; Saeys, W.; Theron, K.I.; Lammertyn, J. Nondestructive measurement of fruit and vegetable quality by means of NIR spectroscopy: A review. Postharvest Biol. Technol. 2007, 46, 99–118. [Google Scholar] [CrossRef]
- Toledo-Martín, E.M.; García-García, M.C.; Font, R.; Rojas, J.M.M.; Gómez, P.; Navarro, M.S.; Del Río-Celestino, M. Application of visible/near-infrared reflectance spectroscopy for predicting internal and external quality in pepper. J. Sci. Food Agric. 2015, 96, 3114–3125. [Google Scholar] [CrossRef] [PubMed]
- Shepherd, K.D.; Walsh, M.G. Infrared Spectroscopy-Enabling an Evidence-Based Diagnostic Surveillance Approach to Agricultural and Environmental Management in Developing Countries. J. Near Infrared Spectrosc. 2007, 15, 1–19. [Google Scholar] [CrossRef]
- Malley, D.F.; Williams, P.C.; Hauser, B.; Hall, J. Prediction of organic C, N, and P in freshwater sediments using near-infrared reflectance spectroscopy. In Near Infrared Spectroscopy: The Future Waves; Davies, A.M.C., Williams, P.C., Eds.; NIR Publications: Chichester, UK, 1996; pp. 691–699. [Google Scholar]
- Martínez-Valdivieso, D.; Font, R.; Fernández-Bedmar, Z.; Merinas-Amo, T.; Gómez, P.; Alonso-Moraga, Á.; Del Río-Celestino, M. Role of Zucchini and Its Distinctive Components in the Modulation of Degenerative Processes: Genotoxicity, Anti-Genotoxicity, Cytotoxicity and Apoptotic Effects. Nutrients 2017, 9, 755. [Google Scholar] [CrossRef] [PubMed] [Green Version]
- Pomares-Viciana, T.; Martínez-Valdivieso, D.; Font, R.; Gómez, P.; Del Río-Celestino, M. Characterisation and prediction of carbohydrate content in zucchini fruit using near infrared spectroscopy. J. Sci. Food Agric. 2017, 98, 1703–1711. [Google Scholar] [CrossRef]
- Toledo-Martín, E.M.; Font, R.; Obregón-Cano, S.; De Haro-Bailón, A.; Villatoro-Pulido, M.; Del Río-Celestino, M. Rapid and Cost-Effective Quantification of Glucosinolates and Total Phenolic Content in Rocket Leaves by Visible/Near-Infrared Spectroscopy. Molecules 2017, 22, 851. [Google Scholar] [CrossRef] [Green Version]
- Toledo-Martín, E.M.; García-García, M.C.; Font, R.; Moreno-Rojas, J.M.; Salinas-Navarro, M.; Gómez, P.; Del Río-Celestino, M. Quantification of Total Phenolic and Carotenoid Content in Blackberries (Rubus Fructicosus L.) Using Near Infrared Spectroscopy (NIRS) and Multivariate Analysis. Molecules 2018, 23, 3191. [Google Scholar] [CrossRef] [Green Version]
- Martínez-Valdivieso, D.; Font, R.; Del Río-Celestino, M. Prediction of Agro-Morphological and Nutritional Traits in Ethiopian Mustard Leaves (Brassica Carinata A. Braun) by Visible-Near-Infrared Spectroscopy. Foods 2019, 8, 6. [Google Scholar] [CrossRef] [Green Version]
- Ozaki, Y. Near-infrared spectroscopy-its versatility in analytical chemistry. Anal. Sci. 2012, 28, 545–563. [Google Scholar] [CrossRef] [Green Version]
- Hang, J. Genome-Wide Association Study of Seed Protein and Amino acid Contents in Cultivated Lentils as Determined by Near-Infrared Reflectance Spectroscopy. 2022. Available online: http://hdl.handle.net/1993/36250 (accessed on 27 March 2022).
