Towards Non-Invasive Diagnosis of Skin Cancer: Sensing Depth Investigation of Open-Ended Coaxial Probes †
Abstract
Simple Summary
Abstract
1. Introduction
- define the sensing depth of the probe for skin tissue by utilizing skin mimicking materials,
- establish a simple measurement protocol to quantify the sensing depth of open-ended coaxial probes.
2. Materials and Methods
2.1. Experiment Setup
2.2. Sample Configuration
2.3. Measurement Protocol for Sensing Depth Characterization
- Figure 4 Step 1:
- –
- The probe was placed in a fixed position and the same position was maintained throughout the measurement procedure in order to reduce the error due to cable movement.
- –
- The first layer was placed on the adjustable stand platform and slowly lifted towards the probe tip.
- –
- When the first layer’s surface reached the probe tip, the caliper reading was recorded as the reference distance value for the second layer.
- Figure 4 Step 2:
- –
- The adjustable stand was lowered in order to add the second layer.
- –
- Without changing the position of the sample, the liquid second layer was added using a Pasteur pipette.
- –
- Similar to step 1, when the top surface of the liquid second layer reached the tip of the probe, the value displayed on the caliper was recorded as the second reference distance value. Note that the difference between the two reference points gives the thickness of the second layer and the measurement step size was determined accordingly. The knowledge of the first reference point eliminates the changes in measured distance due to probe pressure to gel-like the first layer. This simple approach prevents a potential misleading sensing depth measurement.
- Figure 4 step 3:
- –
- The first dielectric property measurement was taken when the probe tip was touching the top surface of the second layer; that is, the second reference point.
- –
- Next, the double-layered sample was gradually lifted with the adjustable stand allowing the probe to immerse into the second liquid layer. The dielectric property measurement was collected for each probe position at different depths in the liquid second layer.
