Real-Time Monitoring of SO2 Emissions Using a UV Camera with Built-in NO2 and Aerosol Corrections
Abstract
:1. Introduction
2. Spectral Consideration
3. Methodology
3.1. Experiment Instrument
3.2. Mie Scattering Corrections
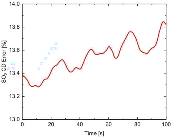
4. SO2 CD Error
5. Conclusions
Author Contributions
Funding
Institutional Review Board Statement
Informed Consent Statement
Data Availability Statement
Conflicts of Interest
References
- Zhou, F.; Gu, J.; Chen, W.; Ni, X. Measurement of SO2 and NO2 in Ship Plumes Using Rotary Unmanned Aerial System. Atmosphere 2019, 10, 657. [Google Scholar] [CrossRef] [Green Version]
- Cao, K.; Zhang, Z.; Li, Y.; Zheng, W.; Xie, M. Ship fuel sulfur content prediction based on convolutional neural network and ultraviolet camera images. Environ. Pollut. 2021, 273, 116501. [Google Scholar] [CrossRef] [PubMed]
- Zhang, Z.D.; Zheng, W.B.; Li, Y.; Cao, K.; Xie, M.; Wu, P. Monitoring Sulfur Content in Marine Fuel Oil Using Ultraviolet Imaging Technology. Atmosphere 2021, 12, 1182. [Google Scholar] [CrossRef]
- Kalabokas, P.D.; Papayannis, A.D.; Tsaknakis, G.; Ziomas, I. A study on the atmospheric concentrations of primary and secondary air pollutants in the Athens basin performed by DOAS and DIAL measuring techniques. Sci. Total Environ. 2012, 414, 556–563. [Google Scholar] [CrossRef] [PubMed]
- Hughes, E.J.; Yorks, J.; Krotkov, N.A.; da Silva, A.M.; McGill, M. Using CATS near-real-time lidar observations to monitor and constrain volcanic sulfur dioxide (SO2) forecasts. Geophys. Res. Lett. 2016, 43, 11089–11097. [Google Scholar] [CrossRef]
- Allard, P.; Burton, M.; Mure, F. Spectroscopic evidence for a lava fountain driven by previously accumulated magmatic gas. Nature 2005, 433, 407–410. [Google Scholar] [CrossRef] [PubMed]
- Burton, M.; Allard, P.; Mure, F.; La Spina, A. Magmatic gas composition reveals the source depth of slug-driven strombolian explosive activity. Science 2007, 317, 227–230. [Google Scholar] [CrossRef] [Green Version]
- La Spina, A.; Burton, M.; Allard, P.; Alparone, S.; Muré, F. Open-path FTIR spectroscopy of magma degassing processes during eight lava fountains on Mount Etna. Earth Planet. Sci. Lett. 2015, 413, 123–134. [Google Scholar] [CrossRef]
- Berg, N.; Mellqvist, J.; Jalkanen, J.P.; Balzani, J. Ship emissions of SO2 and NO2: DOAS measurements from airborne platforms. Atmos. Meas. Tech. 2012, 5, 1085–1098. [Google Scholar] [CrossRef] [Green Version]
- Wu, F.C.; Xie, P.H.; Li, A.; Mou, F.S.; Chen, H.; Zhu, Y.; Zhu, T.; Liu, J.G.; Liu, W.Q. Investigations of temporal and spatial distribution of precursors SO2 and NO2 vertical columns in the North China Plain using mobile DOAS. Atmos. Chem. Phys. 2018, 18, 1535–1554. [Google Scholar] [CrossRef] [Green Version]
- Tan, W.; Liu, C.; Wang, S.S.; Xing, C.Z.; Su, W.J.; Zhang, C.X.; Xia, C.Z.; Liu, H.R.; Cai, Z.N.; Liu, J.G. Tropospheric NO2, SO2, and HCHO over the East China Sea, using ship-based MAX-DOAS observations and comparison with OMI and OMPS satellite data. Atmos. Chem. Phys. 2018, 18, 15387–15402. [Google Scholar] [CrossRef] [Green Version]
- Bobrowski, N.; Honninger, G.; Lohberger, F.; Platt, U. IDOAS: A new monitoring technique to study the 2D distribution of volcanic gas emissions. J. Volcanol. Geotherm. Res. 2006, 150, 329–338. [Google Scholar] [CrossRef]
- Schonhardt, A.; Altube, P.; Gerilowski, K.; Krautwurst, S.; Hartmann, J.; Meier, A.C.; Richter, A.; Burrows, J.P. A wide field-of-view imaging DOAS instrument for two-dimensional trace gas mapping from aircraft. Atmos. Meas. Tech. 2015, 8, 5113–5131. [Google Scholar] [CrossRef] [Green Version]
