Agreement between the SHAPES Questionnaire and a Multiple-Sensor Monitor in Assessing Physical Activity of Adolescents Using Categorial Approach: A Cross-Sectional Study
Abstract
1. Introduction
2. Materials and Methods
2.1. Study Participants
2.2. Study Design
2.3. Subjective PA Assessment
2.4. Device-Based PA Measurement
2.5. Data Analysis
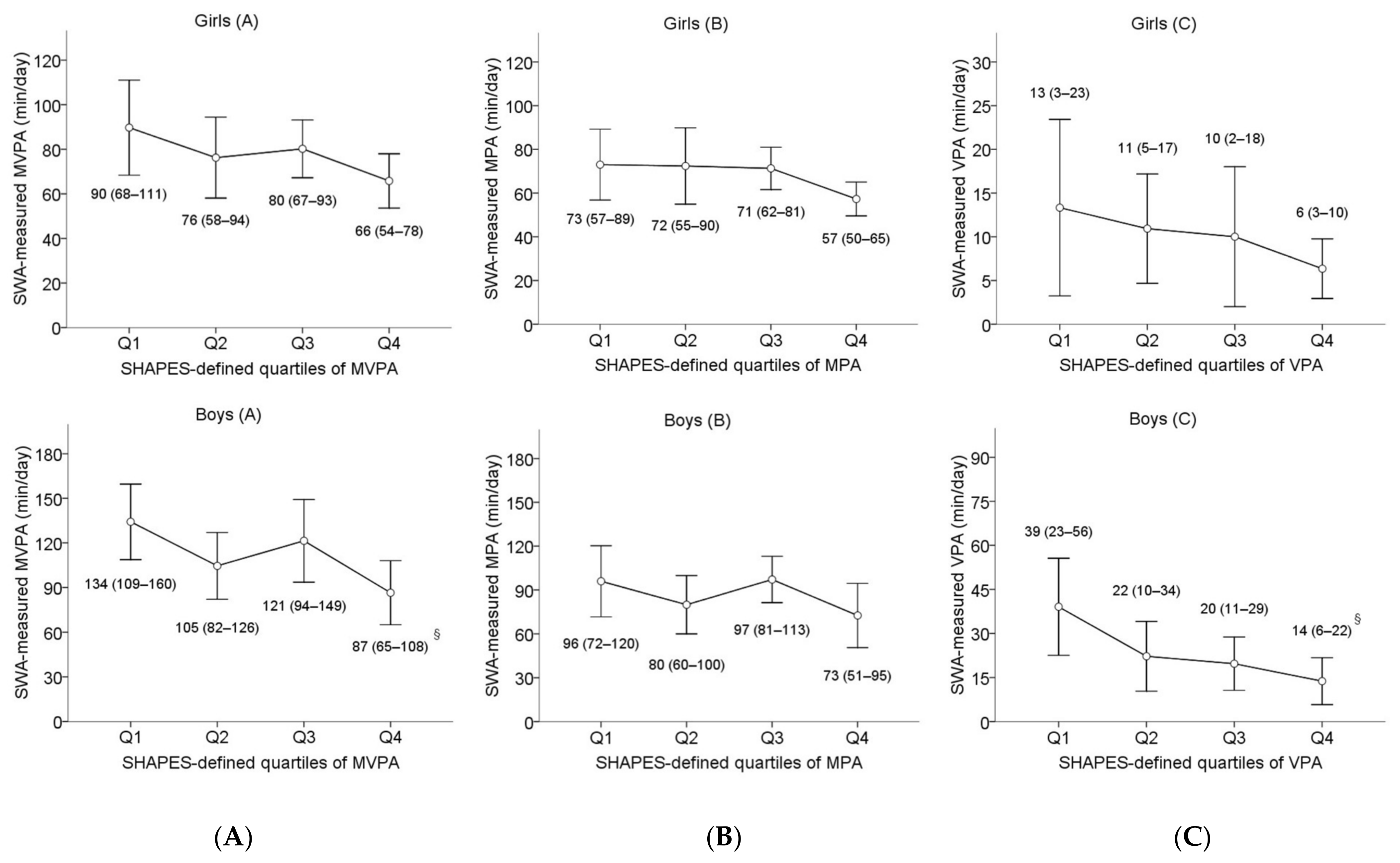
3. Results
4. Discussion
5. Conclusions
Author Contributions
Funding
Institutional Review Board Statement
Informed Consent Statement
Data Availability Statement
Conflicts of Interest
References
- World Health Organization. Available online: https://www.who.int/dietphysicalactivity/pa/en/ (accessed on 9 March 2020).