- –
- Experiments were finalized when the probe tip reached the top surface of the first layer; that is, the first reference point.
2.4. Simulation Configuration for Sensing Depth Characterization
2.5. Sensing Depth Determination
3. Results
3.1. Simulation Results
3.1.1. Electric Field Distribution
3.1.2. In-House Algorithm Validation
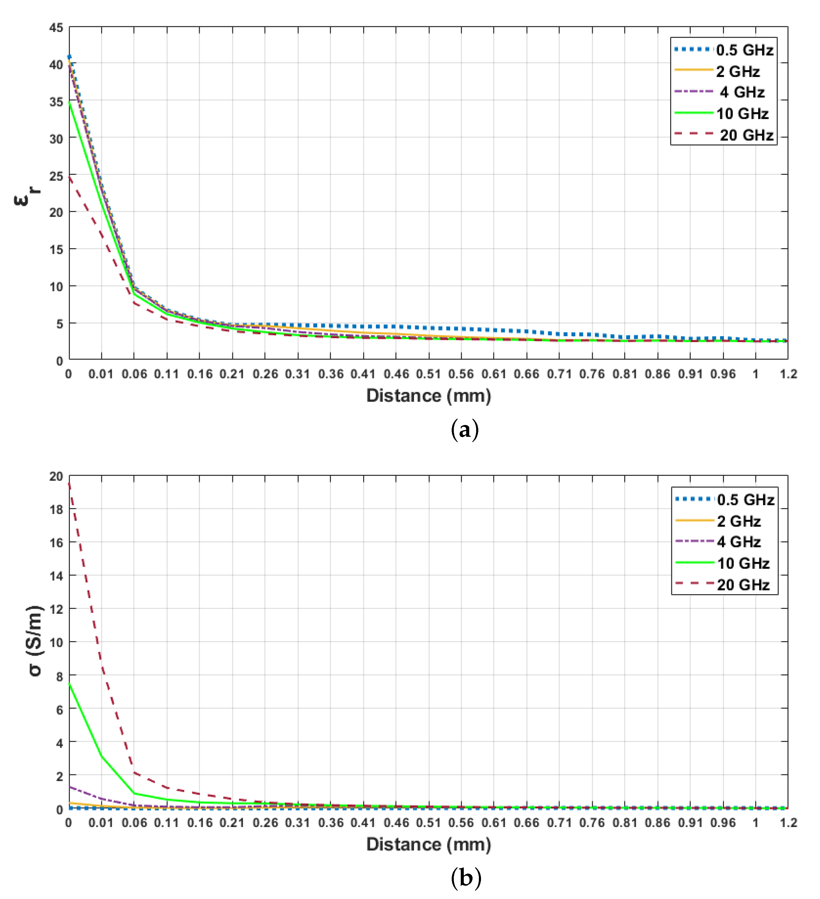
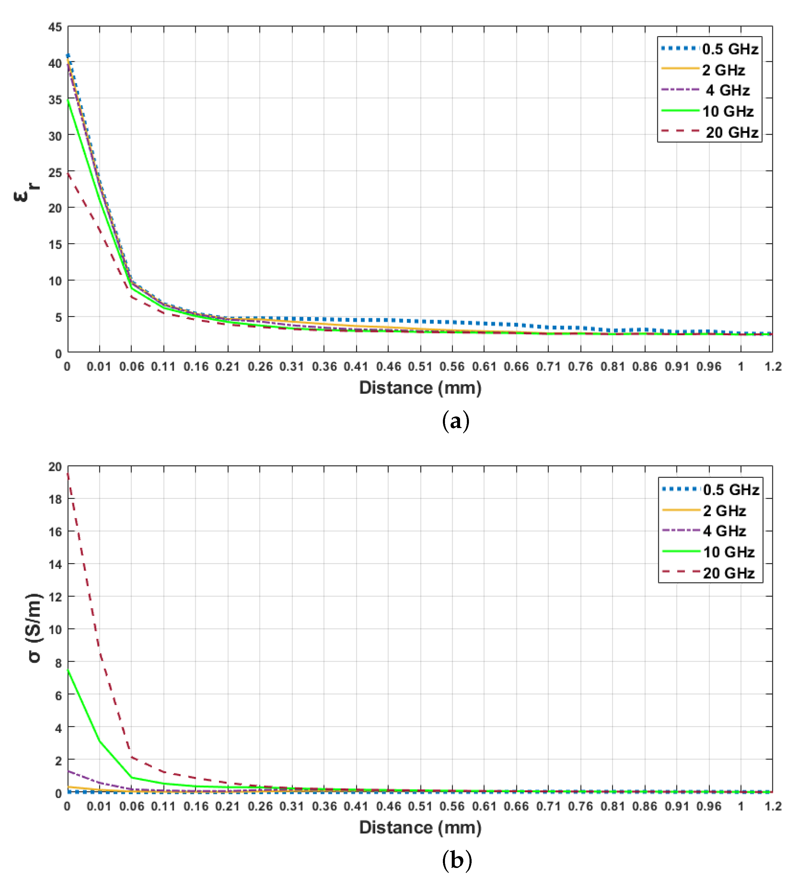
3.1.3. Sensing Depth Analysis: Simulation Results
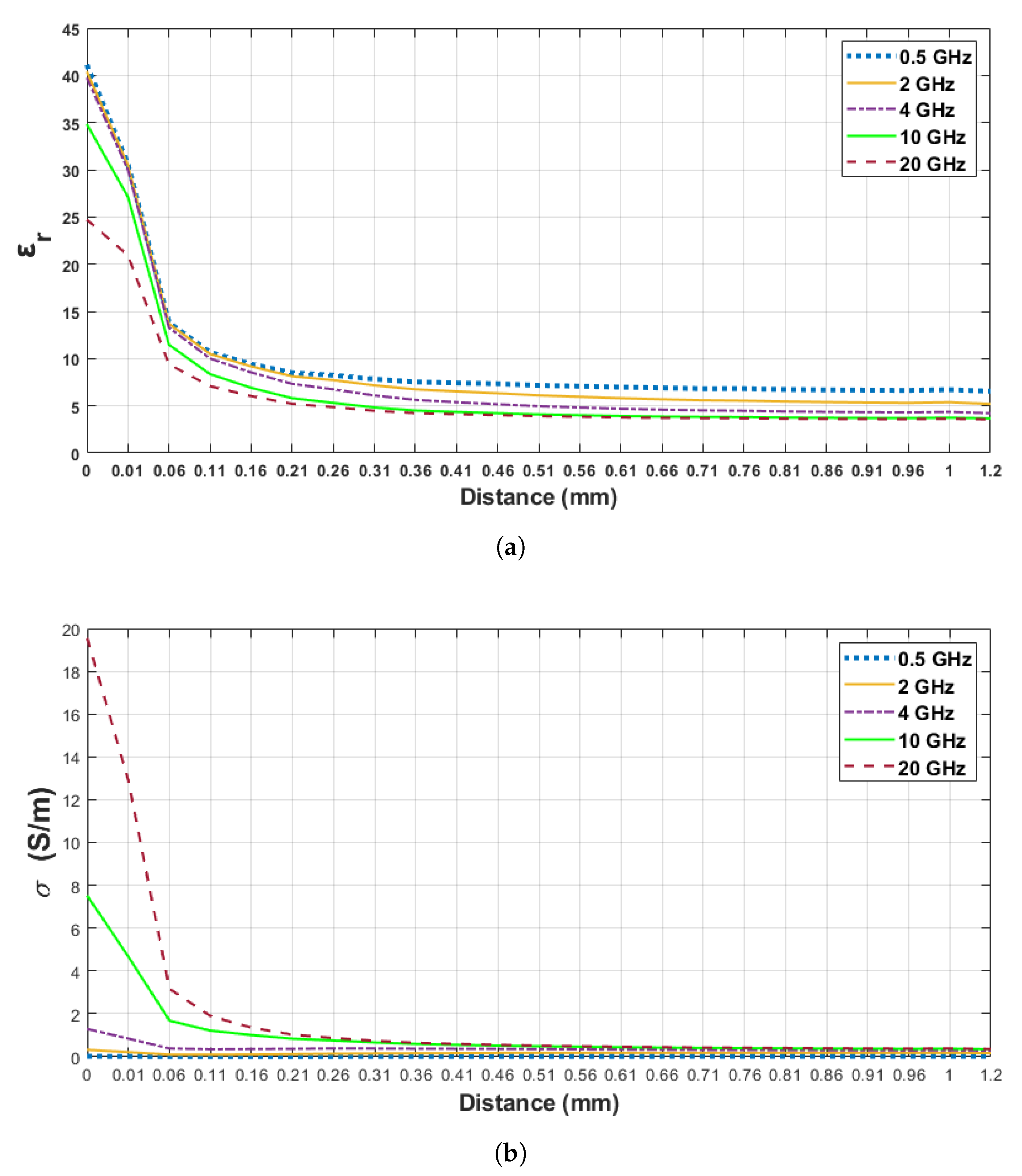
3.1.4. Sensing Depth Analysis: Experiment Results
4. Discussion
5. Conclusions
Author Contributions
Funding
Acknowledgments
Conflicts of Interest
References
- England, T.; Sharples, N. Dielectric properties of the human body in the microwave region of the spectrum. Nature 1949, 163, 487–488. [Google Scholar] [CrossRef] [PubMed]
- Cook, H. The dielectric behaviour of some types of human tissues at microwave frequencies. Br. J. Appl. Phys. 1951, 2, 295. [Google Scholar] [CrossRef]
- Schwan, H.P. Electrical properties of tissue and cell suspensions. In Advances in Biological and Medical Physics; Elsevier: New York, NY, USA, 1957; Volume 5, pp. 147–209. [Google Scholar]
- Foster, K.; Schepps, J.; Stoy, R.; Schwan, H.P. Dielectric properties of brain tissue between 0.01 and 10 GHz. Phys. Med. Biol. 1979, 24, 1177. [Google Scholar] [CrossRef] [PubMed]
- Misra, D.; Chabbra, M.; Epstein, B.R.; Microtznik, M.; Foster, K.R. Noninvasive electrical characterization of materials at microwave frequencies using an open-ended coaxial line: Test of an improved calibration technique. IEEE Trans. Microw. Theory Tech. 1990, 38, 8–14. [Google Scholar] [CrossRef]
- Kraszewski, A.; Stuchly, M.A.; Stuchly, S.S.; Smith, A.M. In vivo and in vitro dielectric properties of animal tissues at radio frequencies. Bioelectromagnetics 1982, 3, 421–432. [Google Scholar] [CrossRef]
