Individualization of Intensity Thresholds on External Workload Demands in Women’s Basketball by K-Means Clustering: Differences Based on the Competitive Level
Abstract
1. Introduction
2. Materials and Methods
2.1. Design
2.2. Participants
2.3. Variables
- Distance covered: Total number of meters covered by the player classified according to the speed of locomotion.
- Number of accelerations: Total number of positive increases in speed that each player performed (measured in m/s2), classified according to intensity.
- Number of decelerations: Total number of negative increases in speed that each player performed (measured in m/s2), classified according to intensity.
- Number of impacts: Total number of impacts received by each player (measured in g forces), classified according to the magnitude of g force supported.
2.4. Equipment
2.5. Procedures
2.6. Statistical Analysis
3. Results
4. Discussion
5. Conclusions
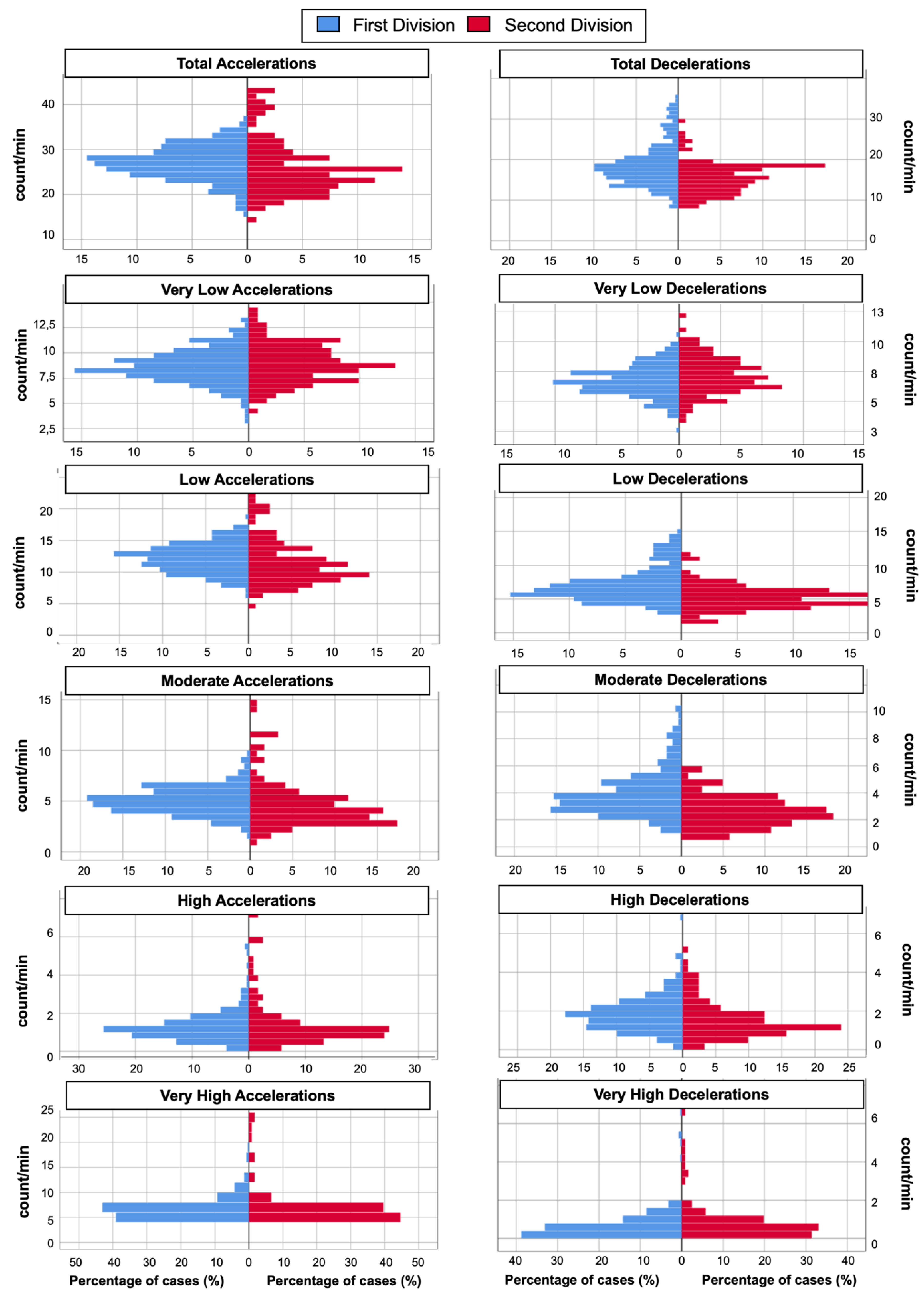
- Five work zones in speed (<2.31, 2.31–5.33, 5.34–9.32, 9.33–13.12, 13.13–17.08 km/h), acceleration (<0.50, 0.50–1.60, 1.61–2.87, 2.88–4.25, 4.26–6.71 m/s2), deceleration (<0.37, 0.37 −1.13, 1.14–2.07, 2.08–3.23, 3.24–4.77 m/s2), and impacts (<1, 1–2.99, 3–4.99, 5–6.99, 7–10 g) were established through k-means clustering, performing the analysis without attending to the competitive level. Regarding the difference in results depending on the competitive level, we found that the first division team presented the following values in speed (<2.14, 2.14–4.93, 4.94–8.71, 8.72–12.55, 12.56–16.54 km/h), acceleration (<0.58, 0.58–1.86, 1.87–3.21, 3.22–4.58, 4.59–7.01 m/s2), deceleration (<0.62, 0.62–2.00, 2.01–3.42, 3.43–4.86, 4.87–6.51 m/s2), and impacts (<1, 1–1.99, 2–2.99, 3–3.99, 5–8 g), while in the second division team, the speed values were grouped in (<2.40, 2.41–5.90, 5.91–10.47, 10.48–14.99, >14.99 km/h), acceleration (<2.35, 2.35–5.16, 5.17–8.99, 9.00–12.76, 12.77–16.71 km/h), acceleration (<0.44, 0.44–1.44, 1.45–2.64, 2.65–3.65, 