- Font, R.; del Río-Celestino, M.; Luna, D.; Gil, J.; de Haro-Bailón, A. Rapid and Cost-Effective Assessment of the Neutral and Acid Detergent Fiber Fractions of Chickpea (Cicer arietinum L.) by Combining Modified PLS and Visible with Near-Infrared Spectroscopy. Agronomy 2021, 11, 666. [Google Scholar] [CrossRef]
- Jung, C.S.; Kim, B.J.; Kwon, Y.C.; Han, W.Y.; Kwack, Y.H. Analysis of Protein and Moisture Contents in Pea (Pisum sativum L) Using Near-Infrared Reflectance Spectroscopy. Korean J. Crop Sci. 1998, 43, 101–104. [Google Scholar]
- Hacisalihoglu, G.; Freeman, J.; Armstrong, P.R.; Seabourn, B.W.; Porter, L.D.; Settles, A.M.; Gustin, J.L. Protein, weight, and oil prediction by single-seed near-infrared spectroscopy for selection of seed quality and yield traits in pea (Pisum sativum). J. Sci. Food Agric. 2020, 100, 3488–3497. [Google Scholar] [CrossRef] [PubMed]
- Martens, M.; Martens, H. Near-infrared reflectance determination of sensory quality of peas. Appl. Spectrosc. 1986, 40, 303–310. [Google Scholar] [CrossRef]
- Digman, M.F.; Runge, W.M. The utility of a near-infrared spectrometer to predict the maturity of green peas (Pisum sativum). Comput. Electron. Agric. 2021, 193, 106643. [Google Scholar] [CrossRef]
- Shenk, J.S.; Westerhaus, M.O. Population structuring of near infrared spectra and modified partial least squares regression. Crop Sci. 1991, 31, 1548–1555. [Google Scholar] [CrossRef]
- Europea, C. Reglamento (CE) nº 889/2008 de la Comisión, de 5 de septiembre de 2008, por el que se establecen disposiciones de aplicación del Reglamento (CE) nº 834/2007 del Consejo sobre producción y etiquetado de los productos ecológicos, con respecto a la producción ecológica, su etiquetado y su control. D. Of. Unión Eur. 2008, 18, 1–84. [Google Scholar]
- Kähkönen, M.P.; Hopia, A.I.; Vuorela, H.J.; Rauha, J.P.; Pihlaja, K.; Kujala, T.S. Antioxidant activity of plant extracts containing phenolic compounds. J. Agric. Food Chem. 1999, 47, 3954–3962. [Google Scholar] [CrossRef]
- Suntornsuk, L.; Gritsanapun, W.; Nilkamhank, S.; Paochom, A. Quantitation of vitamin C content in herbal juice using direct titration. J. Pharm. Biomed. Anal. 2001, 28, 849–855. [Google Scholar] [CrossRef]
- Ferrer-Gallego, R.; Hernández-Hierro, J.M.; Rivas-Gonzalo, J.C.; Escribano-Bailón, M.T. A comparative study to distinguish the vineyard of origin by NIRS using entire grapes, skins and seeds. J. Sci. Food Agric. 2013 93, 967–972. [CrossRef] [Green Version]
- Hruschka, W.R. Data analysis: Wavelength selection methods, In Near-Infrared Technology in the Agricultural Food Industries; Williams, P., Norris, K., Eds.; American Association of Cereal Chemists, Inc.: St. Paul, MN, USA, 1987; pp. 35–55. [Google Scholar]
- Shenk, J.S.; Workman, J.J.; Westerhaus, M.O. Application of NIR spectroscopy to agricultural products. In Handbook of NearInfrared Analysis; Burns, D.A., Ciurczak, E.W., Eds.; Marcel Dekker: New York, NY, USA, 1992; pp. 383–431. [Google Scholar]
- Stone, M.; Roy, J. The linear complementarity problem. Stat. Soc. 1974, B, 111–133. [Google Scholar]
- Foley, W.J.; McIlwe, A.; Lawler, I.; Aragones, L.; Woolnough, A.P.; Berding, N. Ecological applications of near infrared reflectance spectroscopy—A tool for rapid, cost-effective prediction of the composition of plant and animal tissues and aspects of animal performance. Oecologia 1998, 116, 293–305. [Google Scholar] [CrossRef]
- Martens, H.; Naes, T. Multivariate Calibration; John Wiley & Sons: Hoboken, NJ, USA, 1992; p. 440. [Google Scholar]
- NIRS 2, Routine Analysis Manual. NIR Systems User’s Manual; Infrasoft International: Port Matilda, PA, USA, 1995.