- Gabriel, S.; Lau, R.; Gabriel, C. The dielectric properties of biological tissues: II. Measurements in the frequency range 10 Hz to 20 GHz. Phys. Med. Biol. 1996, 41, 2251. [Google Scholar] [CrossRef]
- Grove, T.; Masters, M.; Miers, R. Determining dielectric constants using a parallel plate capacitor. Am. J. Phys. 2005, 73, 52–56. [Google Scholar] [CrossRef]
- Karacolak, T.; Cooper, R.; Unlu, E.S.; Topsakal, E. Dielectric properties of porcine skin tissue and in vivo testing of implantable antennas using pigs as model animals. IEEE Antennas Wirel. Propag. Lett. 2012, 11, 1686–1689. [Google Scholar] [CrossRef]
- Athey, T.W.; Stuchly, M.A.; Stuchly, S.S. Measurement of radio frequency permittivity of biological tissues with an open-ended coaxial line: Part I. IEEE Trans. Microw. Theory Tech. 1982, 30, 82–86. [Google Scholar] [CrossRef]
- Yilmaz, T.; Ates Alkan, F. In vivo dielectric properties of healthy and benign rat mammary tissues from 500 MHz to 18 GHz. Sensors 2020, 20, 2214. [Google Scholar] [CrossRef]
- Lazebnik, M.; Popovic, D.; McCartney, L.; Watkins, C.B.; Lindstrom, M.J.; Harter, J.; Sewall, S.; Ogilvie, T.; Magliocco, A.; Breslin, T.M.; et al. A large-scale study of the ultrawideband microwave dielectric properties of normal, benign and malignant breast tissues obtained from cancer surgeries. Phys. Med. Biol. 2007, 52, 6093. [Google Scholar] [CrossRef] [PubMed]
- Martellosio, A.; Pasian, M.; Bozzi, M.; Perregrini, L.; Mazzanti, A.; Svelto, F.; Summers, P.E.; Renne, G.; Preda, L.; Bellomi, M. Dielectric properties characterization from 0.5 to 50 GHz of breast cancer tissues. IEEE Trans. Microw. Theory Tech. 2016, 65, 998–1011. [Google Scholar] [CrossRef]
- Lazebnik, M.; McCartney, L.; Popovic, D.; Watkins, C.B.; Lindstrom, M.J.; Harter, J.; Sewall, S.; Magliocco, A.; Booske, J.H.; Okoniewski, M.; et al. A large-scale study of the ultrawideband microwave dielectric properties of normal breast tissue obtained from reduction surgeries. Phys. Med. Biol. 2007, 52, 2637. [Google Scholar] [CrossRef] [PubMed]