3.66–4.61 m/s2), deceleration (<0.52, 0.52–1.74, 1.75–3.01, 3.02–4.22, 4.23–5.65 m/s2), and impacts (<1, 1–1.99, 2–2.99, 3–4.99, 5–8 g). The characterization of women’s basketball demands is important to quantify specific training and competition workloads adapted to the physical fitness of players and sport discipline. The use of mathematical processes like k-means clustering helps the establishment of thresholds in an objective way.
- Differences in speed, changes of speed and impact thresholds were found between categories. First division players obtained higher thresholds in all types of movements and at all intensities, especially in changes of speed. Therefore, the competitive level is one of the aspects to consider when work zones are individualized.
- The competitive level also affected the duration of five vs. five full-court training tasks. The first division team performed five vs. five full-court tasks with longer duration (~8 min, (7′30″ to 8′40″) than the second division team (~6 min). For this reason, a higher volume of distance, accelerations, decelerations and impacts at all intensities were found in the first division team. The adaptation of task duration is fundamental for achieving the desired training objectives. A lower competitive level is normally linked to lower physical fitness so that shorter tasks are necessary to maintain high intensity with longer between-repetition breaks.
- When variables were relativized to task duration, the first division team players covered a greater distance jogging and running, recorded higher positive and negative changes of speed and impacts at all intensities except in the very high zone. In this respect, the competitive level not only affected the workload volume in relation to task duration, but the movements were performed at higher intensity in the first division players. Therefore, an adaptation of the training, both in volume and intensity, is necessary to achieve the desired performance enhancement and reduce injury risk.