- Shenk, J.S.; Westerhaus, M.O. Calibration the ISI way. In Near Infrared Spectroscopy: The Future Waves; Davies, A.M.C., Williams, P.C., Eds.; NIR Publications: Chichester, UK, 1996; pp. 198–202. [Google Scholar]
- Williams, P.; Norris, K. Near-Infrared Technology in the Agricultural and Food Industries; Minnesota American Association: St. Paul, MN, USA, 2001. [Google Scholar]
- Barbin, D.F.; Kaminishikawahara, C.M.; Lourenco Soares, A.; Mizubuti, I.Y.; Grespan, M.; Shimokomaki, M.; Hirook, E.Y. Prediction of chicken quality attributes by near infrared spectroscopy. Food Chem. 2015, 168, 554–560. [Google Scholar] [CrossRef] [PubMed]
- Millmier, A.; Lorimor, J.; Hurburgh, C.; Fulhage, C.; Hattey, J.; Zhang, H. Near infrared sensing of manure nutrients. Trans. ASAE 2000, 43, 903–908. [Google Scholar] [CrossRef]
- García-García, M.C. Reducción de la Fertirrigación en Cultivo Ecológico de Leguminosas Protegidas y su Efecto Sobre la Cosecha. Master’s Thesis, Universidad de Almería, Almería, Spain, 2017. [Google Scholar]
- Estrada, J.M.; Ibáñez, J. Cultivo del tirabeque. Hortic 1985, 2019, 11–23. [Google Scholar]
- Regulation (EU) 2018/848 of the European Parliament and of the Council of 30 May 2018 on organic production and labelling of organic products and repealing Council Regulation (EC) No 834/2007. Off. J. Eur. Union 2018, 150, 1–92.
- Salinas-Ramírez, N.; Escalante-Estrada, J.; Rodríguez-González, M.; Sosa-Montes, E. Yield and nutritional quality of snap bean in terms of biofertilization. Trop. Subtrop. Agroecosyst. 2011, 13, 347–355. [Google Scholar]
- Tantawy, A.; Abdel-Mawgoud, A.M.R.; Habib, H.; Hafez, M. Growth, Productivity and Pod Quality Responses of Green Bean Plants Phaseolus vulgaris to Foliar Application of Nutrients and Pollen Extracts. Res. J. Agric. Biol. Sci. 2009, 5, 1032–1038. [Google Scholar]
- Mattar, M.A.; Soliman, S.S.; Al-Obeed, R.S. Effects of various quantities of three irrigation water types on yield and fruit quality of ‘succary’date palm. Agronomy 2021, 11, 796. [Google Scholar] [CrossRef]
- Ram, H.; Hedau, N.K.; Chaudhari, G.V.; Kant, L. Peas with zero shelling edible pods: A review. Sci. Hortic. 2021, 288, 110333. [Google Scholar] [CrossRef]
- Myers, J.R.; Bagget, J.R. Improvement of snap beans. In Common Bean Improvement in the Twenty-First Century; Singh, S.P., Ed.; Springer: Dordrecht, The Netherlands, 1999; pp. 289–329. [Google Scholar]
- Rucker, R.B.; Zempleni, J.; Suttie, J.W.; McCormick, D.B. Handbook of Vitamins, 4th ed.; CRC Press: Boca Raton, FL, USA; Taylor & Francis Group: New York, NY, USA, 2007; pp. 489–520. [Google Scholar]
- Ntatsi, G.; Gutiérrez-Cortines, M.E.; Karapanos, I.; Barros, A.; Weiss, J.; Balliu, A.; dos Santos Rosa, E.A.; Savvas, D. The quality of leguminous vegetables as influenced by preharvest factors. Sci. Hortic. 2018, 232, 191–205. [Google Scholar] [CrossRef]
- Favell, D.J. A comparison of the vitamin C content of fresh and frozen vegetables. Food Chem. 1998, 62, 59–64. [Google Scholar] [CrossRef]
- Rickman, J.C.; Barrett, D.M.; Bruhn, C.M. Nutritional comparison of fresh, frozen and canned fruits and vegetables. Part 1. Vitamins C and B and phenolic compounds. J. Sci. Food Agric. 2007, 87, 930–944. [Google Scholar] [CrossRef]
