Distributed Airflow Sensing Based on High-Spatial-Resolution BOTDA and a Self-Heated High-Attenuation Fiber
Abstract
:1. Introduction
2. Experimental Setup and Measurement Principle
3. Results and Discussions
3.1. Characterization of the Sensing Head
3.2. Measurement of Transverse Movement of the Airflow
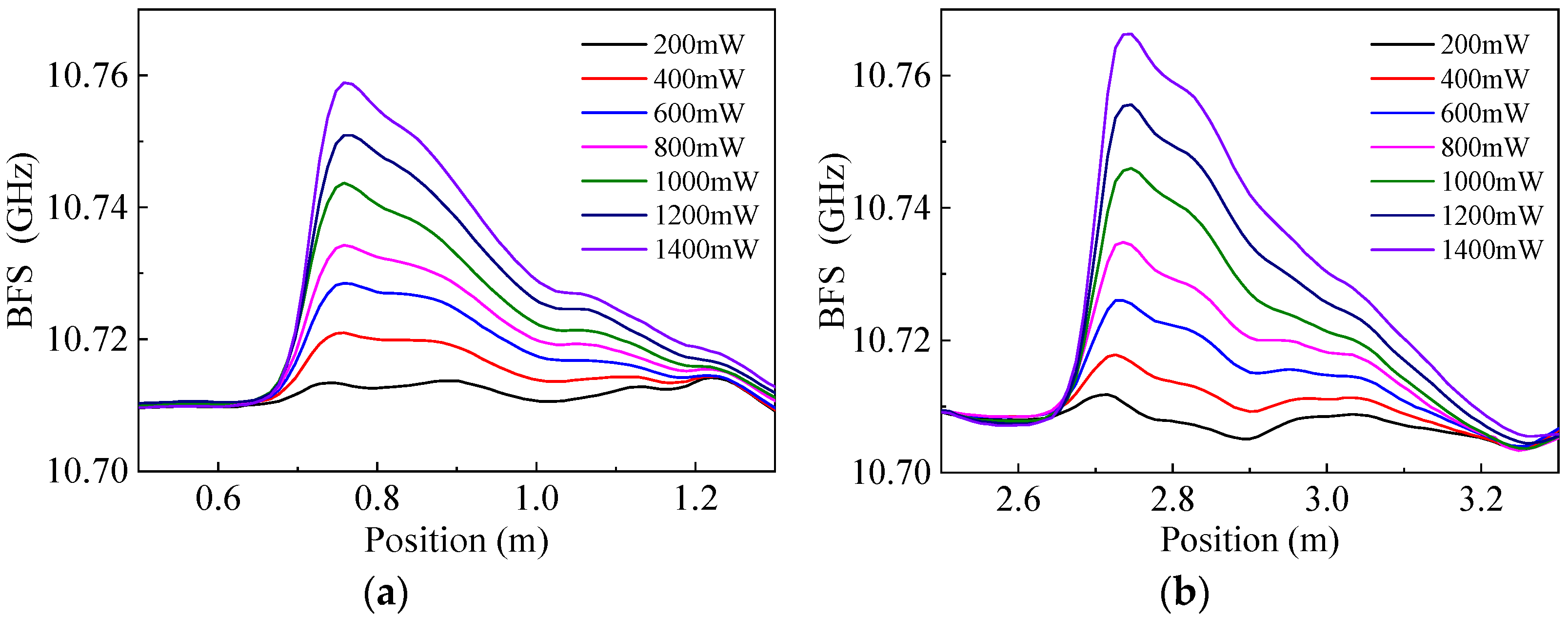
3.3. Measurement of Multiple Airflows
3.4. Measurement of Deflection Angle of the Airflow
4. Conclusions
Author Contributions
Funding
Institutional Review Board Statement
Informed Consent Statement
Data Availability Statement
Conflicts of Interest
References
- Gupta, H.; Arumuru, V.; Jha, R. Industrial fluid flow measurement using optical fiber sensors: A review. IEEE Sens. J. 2020, 21, 7130–7144. [Google Scholar] [CrossRef]
- Cashdollar, L.J.; Chen, K.P. Fiber Bragg grating flow sensors powered by in-fiber light. IEEE Sens. J. 2005, 5, 1327–1331. [Google Scholar] [CrossRef]
- Jewart, C.; McMillen, B.; Cho, S.K. X-probe flow sensor using self-powered active fiber Bragg gratings. Sens. Actuator A Phys. 2006, 127, 63–68. [Google Scholar] [CrossRef]
- Chen, T.; Wang, Q.Q.; Zhang, B.T.; Chen, R.Z.; Chen, P.K. Distributed flow sensing using optical hot-wire grid. Opt. Express 2012, 20, 8240–8249. [Google Scholar] [CrossRef] [PubMed] [Green Version]
- Wang, X.H.; Dong, X.Y.; Zhou, Y.; Ni, K.; Cheng, J.; Chen, Z.M. Hot-wire anemometer based on silver-coated fiber Bragg grating assisted by no-core fiber. IEEE Photon. Technol. Lett. 2013, 25, 2458–2461. [Google Scholar] [CrossRef]
- Caldas, P.; Jorge, P.A.; Rego, G.; Frazão, O.; Santos, J.L.; Ferreira, L.A.; Araújo, F. Fiber optic hot-wire flowmeter based on a metallic coated hybrid long period grating/fiber Bragg grating structure. Appl. Opt. 2011, 50, 2738–2743. [Google Scholar] [CrossRef] [PubMed]
- Zhao, Y.; Hu, H.F.; Bi, D.J.; Yang, Y. Research on the optical fiber gas flowmeters based on intermodal interference. Opt. Lasers Eng. 2016, 82, 122–126. [Google Scholar] [CrossRef]
- Dong, X.Y.; Zhou, Y.; Zhou, W.J.; Cheng, J.; Su, Z.D. Compact anemometer using silver coated fiber Bragg grating. IEEE Photon. J. 2012, 4, 1381–1386. [Google Scholar] [CrossRef]
- Wang, X.H.; Dong, X.Y.; Zhou, Y.; Li, Y.; Cheng, J.; Chen, Z.M. Optical fiber anemometer using silver-coated fiber Bragg grating and bitaper. Sens. Actuator A Phys. 2014, 214, 230–233. [Google Scholar] [CrossRef]
- Frazao, O.; Caldas, P.; Araujo, F.M.; Ferreira, L.A.; Santos, J.L. Optical flowmeter using a modal interferometer based on a single nonadiabatic fiber taper. Opt. Lett. 2007, 32, 1974–1976. [Google Scholar] [CrossRef] [PubMed]
- Chen, X.K.; Dong, X.Y.; Sun, Y.X.; Peng, Y.Q.; Bai, X.Q.; Dai, Q.Y. Hot-wire Anemometer Based on Etched Fiber Bragg Grating Coated with Silver Film. In Proceedings of the 2019 18th International Conference on Optical Communications and Networks (ICOCN), Huangshan, China, 5–8 August 2019; pp. 1–3. [Google Scholar]
- Chen, R.Z.; Yan, A.; Chen, K.P. High-Temperature flow sensing using regenerated gratings in self-heated high attenuation fibers. In Proceedings of the CLOE: Science and Innovations, San Jose, CA, USA, 8–13 June 2014; pp. 1–2. [Google Scholar]