Author Contributions
Funding
Institutional Review Board Statement
Informed Consent Statement
Data Availability Statement
Acknowledgments
Conflicts of Interest
References
- Bartlett, J.D.; O’Connor, F.; Pitchford, N.; Torres-Ronda, L.; Robertson, S.J. Relationships Between Internal and External Training Load in Team-Sport Athletes: Evidence for an Individualized Approach. Int. J. Sports Physiol. Perform. 2017, 12, 230–234. [Google Scholar] [CrossRef] [PubMed]
- Impellizzeri, F.M.; Marcora, S.M.; Coutts, A.J. Internal and External Training Load: 15 Years On. Int. J. Sports Physiol. Perform. 2019, 14, 270–273. [Google Scholar] [CrossRef]
- Edwards, T.; Spiteri, T.; Piggott, B.; Bonhotal, J.; Haff, G.G.; Joyce, C. Monitoring and Managing Fatigue in Basketball. Sports 2018, 6, 19. [Google Scholar] [CrossRef]
- Fox, J.L.; Scanlan, A.T.; Stanton, R. A Review of Player Monitoring Approaches in Basketball: Current Trends and Future Directions. J. Strength Cond. Res. 2017, 31, 2021–2029. [Google Scholar] [CrossRef] [PubMed]
- Barris, S.; Button, C. A Review of Vision-Based Motion Analysis in Sport. Sports Med. 2008, 38, 1025–1043. [Google Scholar] [CrossRef]
- Pino-Ortega, J.; Oliva-Lozano, J.M.; Gantois, P.; Nakamura, F.Y.; Rico-González, M. Comparison of the Validity and Reliability of Local Positioning Systems against Other Tracking Technologies in Team Sport: A Systematic Review. J. Sports Eng. Technol. 2021, 1–10. [Google Scholar] [CrossRef]
- Gómez-Carmona, C.D.; Bastida-Castillo, A.; Ibáñez, S.J.; Pino-Ortega, J. Accelerometry as a Method for External Workload Monitoring in Invasion Team Sports. A Systematic Review. PLoS ONE 2020, 15, e0236643. [Google Scholar] [CrossRef]
- Halson, S.L. Monitoring Training Load to Understand Fatigue in Athletes. Sports Med. 2014, 44, 139–147. [Google Scholar] [CrossRef]
- Kasper, K. Sports Training Principles. Curr. Sports Med. Rep. 2019, 18, 95–96. [Google Scholar] [CrossRef] [PubMed]
- Sweeting, A.J.; Cormack, S.J.; Morgan, S.; Aughey, R.J. When Is a Sprint a Sprint? A Review of the Analysis of Team-Sport Athlete Activity Profile. Front. Physiol. 2017, 8, 432. [Google Scholar] [CrossRef]
- Stojanović, E.; Stojiljković, N.; Scanlan, A.T.; Dalbo, V.J.; Berkelmans, D.M.; Milanović, Z. The Activity Demands and Physiological Responses Encountered During Basketball Match-Play: A Systematic Review. Sports Med. 2018, 48, 111–135. [Google Scholar] [CrossRef]
- Petway, A.J.; Freitas, T.T.; Calleja-González, J.; Leal, D.M.; Alcaraz, P.E. Training Load and Match-Play Demands in Basketball Based on Competition Level: A Systematic Review. PLoS ONE 2020, 15, e0229212. [Google Scholar] [CrossRef]
- Reina, M.; García-Rubio, J.; Pino-Ortega, J.; Ibáñez, S.J. The Acceleration and Deceleration Profiles of U-18 Women’s Basketball Players during Competitive Matches. Sports 2019, 7, 165. [Google Scholar] [CrossRef]
- Rojas-Valverde, D.; Gómez-Carmona, C.D.; Oliva-Lozano, J.M.; Ibáñez, S.J.; Pino-Ortega, J. Quarter’s External Workload Demands of Basketball Referees during a European Youth Congested-Fixture Tournament. Int. J. Perform. Anal. Sport 2020, 20, 432–444. [Google Scholar] [CrossRef]