- Warburton, D.E.R.; Bredin, S.S.D. Health benefits of physical activity: A systematic review of current systematic reviews. Curr. Opin. Cardiol. 2017, 32, 541–556. [Google Scholar] [CrossRef]
- Mikkilä, V.; Räsänen, L.; Raitakari, O.T.; Pietinen, P.; Viikari, J. Longitudinal changes in diet from childhood into adulthood with respect to risk of cardiovascular diseases: The cardiovascular risk in young Finns study. Eur. J. Clin. Nutr. 2004, 58, 1038–1045. [Google Scholar] [CrossRef]
- Ness, A.R.; Maynard, M.; Frankel, S.; Smith, G.D.; Frobisher, C.; Leary, S.D.; Emmett, P.M.; Gunnell, D. Diet in childhood and adult cardiovascular and all cause mortality: The Boyd Orr cohort. Heart 2005, 91, 894–898. [Google Scholar] [CrossRef]
- Dumith, S.C.; Gigante, D.P.; Domingues, M.R.; Domingues, M.R.; Kohl, H.W., 3rd. Physical activity change during adolescence: A systematic review and a pooled analysis. Int. J. Epidemiol. 2011, 40, 685–698. [Google Scholar] [CrossRef]
- Sigmund, E.; Badura, P.; Sigmundová, D.; Voráčová, J.; Zacpal, J.; Kalman, M.; Pavelka, J.; Vokacová, J.; Hobza, V., Jr.; Hamrik, Z. Trends and correlates of overweight/obesity in Czech adolescents in relation to family socioeconomic status over a 12-year study period (2002–2014). BMC Public Health 2018, 18, 122. [Google Scholar] [CrossRef] [PubMed]
- Evenson, K.R.; Goto, M.M.; Furberg, R.D. Systematic review of the validity and reliability of consumer-wearable activity trackers. Int. J. Behav. Nutr. Phys. Acta 2015, 12, 159. [Google Scholar] [CrossRef]
- McClain, J.J.; Tudor-Locke, C. Objective monitoring of physical activity in children: Considerations for instrument selection. J. Sci. Med. Sport 2009, 12, 526–533. [Google Scholar] [CrossRef] [PubMed]
- Ridgers, N.D.; McNarry, M.A.; Mackintosh, K.A. Feasibility and effectiveness of using wearable activity trackers in youth: A Systematic Review. JMIR mHealth uHealth 2016, 4, e129. [Google Scholar] [CrossRef] [PubMed]
- Bort-Roig, J.; Gilson, N.D.; Puig-Ribera, A.; Contreras, R.S.; Trost, S.G. Measuring and influencing physical activity with smartphone technology: A systematic review. Sports Med. 2014, 44, 671–686. [Google Scholar] [CrossRef] [PubMed]
- Hansen, B.H.; Ekelund, U. Assessment of physical activity. In Public Health Nutrition, 2nd ed.; Buttriss, J.L., Welch, A.A., Kearney, J.M., Lanham-New, S.A., Eds.; Wiley-Blackwell: Hoboken, NJ, USA, 2017; pp. 56–70. [Google Scholar]
- Ekelund, U.; Tomkinson, G.R.; Armstrong, N. What proportion of youth are physically active? Measurement issues, levels and recent time trends. Br. J. Sports Med. 2011, 45, 859–865. [Google Scholar] [CrossRef]
- Monyeki, M.; Moss, S.; Kemper, H.; Twisk, J.W.R. Self-reported physical activity is not a valid method for measuring physical activity in 15-year-old South African boys and girls. Children 2018, 5, 71. [Google Scholar] [CrossRef]