- Avilés García, M.J. & Cruz Rodríguez, J.A. Estudio Químico y Actividad Antioxidante de la Vaina de Arveja (Pisum sativum). Ph.D. Thesis, Universidad de Guayaquil, Facultad de Ciencias Químicas, Guayaquil, Ecuador, 2020; pp. 38–39. [Google Scholar]
- Khah, M.E.; Arvanitoyannis, S.I. Yield, nutrient content and physico-chemical and organoleptic properties en green bean are affected by N:K ratios. Food Agric. Environ. 2003, 1, 17–26. [Google Scholar]
- Dawo, M.; Wilkindon, J.M.; Sanders, F.; Pilbean, D.J. The yield and quality of fresh and ensiled plant material from intercropped maize (Zea mays) and beans (Phaseolus vulgaris). J. Sci. Food Agric. 2007, 87, 1391–1399. [Google Scholar] [CrossRef]
- Fernández, N.E.P.; López, G.P.; Domínguez, C.R.; Peñuelas, V.M.L.; Izaguirre, S.C.O. Composición química, características funcionales y capacidad antioxidante de formulaciones de garbanzo (Cicer arietinum L.) Blanco Sinaloa 92. Agrociencia 2019, 53, 35–44. [Google Scholar]
- Segura, M.L.; Contreras, J.I.; García, I.I.; García, M.C.; Cuadrado, I.M. Fertilización nitrogenada de judía verde bajo invernadero con criterios agroecológicos. In VII Congreso SEAE; Sociedad Española de Agricultura Ecológica: Catarroja, Spain, 2006. [Google Scholar]
- Champa, W.A.H.; Weerakkody, W.A.P.; Palipane, K.B. Maturity indices for harvesting of beans (Phaseolus vulgaris L.) variety Kentuckey Wonder Green in dry zone cultivation in Sri Lanka. Trop. Agric. Res. 2008, 20, 123–133. [Google Scholar]
- Cajamar. Ficha de Transferencia: Parámetros de Calidad Interna de Hortalizas y Frutas en la Industria Agroalimentaria; Cajamar Caja Rural: Almeria, Spain, 2014. [Google Scholar]
- Del Río, D.; Rodríguez-Mateos, A.; Spencer, J.P.E.; Tognolini, M.; Borges, G.; Crozier, A. Dietary (poly)phenolics in human health: Structures, bioavailability, and evidence of protective effects against chronic diseases. Antioxid. Redox Signal. 2013, 18, 1818–1892. [Google Scholar] [CrossRef] [PubMed] [Green Version]
- Devi, J.; Sanwal, S.K.; Koley, T.K.; Dubey, R.K.; Singh, P.M.; Singh, B. Variability and character association studies for horticultural and quality traits in garden pea (Pisum sativum L. var. hortense). Veg. Sci. 2018, 45, 161–165. [Google Scholar]
- Arana Torres, N.M. Una Revisión de los Beneficios en la Salud Humana y Métodos de Extracción de Compuestos Bioactivos de Vaccinium Meridionale. PhD Thesis, Universidad Nacional de Frontera, Sullana, Peru, 2021. [Google Scholar]
- Hood-Niefer, S.D.; Warkentin, T.D.; Chibbar, R.N.; Vandenberg, A.; Tyler, R.T. Effect of genotype and environment on the concentrations of starch and protein in, and the physicochemical properties of starch from, field pea and faba bean. J. Sci. Food Agric. 2012, 92, 141–150. [Google Scholar] [CrossRef]
- Mateos-Aparicio, I.; Redondo-Cuenca, A.; Villanueva-Suárez, M.J.; Zapata-Revilla, M.A.; Tenorio-Sanz, M.D. Pea pod, broad bean pod and okara, potential sources of functional compounds. LWT Food Sci. Technol. 2010, 43, 1467–1470. [Google Scholar] [CrossRef]
- Kumari, T.; Deka, S.C. Potential health benefits of garden pea seeds and pods: A review. Legume Sci. 2021, 3, e82. [Google Scholar] [CrossRef]