- Yilmaz, T.; Kılıç, M.A.; Erdoğan, M.; Çayören, M.; Tunaoğlu, D.; Kurtoğlu, İ.; Yaslan, Y.; Çayören, H.; Arıkan, A.E.; Teksöz, S.; et al. Machine learning aided diagnosis of hepatic malignancies through in vivo dielectric measurements with microwaves. Phys. Med. Biol. 2016, 61, 5089. [Google Scholar] [CrossRef]
- Yilmaz, T. Multiclass Classification of Hepatic Anomalies with Dielectric Properties: From Phantom Materials to Rat Hepatic Tissues. Sensors 2020, 20, 530. [Google Scholar] [CrossRef]
- La Gioia, A.; Porter, E.; Merunka, I.; Shahzad, A.; Salahuddin, S.; Jones, M.; O’Halloran, M. Open-ended coaxial probe technique for dielectric measurement of biological tissues: Challenges and common practices. Diagnostics 2018, 8, 40. [Google Scholar] [CrossRef]
- Meaney, P.M.; Gregory, A.P.; Seppälä, J.; Lahtinen, T. Open-ended coaxial dielectric probe effective penetration depth determination. IEEE Trans. Microw. Theory Tech. 2016, 64, 915–923. [Google Scholar] [CrossRef]
- Hagl, D.M.; Popovic, D.; Hagness, S.C.; Booske, J.H.; Okoniewski, M. Sensing volume of open-ended coaxial probes for dielectric characterization of breast tissue at microwave frequencies. IEEE Trans. Microw. Theory Tech. 2003, 51, 1194–1206. [Google Scholar] [CrossRef]
- Meaney, P.M.; Gregory, A.P.; Epstein, N.R.; Paulsen, K.D. Microwave open-ended coaxial dielectric probe: Interpretation of the sensing volume re-visited. BMC Med Phys. 2014, 14, 3. [Google Scholar] [CrossRef]
- Porter, E.; O’Halloran, M. Investigation of histology region in dielectric measurements of heterogeneous tissues. IEEE Trans. Antennas Propag. 2017, 65, 5541–5552. [Google Scholar] [CrossRef]
- La Gioia, A.; O’Halloran, M.; Elahi, A.; Porter, E. Investigation of histology radius for dielectric characterisation of heterogeneous materials. IEEE Trans. Dielectr. Electr. Insul. 2018, 25, 1064–1079. [Google Scholar] [CrossRef]
- Aydınalp, C.; Joof, S.; Yilmaz, T. Sensing depth analysis of open-ended coaxial probe for skin cancer detection. In Proceedings of the 2019 23rd International Conference on Applied Electromagnetics and Communications (ICECOM), Dubrovnik, Croatia, 30 September–2 October 2019. [Google Scholar]