- Adamo, K.B.; Prince, S.A.; Tricco, A.C.; Connor-Gorber, S.; Tremblay, M. A comparison of indirect versus direct measures for assessing physical activity in the pediatric population: A systematic review. Int. J. Pediatr. Obes. 2009, 4, 2–27. [Google Scholar] [CrossRef] [PubMed]
- Van Poppel, M.N.M.; Chinapaw, M.J.M.; Mokkink, L.B.; van Mechelen, W.; Terwee, C.B. Physical activity questionnaires for adults a systematic review of measurement properties. Sports Med. 2010, 40, 565–600. [Google Scholar] [CrossRef] [PubMed]
- Tarwee, C.B.; Mokkink, L.B.; van Poppel, M.N.M.; Chinapaw, M.J.; van Mechelen, W.; de Vet, H.C. Qualitative attributes and measurement properties of physical activity questionnaires: A checklist. Sports Med. 2010, 40, 525–537. [Google Scholar] [CrossRef]
- Helmerhorst, H.J.F.; Brage, S.; Warren, J.; Besson, H.; Ekelund, U. A systematic review of reliability and objective criterion-related validity of physical activity questionnaires. Int. J. Behav. Nutr. Phys. Acta 2012, 9, 103. [Google Scholar] [CrossRef] [PubMed]
- Ridgers, N.D.; Timperio, A.; Crawford, D.; Salmon, J. Validity of a brief self-report instrument for assessing compliance with physical activity guidelines amongst adolescents. J. Sci. Med. Sport 2012, 15, 136–141. [Google Scholar] [CrossRef]
- Dumith, S.C.; Muniz, L.C.; Tassitano, R.M.; Hallal, P.C.; Menezes, A.M. Clustering of risk factors for chronic diseases among adolescents from Southern Brazil. Prev. Med. 2012, 54, 393–396. [Google Scholar] [CrossRef]
- Matthews, C.E.; Shu, X.O.; Yang, G.; Jin, F.; Ainsworth, B.E.; Liu, D.; Gao, Y.T.; Zheng, W. Reproducibility and validity of the Shanghai Women’s Health Study Physical Activity Questionnaire. Am. J. Epidemiol. 2003, 158, 1114–1122. [Google Scholar] [CrossRef]
- Lee, P.H.; Macfarlane, D.J.; Lam, T.H.; Stewart, S.M. Validity of the international physical activity questionnaire short form (IPAQ-SF): A systematic review. Int. J. Behav. Nutr. Phys. Acta 2011, 8, 115. [Google Scholar] [CrossRef] [PubMed]
- Mark, A.E.; Janssen, I. Dose-response relation between physical activity and blood pressure in youth. Med. Sci. Sports Exerc. 2008, 40, 1007–1012. [Google Scholar] [CrossRef]
- LeBlanc, A.G.; Janssen, I. Dose-response relationship between physical activity and dyslipidemia in youth. Can. J. Cardiol. 2010, 26, 201–205. [Google Scholar] [CrossRef]
- Galán, I.; Boix, R.; Medrano, M.J.; Ramos, P.; Rivera, F.; Pastor-Barriuso, R.; Moreno, C. Physical activity and self-reported health status among adolescents: A cross-sectional population-based study. BMJ Open 2013, 3, e002644. [Google Scholar] [CrossRef]
- Štefan, L.; Sorić, M.; Devrnja, A.; Podnar, H.; Mišigoj-Duraković, M. Is school type associated with objectively measured physical activity in 15-year-olds? Int. J. Environ. Res. Public Health 2017, 14, 1417. [Google Scholar] [CrossRef]