- Mejri, F.; Khoud, H.B.; Njim, L.; Baati, T.; Selmi, S.; Martins, A.; Hosni, K. In vitro and in vivo biological properties of pea pods (Pisum sativum L.). Food Biosci. 2019, 32, 100482. [Google Scholar] [CrossRef]
- Merzlyak, M.N.; Solovchenko, A.E.; Gitelson, A.A. Reflectance spectral features and non-destructive estimation of chlorophyll, carotenoid and anthocyanin content in apple fruit. Postharvest Biol. Technol. 2003, 27, 197–211. [Google Scholar] [CrossRef]
- Murray, I.; Williams, P.C. Chemical principles of Near-infrared technolog. Near-Infrared Technol. Agric. Ind. 1987, 17, 17–34. [Google Scholar]
- Font, R.; Velez, D.; Del Rio-Celestino, M.; De Haro-Bailon, A.; Montoro, R. Fast, clean, low-cost screening of cadmium and lead in the mussel Mytilus galloprovincialis Lmk. by visible spectroscopy and partial least squares regression. Food Chem. 2007, 105, 667–674. [Google Scholar] [CrossRef]
- Tkachuk, R.; Kuzina, F.D. Chlorophyll analysis of whole rapeseed kernels by near infrared reflectance. Can. J. Plant Sci. 1982, 62, 875–884. [Google Scholar] [CrossRef]
- Gomez, A.H.; He, Y.; Pereira, A.G. Non-destructive measurement of acidity, soluble solids and firmness of Satsuma mandarin using Vis/NIR-spectroscopy technique. J. Food Eng. 2006, 77, 313–319. [Google Scholar] [CrossRef]
- Murray, I.; Williams, D. Chemical principals of near-infrared technology. In Near Infrared Technology in the Agricultural and Food Industries; American Association of Cereal Chemists: St Paul, MN, USA, 1987; pp. 143–167. [Google Scholar]
- Lucas, A.; Andueza, D.; Rock, E.; Martin, B. Prediction of dry matter, fat, pH, vitamins, minerals, carotenoids, total antioxidant capacity, and color in fresh and freeze-dried cheeses by visible-near-infrared reflectance spectroscopy. J. Agric. Food Chem. 2008, 56, 6801–6808. [Google Scholar] [CrossRef]
- Osborne, B.G.; Fearn, T.; Hindle, P.H. Introduction in Practical NIR Spectroscopy with Applications. In Food and Beverage Analysis; Osborne, B.G., Fearn, T., Hindle, P.H., Eds.; Longman Scientific and Technical: London, UK, 1993; pp. 1–12. [Google Scholar]
- Hervera, M.; Castrillo, C.; Albanell, E.; Baucells, M.D. Use of near-infrared spectroscopy to predict energy content of commercial dog food. J. Anim. Sci. 2012, 90, 4401–4407. [Google Scholar] [CrossRef]
- Hacisalihoglu, G.; Gustin, J.L.; Louisma, J.; Armstrong, P.; Peter, G.F.; Walker, A.R.; Settles, A.M. Enhanced Single Seed Trait Predictions in Soybean (Glycine max) and Robust Calibration Model Transfer with Near-Infrared Reflectance Spectroscopy. J. Agric. Food Chem. 2016, 64, 1079–1086. [Google Scholar] [CrossRef]
- Hermida, M.; Rodríguez, N.; Rodríguez-Otero, J.L. Determination of moisture, starch, protein, and fat in common beans (Phaseolus vulgaris L.) by near infrared spectroscopy. J. AOAC Int. 2006, 89, 1039–1041. [Google Scholar] [CrossRef] [Green Version]
- Carbas, B.; Machado, N.; Oppolzer, D.J.; Queiroz, M.; Brites, C.M.; Rosa, E.A.S.; Barros, A.I. Prediction of Phytochemical Composition, In Vitro Antioxidant Activity and Individual Phenolic Compounds of Common Beans Using MIR and NIR Spectroscopy. Food Bioprocess Technol. 2020, 13, 962–977. [Google Scholar] [CrossRef]