- Wilkes, T.C.; McGonigle, A.J.; Pering, T.D.; Taggart, A.J.; White, B.S.; Bryant, R.G.; Willmott, J.R. Ultraviolet Imaging with Low Cost Smartphone Sensors: Development and Application of a Raspberry Pi-Based UV Camera. Sensors 2016, 16, 1649. [Google Scholar] [CrossRef] [Green Version]
- Mori, T.; Burton, M. The SO2 camera: A simple, fast and cheap method for ground-based imaging of SO2 in volcanic plumes. Geophys. Res. Lett. 2006, 33, L24804. [Google Scholar] [CrossRef]
- Bluth, G.J.S.; Shannon, J.M.; Watson, I.M.; Prata, A.J.; Realmuto, V.J. Development of an ultra-violet digital camera for volcanic SO2 imaging. J. Volcanol. Geotherm. Res. 2007, 161, 47–56. [Google Scholar] [CrossRef]
- Kern, C.; Kick, F.; Lubeck, P.; Vogel, L.; Wuhrbach, M.; Platt, U. Theoretical description of functionality, applications, and limitations of SO2 cameras for the remote sensing of volcanic plumes. Atmos. Meas. Tech. 2010, 3, 733–749. [Google Scholar] [CrossRef] [Green Version]
- Kern, C.; Werner, C.; Elias, T.; Sutton, A.J.; Lubcke, P. Applying UV cameras for SO2 detection to distant or optically thick volcanic plumes. J. Volcanol. Geotherm. Res. 2013, 262, 80–89. [Google Scholar] [CrossRef]
- Kern, C.; Lubcke, P.; Bobrowski, N.; Campion, R.; Mori, T.; Smekens, J.F.; Stebel, K.; Tamburello, G.; Burton, M.; Platt, U.; et al. Intercomparison of SO2 camera systems for imaging volcanic gas plumes. J. Volcanol. Geotherm. Res. 2015, 300, 22–36. [Google Scholar] [CrossRef]
- Osorio, M.; Casaballe, N.; Belsterli, G.; Barreto, M.; Gomez, A.; Ferrari, J.A.; Frins, E. Plume Segmentation from UV Camera Images for SO2 Emission Rate Quantification on Cloud Days. Remote Sens. 2017, 9, 517. [Google Scholar] [CrossRef] [Green Version]
- Wang, P.; Liu, K.Y.; Cwik, T.; Green, R. MODTRAN on supercomputers and parallel computers. Parallel Comput. 2002, 28, 53–64. [Google Scholar] [CrossRef]
- Wu, K.; Feng, Y.; Xiong, Y.; Duan, W.; Yu, G.; Li, F. Real-time continuous calibration method for an ultraviolet camera. Opt. Lett. 2020, 45, 6851–6854. [Google Scholar] [CrossRef]
- Wu, K.; Xiong, Y.; Feng, Y.; Yu, Y.; Li, F. Development of a self-calibration method for real-time monitoring of SO2 ship emissions with UV cameras. Opt. Express 2021, 29, 1813–1823. [Google Scholar] [CrossRef]
- Campion, R.; Delgado-Granados, H.; Mori, T. Image-based correction of the light dilution effect for SO2 camera measurements. J. Volcanol. Geotherm. Res. 2015, 300, 48–57. [Google Scholar] [CrossRef]









Publisher’s Note: MDPI stays neutral with regard to jurisdictional claims in published maps and institutional affiliations. |
© 2022 by the authors. Licensee MDPI, Basel, Switzerland. This article is an open access article distributed under the terms and conditions of the Creative Commons Attribution (CC BY) license (https://creativecommons.org/licenses/by/4.0/).
Share and Cite
Xiong, Y.; Wu, K.; Yu, G.; Chen, Z.; Liu, L.; Li, F. Real-Time Monitoring of SO2 Emissions Using a UV Camera with Built-in NO2 and Aerosol Corrections. Sensors 2022, 22, 3900. https://doi.org/10.3390/s22103900
Xiong Y, Wu K, Yu G, Chen Z, Liu L, Li F. Real-Time Monitoring of SO2 Emissions Using a UV Camera with Built-in NO2 and Aerosol Corrections. Sensors. 2022; 22(10):3900. https://doi.org/10.3390/s22103900
Chicago/Turabian StyleXiong, Yuanhui, Kuijun Wu, Guangbao Yu, Zhenwei Chen, Linmei Liu, and Faquan Li. 2022. "Real-Time Monitoring of SO2 Emissions Using a UV Camera with Built-in NO2 and Aerosol Corrections" Sensors 22, no. 10: 3900. https://doi.org/10.3390/s22103900
APA StyleXiong, Y., Wu, K., Yu, G., Chen, Z., Liu, L., & Li, F. (2022). Real-Time Monitoring of SO2 Emissions Using a UV Camera with Built-in NO2 and Aerosol Corrections. Sensors, 22(10), 3900. https://doi.org/10.3390/s22103900