- Cunniffe, B.; Proctor, W.; Baker, J.S.; Davies, B. An Evaluation of the Physiological Demands of Elite Rugby Union Using Global Positioning System Tracking Software. J. Strength Cond. Res. 2009, 23, 1195–1203. [Google Scholar] [CrossRef]
- Jennings, D.; Cormack, S.J.; Coutts, A.J.; Aughey, R.J. GPS Analysis of an International Field Hockey Tournament. Int. J. Sports Physiol. Perform. 2012, 7, 224–231. [Google Scholar] [CrossRef][Green Version]
- Mohr, M.; Krustrup, P.; Bangsbo, J. Match Performance of High-Standard Soccer Players with Special Reference to Development of Fatigue. J. Sports Sci. 2003, 21, 519–528. [Google Scholar] [CrossRef]
- Bradley, P.S.; Vescovi, J.D. Velocity Thresholds for Women’s Soccer Matches: Sex Specificity Dictates High-Speed Running and Sprinting Thresholds—Female Athletes in Motion (FAiM). Int. J. Sports Physiol. Perform. 2015, 10, 112–116. [Google Scholar] [CrossRef]
- Dwyer, D.B.; Gabbett, T.J. Global Positioning System Data Analysis: Velocity Ranges and a New Definition of Sprinting for Field Sport Athletes. J. Strength Cond. Res. 2012, 26, 818–824. [Google Scholar] [CrossRef] [PubMed]
- Park, L.A.F.; Scott, D.; Lovell, R. Velocity Zone Classification in Elite Women’s Football: Where Do We Draw the Lines? Sci. Med. Footb. 2019, 3, 21–28. [Google Scholar] [CrossRef]
- Reina, M.; García-Rubio, J.; Ibáñez, S.J. Activity Demands and Speed Profile of Young Female Basketball Players Using Ultra-Wide Band Technology. Int. J. Environ. Res. Public Health 2020, 17, 1477. [Google Scholar] [CrossRef] [PubMed]
- Hunter, F.; Bray, J.; Towlson, C.; Smith, M.; Barrett, S.; Madden, J.; Abt, G.; Lovell, R. Individualisation of Time-Motion Analysis: A Method Comparison and Case Report Series. Int. J. Sports Med. 2015, 36, 41–48. [Google Scholar] [CrossRef]
- Ato, M.; López-García, J.J.; Benavente, A. Un sistema de clasificación de los diseños de investigación en psicología. An. Psicol. Ann. Psychol. 2013, 29, 1038–1059. [Google Scholar] [CrossRef]
- Reina, M.; García-Rubio, J.; Ibáñez, S.J. Training and Competition Load in Female Basketball: A Systematic Review. Int. J. Environ. Res. Public Health 2020, 17, 2639. [Google Scholar] [CrossRef]
- Alarifi, A.; Al-Salman, A.; Alsaleh, M.; Alnafessah, A.; Al-Hadhrami, S.; Al-Ammar, M.; Al-Khalifa, H. Ultra Wideband Indoor Positioning Technologies: Analysis and Recent Advances. Sensors 2016, 16, 707. [Google Scholar] [CrossRef]
- Pino-Ortega, J.; Bastida Castillo, A.; Gómez Carmona, C.D.; Rico-González, M. Validity and Reliability of an Eight Antennae Ultra-Wideband Local Positioning System to Measure Performance in an Indoor Environment. Sports Biomech. 2020. ahead of print. [Google Scholar] [CrossRef]
- Gómez-Carmona, C.D.; Bastida-Castillo, A.; García-Rubio, J.; Ibáñez, S.J.; Pino-Ortega, J. Static and Dynamic Reliability of WIMU PROTM Accelerometers According to Anatomical Placement. Proc. Inst. Mech. Eng. Part P J. Sports Eng. Technol. 2019, 233, 238–248. [Google Scholar]
- Cohen, J. Chapter 8. The analysis of variance and covariance. In Statistical Power Analysis for the Behavioral Sciences; Routledge Academic: New York, NY, USA, 1988; pp. 273–406. [Google Scholar]
- Malone, J.J.; Lovell, R.; Varley, M.C.; Coutts, A.J. Unpacking the Black Box: Applications and Considerations for Using GPS Devices in Sport. Int. J. Sports Physiol. Perform. 2017, 12, S2-18–S2-26. [Google Scholar] [CrossRef]