- Štefan, L.; Sorić, M.; Devrnja, A.; Petrić, V.; Mišigoj-Duraković, M. One-year changes in physical activity and sedentary behavior among adolescents: The Croatian Physical Activity in Adolescence Longitudinal Study (CRO-PALS). Int. J. Adolesc. Med. Health 2018, 32, 223. [Google Scholar] [CrossRef]
- Wong, S.L.; Leatherdale, S.T.; Manske, S. Reliability and validity of a school-based physical activity questionnaire. Med. Sci. Sports Exerc. 2006, 38, 1593–1600. [Google Scholar] [CrossRef] [PubMed]
- Troiano, R.P.; Berrigan, D.; Dodd, K.W.; Mâsse, L.C.; Tilert, T.; McDowell, M. Physical activity in the United States measured by accelerometer. Med. Sci. Sports Exerc. 2008, 40, 181–188. [Google Scholar] [CrossRef]
- Corder, K.; Ekelund, U.; Steele, R.M.; Wareham, N.J.; Brage, S. Assessment of physical activity in youth. J. Appl. Physiol. 2008, 105, 977–987. [Google Scholar] [CrossRef] [PubMed]
- Stewart, M. Estimation of Physical Activity Using Accelerometry in Adult Populations: Using the Sensewear Armband and the ACT24 as Comparison Tools for the Estimation of Energy Expenditure and Physical Activity Intensity by the Sojourn Method. Master’s Thesis, Iowa State University, Ames, IO, USA, 2018. [Google Scholar]
- O’Driscoll, R.; Turicchi, J.; Beaulieu, K.; Scott, S.; Matu, J.; Deighton, K.; Finlayson, G.; Stubbs, J. How well do activity monitors estimate energy expenditure? A systematic review and meta-analysis of the validity of current technologies. Br. J. Sports Med. 2020, 54, 332–340. [Google Scholar] [CrossRef] [PubMed]
- Trost, S.G.; Pate, R.R.; Freedson, P.S.; Sallis, J.F.; Taylor, W.C. Using objective physical activity measures with youth: How many days of monitoring are needed? Med. Sci. Sports Exerc. 2000, 32, 426–431. [Google Scholar] [CrossRef]
- Ridley, K.; Ainsworth, B.E.; Olds, T.S. Development of a Compendium of Energy Expenditures for youth. Int. J. Behav. Nutr. Phys. Acta 2008, 5, 45. [Google Scholar] [CrossRef] [PubMed]
- Calabró, M.A.; Stewart, J.M.; Welk, G.J. Validation of pattern-recognition monitors in children using doubly labeled water. Med. Sci. Sports Exerc. 2013, 45, 1313–1322. [Google Scholar] [CrossRef]
- Lopez, G.; Brønd, J.C.; Andersen, L.B.; Dencker, M.; Arvidsson, D. Validation of SenseWear armband in children, adolescents, and adults. Scand. J. Med. Sci. Sports 2017, 28, 487–495. [Google Scholar] [CrossRef]
- Lee, J.M.; Kim, Y.; Bai, Y.; Gaesser, G.A.; Welk, G.J. Validation of the SenseWear mini armband in children during semi-structure activity settings. J. Sci. Med. Sport 2016, 19, 41–45. [Google Scholar] [CrossRef] [PubMed]
- Van Loo, C.M.; Okely, A.D.; Batterham, M.J.; Hinkley, T.; Ekelund, U.; Brage, S.; Reilly, J.J.; Peoples, G.E.; Jones, R.A.; Janssen, X.; et al. Validation of the SenseWear mini activity monitor in 5–12-year-old children. J. Sci. Med. Sport 2017, 20, 55–59. [Google Scholar] [CrossRef]
- Health Canada; Canadian Society for Exercise Physiology. Canada’s Physical Activity Guide for Youth; Minister of Public Works and Government Services: Ottawa, QC, Canada, 2002.