- Gandhi, O.P.; Riazi, A. Absorption of millimeter waves by human beings and its biological implications. IEEE Trans. Microw. Theory Tech. 1986, 34, 228–235. [Google Scholar] [CrossRef]
- Keysight Technologies. N1501A Dielectric Probe Kit 10 MHz to 50 GHz: Technical Overview; Keysight Technologies: Santa Rosa, CA, USA, 2015. [Google Scholar]
- Levine, H.; Papas, C.H. Theory of the circular diffraction antenna. J. Appl. Phys. 1951, 22, 29–43. [Google Scholar] [CrossRef]
- Garrett, D.C.; Bourqui, J.; Fear, E.C. Antenna calibration method for dielectric property estimation of biological tissues at microwave frequencies. Prog. Electromagn. Res. 2017, 158, 73–87. [Google Scholar] [CrossRef]
- Šegatin, N.; Pajk Žontar, T.; Poklar Ulrih, N. Dielectric Properties and Dipole Moment of Edible Oils Subjected to ‘Frying’Thermal Treatment. Foods 2020, 9, 900. [Google Scholar] [CrossRef]














| Sample | Relative Permittivity | Conductivity (S/m) | ||
|---|---|---|---|---|
| 0.5 GHz | 4.02 GHz | 0.5 GHz | 4.02 GHz | |
| Skin Phantom | 38.26 | 32.89 | 0.98 | 2.30 |
| Olive Oil | 2.56 | 2.26 | 0.02 | 0.04 |
| Triton X-100 | 5.86 | 3.85 | 0.04 | 0.21 |
| Property | Literature [7] | Simulation [24] | Experiment |
|---|---|---|---|
| Relative Permittivity | 43.54 | 41.72 | 37.04 |
| Conductivity (S/m) | 1.33 | 0.37 | 1.49 |
| Definition | First Layer | Second Layer | Probe Aperture | Distance | |
|---|---|---|---|---|---|
| Sensing volume [20] | Teflon block ( = 2) | water | 2.2 mm | 50% 0.2 mm * | 90% 0.5 mm * |
| 0.9% clinical saline | |||||
| Histology depth [21] | Rubber A ( = 7 at 5 GHz) | 0.9% saline | 2.2 mm | 1.20 to 3.65 mm ** | |
| Rubber B ( = 52 at 5 GHz) | |||||
| Rubber A ( = 7 at 5 GHz) | Fat ( = 2.5 at 5 GHz) | ||||
| Rubber B ( = 52 at 5 GHz) | |||||
| Porcine Muscle ( = 46 at 5 GHz) | |||||
| Porcine Fat ( = 11 at 5 GHz) | |||||
| Materials | Discrepancy for | Frequency (GHz) | Discrepancy for (S/m) | Frequency (GHz) |
|---|---|---|---|---|
| Skin | 1.00 | 6 | 0.31 | 6 |