- Pino-Ortega, J.; Rojas-Valverde, D.; Gómez-Carmona, C.D.; Rico-González, M. Training Design, Performance Analysis and Talent Identification—A Systematic Review about the Most Relevant Variables through the Principal Component Analysis in Soccer, Basketball and Rugby. Int. J. Environ. Res. Public Health 2021, 18, 2642. [Google Scholar] [CrossRef] [PubMed]
- Buchheit, M.; Simpson, B.M. Player Tracking Technology: Half-Full or Half-Empty Glass? Int. J. Sports Physiol. Perform. 2016, 12 (Suppl. 2), 1–23. [Google Scholar] [CrossRef]
- González-Espinosa, S.; Antúnez, A.; Feu, S.; Ibáñez, S.J. Monitoring the External and Internal Load Under 2 Teaching Methodologies. J. Strength Cond. Res. 2020, 34, 2920–2928. [Google Scholar] [CrossRef]
- Gamero, M.G.; García-Ceberino, J.M.; Ibáñez, S.J.; Feu, S. Influence of the Pedagogical Model and Experience on the Internal and External Task Load in School Basketball. Int. J. Environ. Res. Public Health 2021, 18, 11854. [Google Scholar] [CrossRef]
- García-Ceberino, J.M.; Feu, S.; Antúnez, A.; Ibáñez, S.J. Organization of Students and Total Task Time: External and Internal Load Recorded during Motor Activity. Appl. Sci. 2021, 11, 10940. [Google Scholar] [CrossRef]


| Variables | Players’ Level | Very Low/Standing | Low/Walking | Moderate/Jogging | High/Running | Very High/Sprinting |
|---|---|---|---|---|---|---|
| Speed (km/h) | First Division | <2.14 | 2.14 to 4.93 | 4.94 to 8.71 | 8.72 to 12.55 | 12.56 to 16.54 |
| Second Division | <2.35 | 2.35 to 5.16 | 5.17 to 8.99 | 9.00 to 12.76 | 12.77 to 16.71 | |
| Combinate | <2.31 | 2.31 to 5.33 | 5.34 to 9.32 | 9.33 to 13.12 | 13.13 to 17.08 | |
| Accelerations (m/s2) | First Division | <0.58 | 0.58 to 1.86 | 1.87 to 3.21 | 3.22 to 4.58 | 4.59 to 7.01 |
| Second Division | <0.44 | 0.44 to 1.44 | 1.45 to 2.64 | 2.65 to 3.65 | 3.66 to 4.61 | |
| Combinate | <0.50 | 0.50 to 1.60 | 1.61 to 2.87 | 2.88 to 4.25 | 4.26 to 6.71 | |
| Decelerations (m/s2) | First Division | >−0.62 | −0.62 to −2.00 | −2.01 to −3.42 | −3.43 to −4.86 | −4.87 to −6.51 |
| Second Division | >−0.52 | −0.52 to −1.74 | −1.75 to −3.01 | −3.02 to −4.22 | −4.23 to −5.65 | |
| Combinate | >−0.37 | −0.37 to −1.13 | −1.14 to −2.07 | −2.08 to −3.23 | −3.24 to −4.77 | |
| Impacts (g force) | First Division | <1 | 1 to 1.99 | 2 to 2.99 | 3 to 4.99 | 5 to 8 |
| Second Division | <1 | 1 to 1.99 | 2 to 2.99 | 3 to 4.99 | 5 to 8 | |
| Combinate | <1 | 1 to 2.99 | 3 to 4.99 | 5 to 6.99 | 7 to 10 |
| Variables | Mean Square | gl | F | Sig. | |
|---|---|---|---|---|---|
| Speed (km/h) | First Division | 634,321.87 | 4 | 567,982.49 | <0.001 |
| Second Division | 788,099.98 | 4 | 848,123.12 | <0.001 | |
| Combinate | 2,100,865.21 | 4 | 2,241,568.09 | <0.001 | |
| Accelerations (m/s2) | First Division | 2127.11 | 4 | 15,297.90 | <0.001 |
| Second Division | 1178.55 | 4 | 13,565.70 | <0.001 | |
| Combinate | 3339.22 | 4 | 27,971.25 | <0.001 | |
| Decelerations (m/s2) | First Division | 1885.18 | 4 | 12,038.13 | <0.001 |
| Second Division | 1147.24 | 4 | 10,000.80 | <0.001 | |
| Combinate | 3161.03 | 4 | 35,059.21 | <0.001 | |