- Janssen, I.; LeBlanc, A.G. Systematic review of the health benefits of physical activity and fitness in school-aged children and youth. Int. J. Behav. Nutr. Phys. Acta 2010, 7, 40. [Google Scholar] [CrossRef] [PubMed]
- Garcia-Granero, M. Two Proportions Test (Related)—SPSS. Available online: http://how2stats.blogspot.com.au/2011/09/two-proportions-testrelated-spss.html (accessed on 1 February 2021).
- Newcombe, R.G. Interval estimation for the difference between independent proportions: Comparison of eleven methods. Stat. Med. 1998, 17, 873–890. [Google Scholar] [CrossRef]
- Landis, J.R.; Koch, G.G. The measurement of observer agreement for categorical data. Biometrics 1977, 33, 159–174. [Google Scholar] [CrossRef] [PubMed]
- Faul, F.; Erdfelder, E.; Lang, A.G.; Buchner, A. G*Power 3: A flexible statistical power analysis program for the social, behavioral, and biomedical sciences. Behav. Res. Methods 2007, 39, 175–191. [Google Scholar] [CrossRef]
- Arifin, W.N. A web-based sample size calculator for reliability studies. Educ. Med. J. 2018, 10, 67–76. [Google Scholar] [CrossRef]
- Cohen, J. Statistical Power Analysis for the Behavioral Sciences; Lawrence Erlbaum Associates: Hillsdale, NJ, USA, 1988. [Google Scholar]
- Ekelund, U.; Luan, J.; Sherar, L.B.; Esliger, D.W.; Griew, P.; Cooper, A.; International Children’s Accelerometry Database (ICAD) Collaborators. Moderate to vigorous physical activity and sedentary time and cardiometabolic risk factors in children and adolescents. JAMA 2012, 307, 704–712. [Google Scholar] [CrossRef] [PubMed]
- World Health Organization. Global Status Report on Noncommunicable Diseases. Available online: https://www.who.int/nmh/publications/ncd-status-report-2014/en/ (accessed on 22 November 2019).
- Ferreira de Moraes, A.C.; Guerra, P.H.; Menezes, P.R. The worldwide prevalence of insufficient physical activity in adolescents; a systematic review. Nutr. Hosp. 2013, 28, 575–584. [Google Scholar] [CrossRef]
- Radman, I.; Sorić, M.; Mišigoj-Duraković, M. Prevalence of key modifiable cardiovascular risk factors among urban adolescents: The CRO-PALS study. Int. J. Environ. Res. Public Health 2020, 17, 3162. [Google Scholar] [CrossRef] [PubMed]
- Sallis, J.F.; Saelens, B.E. Assessment of physical activity by self-report: Status, limitations, and future directions. Res. Q. Exerc. Sport 2000, 71, 1–14. [Google Scholar] [CrossRef] [PubMed]
- Chinapaw, M.J.; Mokkink, L.B.; van Poppel, M.N.; van Mechelen, W.; Terwee, C.B. Physical activity questionnaires for youth: A systematic review of measurement properties. Sports Med. 2010, 40, 539–563. [Google Scholar] [CrossRef] [PubMed]
- Silsbury, Z.; Goldsmith, R.; Rushton, A. Systematic review of the measurement properties of self-report physical activity questionnaires in healthy adult populations. BMJ Open 2015, 5, 1–10. [Google Scholar] [CrossRef]