- Hacisalihoglu, G.; Larbi, B.; Settles, A.M. Near-Infrared Reflectance Spectroscopy Predicts Protein, Starch, and Seed Weight in Intact Seeds of Common Bean (Phaseolus vulgaris L.). J. Agric. Food Chem. 2009, 58, 702–706. [Google Scholar] [CrossRef] [PubMed]
- Plans, M.; Simó, J.; Casals, F.; Sabaté, J.; Rodríguez-Saona, L.E. Characterization of common beans (Phaseolus vulgaris L.) by infrared spectroscopy: Comparison of MIR, FT-NIR and dispersive NIR using portable and benchtop instruments. Food Res. Int. 2013, 54, 1643–1651. [Google Scholar] [CrossRef]
- Wang, J.; Liu, H.; Ren, G. Near-infrared spectroscopy (NIRS) evaluation and regional analysis of Chinese faba bean (Vicia faba L.). Crop J. 2014, 2, 28–37. [Google Scholar] [CrossRef] [Green Version]
- Shi, J.Y.; Zou, X.B.; Zhao, J.W.; Mel, H.; Wang, K.L.; Wang, X.; Chen, H. Determination of total flavonoids content in fresh Ginkgo biloba leaf with different colors using near infrared spectroscopy. Spectrochim. Acta Part A Mol. Biomol. Spectrosc. 2012, 94, 271–276. [Google Scholar] [CrossRef]
- Xue, L.; Yang, L. Deriving leaf chlorophyll content of green-leafy vegetables from hyperspectral reflectance. ISPRS J. Photogramm. Remote Sens. 2009, 64, 97–106. [Google Scholar] [CrossRef]
- Li, Y.; Sun, Y.; Jiang, J.; Liu, J. Spectroscopic determination of leaf chlorophyll content and color for genetic selection on Sassafras tzumu. Plant Methods 2019, 15, 73. [Google Scholar] [CrossRef]
- Verardo, V.; Cevoli, C.; Pasini, F.; Gómez-Caravaca, A.M.; Marconi, E.; Fabbri, A.; Caboni, M.F. Analysis of oligomer proanthocyanidins in different barley genotypes using high-performance liquid chromatography-fluorescence detection-mass spectrometry and near-infrared methodologies. J. Agric. Food Chem. 2015, 63, 4130–4137. [Google Scholar] [CrossRef]
- Vignolini, S.; Rudall, P.J.; Rowland, A.V.; Reed, A.; Moyroud, E.; Faden, R.B.; Baumberg, J.J.; Glover, B.J.; Steiner, U. Pointillist structural color in Pollia fruit. Proc. Natl. Acad. Sci. USA 2012, 109, 15712–15715. [Google Scholar] [CrossRef] [Green Version]








| Cultivars | Companies | Growth Habit |
|---|---|---|
| Local landrace | Growers production | Indeterminate climbing |
| AR-24007 | Ramiro Arnedo | Indeterminate climbing |
| Capuchino | Batlle | Indeterminate climbing |
| Tirabeque IS | Intersemillas | Indeterminate climbing |
| Tirabí | Fitó | Indeterminate climbing |
| Pea Zuccola | Tozer | Determinate climbing |
| Pea Delikata | Tozer | Determinate climbing |
| Bamby | Gautier | Deterninate postrate |
| Parameters | Mean | Range | SD |
|---|---|---|---|
| C* | 27.87 | 15.20–35.58 | 6.15 |
| h* | 109.46 | 105.13–112.91 | 1.49 |
| Firmness (N) | 43.62 | 20.59–67.52 | 12.74 |
| TSS (Brix) | 7.53 | 6.08–8.85 | 0.65 |
| pH | 6.80 | 5.99–7.28 | 0.27 |
| Protein (g 100 g−1 dw) | 23.48 | 11.50–29.75 | 3.02 |
| AAC (mg 100 g−1 fw) | 43.82 | 19.75–68.86 | 10.82 |
| TPC (mg GAE kg−1 fw) | 389.09 | 202.30–685.05 | 111.52 |
| Parameters | Range | 1 SD | 2 R2 | 3 SEC | 4 R2 CV | 5 SECV | 6 RPDcv | 7 Treatment | 8 Cv |
|---|---|---|---|---|---|---|---|---|---|
| C* | 15.20–35.58 | 6.35 | 0.87 | 2.24 | 0.81 | 2.78 | 2.28 | 2,5,5,2 | 0.22 |