| Triton X-100 | 0.68 | 0.5 | 0.05 | 2 |
| Olive oil | 0.29 | 1 | 0.11 | 6 |
| Frequency | Distance (mm) for 5% Increase | Distance (mm) for 20% Increase | Distance (mm) for 80% Increase |
|---|---|---|---|
| 0.5 | 1.00 | 0.36 | 0.24 |
| 2 | 1.20 | 0.56 | 0.17 |
| 4 | 0.96 | 0.56 | 0.21 |
| 10 | 0.76 | 0.41 | 0.14 |
| 20 | 0.76 | 0.36 | 0.15 |
| Frequency | Distance (mm) for 5% Increase | Distance (mm) for 20% Increase | Distance (mm) for 80% Increase |
|---|---|---|---|
| 0.5 | 1 | 0.86 | 0.36 |
| 2 | 0.76 | 0.56 | 0.26 |
| 4 | 0.71 | 0.46 | 0.21 |
| 10 | 0.66 | 0.41 | 0.21 |
| 20 | 0.66 | 0.36 | 0.16 |
| Materials | Distance (mm) for 5% Increase | Distance (mm) for 20% Increase | Distance (mm) for 80% Increase |
|---|---|---|---|
| Skin–Triton X-100 | 0.87 | 0.58–0.66 | 0.36–0.42 |
| Skin–Olive oil | 0.81 | 0.6 | 0.42 |
Publisher’s Note: MDPI stays neutral with regard to jurisdictional claims in published maps and institutional affiliations. |
© 2021 by the authors. Licensee MDPI, Basel, Switzerland. This article is an open access article distributed under the terms and conditions of the Creative Commons Attribution (CC BY) license (http://creativecommons.org/licenses/by/4.0/).
Share and Cite
Aydinalp, C.; Joof, S.; Yilmaz, T. Towards Non-Invasive Diagnosis of Skin Cancer: Sensing Depth Investigation of Open-Ended Coaxial Probes. Sensors 2021, 21, 1319. https://doi.org/10.3390/s21041319
Aydinalp C, Joof S, Yilmaz T. Towards Non-Invasive Diagnosis of Skin Cancer: Sensing Depth Investigation of Open-Ended Coaxial Probes. Sensors. 2021; 21(4):1319. https://doi.org/10.3390/s21041319
Chicago/Turabian StyleAydinalp, Cemanur, Sulayman Joof, and Tuba Yilmaz. 2021. "Towards Non-Invasive Diagnosis of Skin Cancer: Sensing Depth Investigation of Open-Ended Coaxial Probes" Sensors 21, no. 4: 1319. https://doi.org/10.3390/s21041319
APA StyleAydinalp, C., Joof, S., & Yilmaz, T. (2021). Towards Non-Invasive Diagnosis of Skin Cancer: Sensing Depth Investigation of Open-Ended Coaxial Probes. Sensors, 21(4), 1319. https://doi.org/10.3390/s21041319