- Craig, C.L.; Marshall, A.L.; Sjöström, M.; Bauman, A.E.; Booth, M.L.; Ainsworth, B.E.; Pratt, M.; Ekelund, U.; Yngve, A.; Sallis, J.F.; et al. International physical activity questionnaire: 12-Country reliability and validity. Med. Sci. Sports Exerc. 2003, 35, 1381–1395. [Google Scholar] [CrossRef]
- Booth, M.L.; Okely, A.D.; Chey, T.; Bauman, A. The reliability and validity of the adolescent physical activity recall questionnaire. Med. Sci. Sports Exerc. 2002, 34, 1986–1995. [Google Scholar] [CrossRef]
- McMurray, R.G.; Ward, D.S.; Elder, J.P.; Lytle, L.A.; Strikmiller, P.K.; Baggett, C.D.; Young, D.R. Do overweight girls overreport physical activity? Am. J. Health Behav. 2008, 32, 538–546. [Google Scholar] [CrossRef]
- Manios, Y.; Androutsos, O.; Moschonis, G.; Birbilis, M.; Maragkopoulou, K.; Giannopoulou, A.; Argyri, E.; Kourlaba, G. Criterion validity of the Physical Activity Questionnaire for Schoolchildren (PAQ-S) in assessing physical activity levels: The Healthy Growth Study. J. Sports Med. Phys. Fit. 2013, 53, 502–508. [Google Scholar]
- Bernsten, S.; Hageberg, R.; Aandstad, A.; Mowinckel, P.; Anderssen, S.A.; Carlsen, K.H.; Andersen, L.B. Validity of physical activity monitors in adults participating in free-living activities. Br. J. Sports Med. 2010, 44, 657–664. [Google Scholar] [CrossRef]
- Lee, J.A.; Laurson, K.R. Validity of the SenseWear armband step count measure during controlled and free-living conditions. J. Exerc. Sci. Fit. 2015, 13, 16–23. [Google Scholar] [CrossRef] [PubMed]
- Bhammar, D.M.; Sawyer, B.J.; Tucker, W.J.; Lee, J.M.; Gaesser, G.A. Validity of SenseWear® armband v5.2 and v2.2 for estimating energy expenditure. J. Sports Sci. 2016, 34, 1830–1838. [Google Scholar] [CrossRef] [PubMed]
- Mišigoj-Duraković, M.; Radman, I.; Sorić, M. Agreement between PA-questionnaire and multiple sensor monitor in categorising physical activity in male adolescents. In Book of Abstracts of the Congress Healthy and Active Children Meeting, Proceedings of the Congress Healthy and Active Children Meeting, Verona, Italy, 11–14 September 2019; Fumagalli, G., Ed.; International Association for Physical Education in Higher Education (AIESEP): Cork, Ireland, 2019; p. 1. [Google Scholar]

| Boys (n = 61) | Girls (n = 89) | p | |
|---|---|---|---|
| Age (yrs) | 15.6 ± 0.4 | 15.6 ± 0.3 | 0.921 |
| BMI (kg/m2) | 20.9 ± 3.0 | 20.9 ± 2.8 | 0.991 |
| S4SF (mm) | 33.5 ± 13.1 | 47.5 ± 13.8 | 0.000 |
| SHAPES questionnaire | |||
| MVPA (min/day) | 140.1 ± 78.2 ** | 118.7 ± 72.1 ** | 0.092 |
| MPA (min/day) | 67.7 ± 51.8 ** | 65.4 ± 51.2 | 0.792 |
| VPA (min/day) | 72.4 ± 40.4 ** | 53.3 ± 41.2 ** | 0.005 |
| Meeting PA recommendations (%) | 88.5 | 80.9 * | 0.212 |
| SWA device | |||
| MVPA (min/day) | 111.9 ± 46.6 | 77.8 ± 36.6 | 0.000 |
| MPA (min/day) | 87.3 ± 37.9 | 68.5 ± 29.4 | 0.001 |
| VPA (min/day) | 23.6 ± 22.8 | 10.1 ± 16.6 | 0.000 |
| Meeting PA recommendations (%) | 86.7 | 66.7 | 0.006 |
| Boys | Girls | |||