| h* | 106.41–112.10 | 1.41 | 0.80 | 0.62 | 0.71 | 0.75 | 1.88 | 1,4,4,1 | 0.01 |
| Firmness (N) | 21.75–67.52 | 10.09 | 0.71 | 5.46 | 0.71 | 5.93 | 1.70 | 1,4,4,1 | 0.21 |
| 9 TSS (Brix) | 6.29–8.83 | 0.65 | 0.93 | 0.18 | 0.68 | 0.39 | 1.66 | 1,4,4,1 | 0.08 |
| pH | 6.01–7.28 | 0.27 | 0.60 | 0.17 | 0.55 | 0.18 | 1.50 | 1,4,4,1 | 0.04 |
| Protein (g 100 g−1 dw) | 15.69–29.75 | 2.80 | 0.97 | 0.48 | 0.92 | 0.81 | 3.45 | 2,5,5,2 | 0.13 |
| 10 AAC (mg 100 g−1 fw) | 19.75–64.40 | 10.89 | 0.79 | 5.02 | 0.56 | 7.16 | 1.52 | 1,4,4,1 | 0.24 |
| 11 TPC (mg GAE kg−1 fw) | 239.28–670.30 | 101.91 | 0.93 | 27.01 | 0.86 | 39.08 | 2.61 | 1,4,4,1 | 0.28 |
| Reference Values (n = 30) | External Validation | ||||||
|---|---|---|---|---|---|---|---|
| Parameters | Range | Mean | 1 SD | 2 Rv2 | 3 SEP | 4 RPDp | 5 RER |
| C* | 15.20–34.89 | 25.50 | 7.33 | 0.78 | 3.34 | 2.19 | 5.89 |
| H* | 107.40–111.71 | 109.71 | 1.24 | 0.68 | 0.56 | 2.00 | 6.95 |
| Firmness (N) | 24.45–67.20 | 40.48 | 12.51 | 0.65 | 7.34 | 1.70 | 5.96 |
| 6 TSS (Brix) | 6.29–8.76 | 7.54 | 0.69 | 0.52 | 0.51 | 1.35 | 4.84 |
| pH | 6.22–7.20 | 6.83 | 0.22 | 0.50 | 0.14 | 1.57 | 7.00 |
| Protein (g 100 g−1 dw) | 17.22–29.5 | 24.95 | 2.18 | 0.88 | 0.68 | 3.20 | 14.89 |
| 7AAC (mg 100 g−1 fw) | 22.71–63.47 | 45.69 | 8.82 | 0.50 | 8.82 | 1.50 | 7.03 |
| 8 TPC (mg GAE kg−1 fw) | 250.89–570.21 | 360.89 | 80.37 | 0.84 | 29.46 | 2.72 | 10.84 |
Publisher’s Note: MDPI stays neutral with regard to jurisdictional claims in published maps and institutional affiliations. |
© 2022 by the authors. Licensee MDPI, Basel, Switzerland. This article is an open access article distributed under the terms and conditions of the Creative Commons Attribution (CC BY) license (https://creativecommons.org/licenses/by/4.0/).
Share and Cite
García-García, M.d.C.; Martín-Expósito, E.; Font, I.; Martínez-García, B.d.C.; Fernández, J.A.; Valenzuela, J.L.; Gómez, P.; Río-Celestino, M.d. Determination of Quality Parameters in Mangetout (Pisum sativum L. ssp. arvense) by Using Vis/Near-Infrared Reflectance Spectroscopy. Sensors 2022, 22, 4113. https://doi.org/10.3390/s22114113
García-García MdC, Martín-Expósito E, Font I, Martínez-García BdC, Fernández JA, Valenzuela JL, Gómez P, Río-Celestino Md. Determination of Quality Parameters in Mangetout (Pisum sativum L. ssp. arvense) by Using Vis/Near-Infrared Reflectance Spectroscopy. Sensors. 2022; 22(11):4113. https://doi.org/10.3390/s22114113
Chicago/Turabian StyleGarcía-García, María del Carmen, Emilio Martín-Expósito, Isabel Font, Bárbara del Carmen Martínez-García, Juan A. Fernández, Juan Luis Valenzuela, Pedro Gómez, and Mercedes del Río-Celestino. 2022. "Determination of Quality Parameters in Mangetout (Pisum sativum L. ssp. arvense) by Using Vis/Near-Infrared Reflectance Spectroscopy" Sensors 22, no. 11: 4113. https://doi.org/10.3390/s22114113
APA StyleGarcía-García, M. d. C., Martín-Expósito, E., Font, I., Martínez-García, B. d. C., Fernández, J. A., Valenzuela, J. L., Gómez, P., & Río-Celestino, M. d. (2022). Determination of Quality Parameters in Mangetout (Pisum sativum L. ssp. arvense) by Using Vis/Near-Infrared Reflectance Spectroscopy. Sensors, 22(11), 4113. https://doi.org/10.3390/s22114113