- Zhang, Y.; Wang, F.; Duan, Z.; Liu, Z.X.; Liu, Z.G.; Wu, Z.L.; Gu, Y.Y.; Sun, C.S.; Peng, W. A Novel Low-Power-Consumption All-Fiber-Optic Anemometer with Simple System Design. Sensors 2017, 17, 2107. [Google Scholar] [CrossRef] [PubMed] [Green Version]
- Zhang, T.X.; Guo, T.; Wang, R.H.; Qiao, X.G. A hot-wire flowmeter based on fiber Extrinsic Fabry-Pérot Interferometer with assistance of fiber Bragg grating. Opt. Commun. 2021, 497, 126952. [Google Scholar] [CrossRef]
- Wang, B.Z.; Dong, Y.K.; Ba, D.X.; Bao, X.Y. High spatial resolution: An integrative review of its developments on the Brillouin optical time- and correlation-domain analysis. Meas. Sci. Technol. 2020, 31, 052001. [Google Scholar] [CrossRef]
- Li, W.H.; Bao, X.Y.; Li, Y.; Chen, L. Differential pulse-width pair BOTDA for high spatial resolution sensing. Opt. Express 2008, 16, 21616–21625. [Google Scholar] [CrossRef] [PubMed]
- Dong, Y.K.; Bao, X.Y.; Li, W.H. Differential Brillouin gain for improving the temperature accuracy and spatial resolution in a long-distance distributed fiber sensor. Appl. Opt. 2009, 48, 4297–4301. [Google Scholar] [CrossRef] [PubMed]
- Davis, M.K.; Digonnet, M.J.F.; Pantell, R.H. Thermal effects in doped fibers. J. Lightwave Technol. 1998, 16, 1013–1023. [Google Scholar] [CrossRef]
- Bao, Y.; Chen, G. Temperature-dependent strain and temperature sensitivities of fused silica single mode fiber sensors with pulse prepump Brillouin optical time domain analysis. Meas. Sci. Technol. 2016, 27, 065101. [Google Scholar] [CrossRef]








| Demodulated angle | 7.125 | 14.5 | 21.18 | 32.5 |
| Actual angle | 7.5 | 15 | 22.5 | 30 |
| Deviation | 0.375 | 0.5 | 1.32 | −2.5 |
Publisher’s Note: MDPI stays neutral with regard to jurisdictional claims in published maps and institutional affiliations. |
© 2022 by the authors. Licensee MDPI, Basel, Switzerland. This article is an open access article distributed under the terms and conditions of the Creative Commons Attribution (CC BY) license (https://creativecommons.org/licenses/by/4.0/).
Share and Cite
Zhang, H.; Lei, Y.; Zhou, J.; Dong, Y. Distributed Airflow Sensing Based on High-Spatial-Resolution BOTDA and a Self-Heated High-Attenuation Fiber. Sensors 2022, 22, 4017. https://doi.org/10.3390/s22114017
Zhang H, Lei Y, Zhou J, Dong Y. Distributed Airflow Sensing Based on High-Spatial-Resolution BOTDA and a Self-Heated High-Attenuation Fiber. Sensors. 2022; 22(11):4017. https://doi.org/10.3390/s22114017
Chicago/Turabian StyleZhang, Hongying, Yanyang Lei, Jinzhe Zhou, and Yongkang Dong. 2022. "Distributed Airflow Sensing Based on High-Spatial-Resolution BOTDA and a Self-Heated High-Attenuation Fiber" Sensors 22, no. 11: 4017. https://doi.org/10.3390/s22114017
APA StyleZhang, H., Lei, Y., Zhou, J., & Dong, Y. (2022). Distributed Airflow Sensing Based on High-Spatial-Resolution BOTDA and a Self-Heated High-Attenuation Fiber. Sensors, 22(11), 4017. https://doi.org/10.3390/s22114017