| Impacts (g force) | First Division | 14,097.12 | 4 | 164,510.54 | <0.001 |
| Second Division | 10,801.41 | 4 | 135,620.06 | <0.001 | |
| Combinate | 22,701.24 | 4 | 92,375.76 | <0.001 |
| Variables | Intensities | First Division | Second Division | p | Z | d | ||||
|---|---|---|---|---|---|---|---|---|---|---|
| Mdn | Range | Mdn | Range | |||||||
| Lower | Upper | Lower | Upper | |||||||
| Duration (seconds) * | 472.00 | 450.00 | 528.00 | 370.00 | 370.00 | 384.00 | <0.01 | −0.96 | 0.74 | |
| Speed Zones (m) | Total * | 484.50 | 457.00 | 508.70 | 324.50 | 281.80 | 378.60 | <0.01 | −7.67 | 0.82 |
| Standing * | 41.30 | 36.50 | 43.70 | 32.20 | 29.40 | 34.40 | <0.01 | −4.52 | 0.46 | |
| Walking * | 137.00 | 129.30 | 142.30 | 98.00 | 92.50 | 105.60 | <0.01 | −7.25 | 0.78 | |
| Jogging * | 133.40 | 126.40 | 143.20 | 88.20 | 82.60 | 97.40 | <0.01 | −7.92 | 0.86 | |
| Running * | 109.80 | 105.30 | 115.90 | 58.10 | 50.40 | 82.60 | <0.01 | −7.40 | 0.80 | |
| Sprinting * | 60.60 | 56.50 | 64.90 | 44.70 | 39.80 | 58.50 | <0.01 | −2.77 | 0.28 | |
| Accelerations (count) | Total * | 214.00 | 196.00 | 228.00 | 160.00 | 154.00 | 176.00 | <0.01 | −6.57 | 0.69 |
| Very low * | 68.00 | 63.00 | 73.00 | 56.00 | 54.00 | 60.00 | <0.01 | −5.39 | 0.56 | |
| Low * | 94.00 | 88.00 | 102.00 | 68.00 | 64.00 | 75.00 | <0.01 | −6.87 | 0.72 | |
| Moderate * | 40.00 | 38.00 | 43.00 | 26.00 | 25.00 | 29.00 | <0.01 | −7.74 | 0.84 | |
| High * | 9.00 | 8.00 | 10.00 | 7.00 | 6.00 | 9.00 | <0.01 | −3.66 | 0.37 | |
| Very high | 1.00 | 1.00 | 2.00 | 1.00 | 1.00 | 2.00 | 0.51 | −0.67 | 0.07 | |
| Decelerations (count) | Total* | 141.00 | 132.00 | 152.00 | 93.00 | 87.00 | 100.00 | <0.01 | −9.50 | 1.07 |
| Very low * | 40.00 | 38.00 | 43.00 | 31.00 | 28.00 | 37.00 | <0.01 | −5.45 | 0.56 | |
| Low * | 53.00 | 49.00 | 59.00 | 32.00 | 30.00 | 35.00 | <0.01 | −10.09 | 1.16 | |
| Moderate * | 30.00 | 29.00 | 32.00 | 16.00 | 15.00 | 18.00 | <0.01 | −10.57 | 1.24 | |
| High * | 13.00 | 13.00 | 15.00 | 8.00 | 7.00 | 10.00 | <0.01 | −7.14 | 0.77 | |
| Very high | 4.00 | 4.00 | 5.00 | 4.00 | 4.00 | 6.00 | 0.31 | −1.02 | 0.10 | |
| Impacts (count) | Total * | 1076.00 | 1043.00 | 1143.00 | 704.00 | 626.00 | 820.00 | <0.01 | −8.44 | 0.93 |
| Very low * | 438.00 | 420.00 | 463.00 | 300.00 | 257.00 | 328.00 | <0.01 | −8.41 | 0.92 | |
| Low * | 506.00 | 478.00 | 534.00 | 333.00 | 291.00 | 372.00 | <0.01 | −7.88 | 0.85 | |
| Moderate * | 102.00 | 96.00 | 110.00 | 59.00 | 48.00 | 72.00 | <0.01 | −8.45 | 0.93 | |
| High * | 29.00 | 27.00 | 32.00 | 16.00 | 13.00 | 19.00 | <0.01 | −7.14 | 0.77 | |
| Very high * | 7.00 | 7.00 | 8.00 | 3.00 | 3.00 | 5.00 | <0.01 | −6.22 | 0.68 | |
| Variables | Intensities | First Division | Second Division | p | Z | d | ||||
|---|---|---|---|---|---|---|---|---|---|---|
| Mdn | Range | Mdn | Range | |||||||
| Lower | Upper | Lower | Upper | |||||||
| Speed Zones (m/min) | Total | 60.24 | 58.31 | 61.72 | 57.96 | 51.74 | 65.37 | 0.09 | −1.72 | 0.17 |
| Standing | 5.11 | 4.92 | 5.24 | 5.23 | 4.83 | 5.57 | 0.40 | −0.84 | 0.08 | |
| Walking | 17.15 | 16.65 | 17.49 | 17.43 | 16.18 | 18.53 | 0.92 | −0.97 | 0.10 | |
| Jogging * | 16.63 | 15.57 | 17.22 | 15.64 | 14.69 | 16.81 | 0.02 | −2.19 | 0.22 | |