|---|---|---|---|---|
| ρ | p | ρ | p | |
| MVPA (min/day) | 0.323 | 0.012 | 0.126 | 0.247 |
| MPA (min/day) | 0.136 | 0.296 | 0.149 | 0.164 |
| VPA (min/day) | 0.396 | 0.002 | 0.125 | 0.243 |
| Specificity (%) | Sensitivity (%) | Agreement (%) | κ | p | |
|---|---|---|---|---|---|
| Boys | |||||
| Sufficient activity (60 min MVPA/day) | 92.3 | 37.5 | 85.0 | 0.315 | 0.014 |
| Low activity (4th quartile of MVPA) | 40.0 | 82.2 | 71.7 | 0.227 | 0.078 |
| High activity (1st quartile of MVPA) | 40.0 | 80.0 | 70.0 | 0.200 | 0.121 |
| Girls | |||||
| Sufficient activity (60 min MVPA/day) | 81.0 | 20.7 | 60.9 | 0.019 | 0.848 |
| Low activity (4th quartile of MVPA) | 31.8 | 76.9 | 65.5 | 0.087 | 0.415 |
| High activity (1st quartile of MVPA) | 28.6 | 78.8 | 66.7 | 0.075 | 0.485 |
| Specificity (%) | Agreement (%) | κ | p | ||||
|---|---|---|---|---|---|---|---|
| Q1 | Q2 | Q3 | Q4 | ||||
| Boys | 40.0 | 20.0 | 6.7 | 40.0 | 26.7 | 0.022 | 0.766 |
| MVPA quartiles | 13.2 | 20.0 | 37.5 | 46.7 | 29.5 | 0.059 | 0.427 |
| MPA quartiles | 46.7 | 20.0 | 31.3 | 33.3 | 32.8 | 0.103 | 0.163 |
| VPA quartiles | |||||||
| Girls | 28.6 | 22.7 | 27.3 | 31.8 | 27.6 | 0.034 | 0.581 |
| MVPA quartiles | 27.3 | 22.7 | 26.1 | 22.7 | 24.7 | −0.004 | 0.943 |
| MPA quartiles | 27.3 | 27.3 | 26.1 | 31.8 | 21.3 | 0.041 | 0.502 |
| VPA quartiles | 40.0 | 20.0 | 6.7 | 40.0 | 26.7 | 0.022 | 0.766 |
Publisher’s Note: MDPI stays neutral with regard to jurisdictional claims in published maps and institutional affiliations. |
© 2021 by the authors. Licensee MDPI, Basel, Switzerland. This article is an open access article distributed under the terms and conditions of the Creative Commons Attribution (CC BY) license (http://creativecommons.org/licenses/by/4.0/).
Share and Cite
Radman, I.; Sorić, M.; Mišigoj-Duraković, M. Agreement between the SHAPES Questionnaire and a Multiple-Sensor Monitor in Assessing Physical Activity of Adolescents Using Categorial Approach: A Cross-Sectional Study. Sensors 2021, 21, 1986. https://doi.org/10.3390/s21061986
Radman I, Sorić M, Mišigoj-Duraković M. Agreement between the SHAPES Questionnaire and a Multiple-Sensor Monitor in Assessing Physical Activity of Adolescents Using Categorial Approach: A Cross-Sectional Study. Sensors. 2021; 21(6):1986. https://doi.org/10.3390/s21061986
Chicago/Turabian StyleRadman, Ivan, Maroje Sorić, and Marjeta Mišigoj-Duraković. 2021. "Agreement between the SHAPES Questionnaire and a Multiple-Sensor Monitor in Assessing Physical Activity of Adolescents Using Categorial Approach: A Cross-Sectional Study" Sensors 21, no. 6: 1986. https://doi.org/10.3390/s21061986
APA StyleRadman, I., Sorić, M., & Mišigoj-Duraković, M. (2021). Agreement between the SHAPES Questionnaire and a Multiple-Sensor Monitor in Assessing Physical Activity of Adolescents Using Categorial Approach: A Cross-Sectional Study. Sensors, 21(6), 1986. https://doi.org/10.3390/s21061986