| Running * | 13.89 | 12.99 | 14.40 | 10.76 | 9.38 | 13.19 | <0.01 | −3.75 | 0.38 | |
| Sprinting | 7.28 | 6.49 | 7.95 | 6.98 | 6.00 | 10.18 | 0.89 | −0.14 | 0.01 | |
| Accelerations (count/min) | Total * | 27.44 | 26.84 | 28.10 | 25.56 | 24.78 | 26.67 | 0.01 | −2.53 | 0.26 |
| Very low | 8.55 | 8.36 | 8.85 | 8.89 | 8.50 | 9.33 | 0.12 | −1.56 | 0.15 | |
| Low * | 12.24 | 11.88 | 12.62 | 11.05 | 10.05 | 11.66 | <0.01 | −3.31 | 0.34 | |
| Moderate * | 4.99 | 4.80 | 5.16 | 4.13 | 3.89 | 4.63 | <0.01 | −3.91 | 0.40 | |
| High | 1.16 | 1.08 | 1.22 | 1.09 | 1.00 | 1.25 | 0.92 | −0.10 | 0.01 | |
| Very high | 0.11 | 0.09 | 0.15 | 0.15 | 0.00 | 0.18 | 0.51 | −0.66 | 0.06 | |
| Decelerations (count/min) | Total * | 17.90 | 17.23 | 18.48 | 15.58 | 14.43 | 16.64 | <0.01 | −5.49 | 0.57 |
| Very low | 4.93 | 4.77 | 5.18 | 5.10 | 4.86 | 5.74 | 0.41 | −0.82 | 0.08 | |
| Low * | 6.58 | 6.32 | 6.89 | 5.32 | 4.74 | 5.56 | <0.01 | −7.21 | 0.77 | |
| Moderate * | 3.62 | 3.43 | 3.75 | 2.55 | 2.33 | 2.77 | <0.01 | −7.73 | 0.84 | |
| High * | 1.75 | 1.68 | 1.88 | 1.30 | 1.19 | 1.48 | <0.01 | −4.03 | 0.42 | |
| Very high | 0.53 | 0.46 | 0.58 | 0.64 | 0.61 | 0.74 | 0.07 | −1.82 | 0.18 | |
| Impacts (count/min) | Total * | 134.47 | 129.89 | 138.58 | 120.89 | 113.62 | 138.81 | <0.01 | −2.84 | 0.30 |
| Very low * | 55.17 | 53.14 | 56.89 | 50.00 | 45.19 | 56.30 | 0.01 | −2.68 | 0.27 | |
| Low * | 60.74 | 58.49 | 64.63 | 57.45 | 51.06 | 63.24 | 0.01 | −2.54 | 0.26 | |
| Moderate * | 12.28 | 11.92 | 12.76 | 10.08 | 8.94 | 11.30 | <0.01 | −4.50 | 0.46 | |
| High * | 3.40 | 3.08 | 3.60 | 2.67 | 2.04 | 3.08 | <0.01 | −4.01 | 0.42 | |
| Very high * | 0.76 | 0.68 | 0.88 | 0.47 | 0.37 | 0.63 | <0.01 | −4.18 | 0.43 | |
Publisher’s Note: MDPI stays neutral with regard to jurisdictional claims in published maps and institutional affiliations. |
© 2022 by the authors. Licensee MDPI, Basel, Switzerland. This article is an open access article distributed under the terms and conditions of the Creative Commons Attribution (CC BY) license (https://creativecommons.org/licenses/by/4.0/).
Share and Cite
Ibáñez, S.J.; Gómez-Carmona, C.D.; Mancha-Triguero, D. Individualization of Intensity Thresholds on External Workload Demands in Women’s Basketball by K-Means Clustering: Differences Based on the Competitive Level. Sensors 2022, 22, 324. https://doi.org/10.3390/s22010324
Ibáñez SJ, Gómez-Carmona CD, Mancha-Triguero D. Individualization of Intensity Thresholds on External Workload Demands in Women’s Basketball by K-Means Clustering: Differences Based on the Competitive Level. Sensors. 2022; 22(1):324. https://doi.org/10.3390/s22010324
Chicago/Turabian StyleIbáñez, Sergio J., Carlos D. Gómez-Carmona, and David Mancha-Triguero. 2022. "Individualization of Intensity Thresholds on External Workload Demands in Women’s Basketball by K-Means Clustering: Differences Based on the Competitive Level" Sensors 22, no. 1: 324. https://doi.org/10.3390/s22010324
APA StyleIbáñez, S. J., Gómez-Carmona, C. D., & Mancha-Triguero, D. (2022). Individualization of Intensity Thresholds on External Workload Demands in Women’s Basketball by K-Means Clustering: Differences Based on the Competitive Level. Sensors, 22(1), 324. https://doi.org/10.3390/s22010324

