Hybrid Nanocomposite Platform, Based on Carbon Nanotubes and Poly(Methylene Blue) Redox Polymer Synthesized in Ethaline Deep Eutectic Solvent for Electrochemical Determination of 5-Aminosalicylic Acid
Abstract
1. Introduction
2. Materials and Methods
2.1. Reagents and Solutions
2.2. Instrumentation
2.3. PMBDES and CNT-Based Modified GCE
2.4. Electrochemical Measurements
2.5. Analytical Applications
3. Results and Discussion
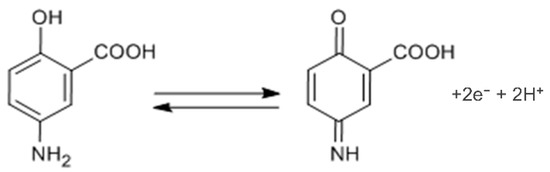
3.1. Electrochemical Characterization of 5-Aminosalicylic Acid (5-ASA) by Cyclic Voltammetry and Differential Pulse Voltammetry
3.2. Electrochemical Detection of 5-ASA
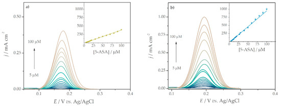
3.2.1. Chronoamperometry
Optimization of Experimental Conditions: pH and Applied Potential
Analytical Parameters of the Optimized Sensors
3.2.2. Differential Pulse Voltammetry
3.3. Simultaneous Analyses of 5-ASA and Acetaminophen
3.4. Real Sample Analysis
4. Conclusions
Supplementary Materials
Author Contributions
Funding
Institutional Review Board Statement
Informed Consent Statement
Data Availability Statement
Conflicts of Interest
References
- Tomé, L.I.N.; Baião, V.; da Silva, W.; Brett, C.M.A. Deep eutectic solvents for the production and application of new materials. Appl. Mater. Today 2018, 10, 30–50. [Google Scholar] [CrossRef]
- Brett, C.M.A. Deep eutectic solvents and applications in electrochemical sensing. Curr. Opin. Electrochem. 2018, 10, 143–148. [Google Scholar] [CrossRef]
- Abbott, A.P.; Boothby, D.; Capper, G.; Davies, D.L.; Rasheed, R.K. Deep Eutectic Solvents Formed between Choline Chloride and Carboxylic Acids: Versatile Alternatives to Ionic Liquids. J. Am. Chem. Soc. 2004, 126, 9142–9147. [Google Scholar] [CrossRef]
- Jablonský, M.; Škulcová, A.; Šima, J. Use of Deep Eutectic Solvents in Polymer Chemistry–A Review. Molecules 2019, 24, 3978. [Google Scholar] [CrossRef]
- Roda, A.; Matias, A.; Paiva, A.; Duarte, A. Polymer Science and Engineering Using Deep Eutectic Solvents. Polymers 2019, 11, 912. [Google Scholar] [CrossRef]
- Wagle, D.V.; Zhao, H.; Baker, G.A. Deep eutectic solvents: Sustainable media for nanoscale and functional materials. Acc. Chem. Res. 2014, 47, 2299–2308. [Google Scholar] [CrossRef]
- Ibrahim, R.K.; Hayyan, M.; AlSaadi, M.A.; Ibrahim, S.; Hayyan, A.; Hashim, M.A. Physical properties of ethylene glycol-based deep eutectic solvents. J. Mol. Liq. 2019, 276, 794–800. [Google Scholar] [CrossRef]
- Hayyan, A.; Mjalli, F.S.; Alnashef, I.M.; Al-Wahaibi, Y.M.; Al-Wahaibi, T.; Hashim, M.A. Glycerol-based deep eutectic solvents: Physical properties. J. Mol. Liq. 2013, 178, 137–141. [Google Scholar] [CrossRef]
- Barsan, M.M.; Ghica, M.E.; Brett, C.M.A. Electrochemical sensors and biosensors based on redox polymer/carbon nanotube modified electrodes: A review. Anal. Chim. Acta 2015, 881, 1–23. [Google Scholar] [CrossRef] [PubMed]
- Guo, B.; Glavas, L.; Albertsson, A.-C. Biodegradable and electrically conducting polymers for biomedical applications. Prog. Polym. Sci. 2013, 38, 1263–1286. [Google Scholar] [CrossRef]
- Balint, R.; Cassidy, N.J.; Cartmell, S.H. Conductive polymers: Towards a smart biomaterial for tissue engineering. Acta Biomater. 2014, 10, 2341–2353. [Google Scholar] [CrossRef] [PubMed]
- Hosu, O.; Bârsan, M.M.; Cristea, C.; Săndulescu, R.; Brett, C.M.A. Nanostructured electropolymerized poly(methylene blue) films from deep eutectic solvents. Optimization and characterization. Electrochim. Acta 2017, 232, 285–295. [Google Scholar] [CrossRef]
- Golgovici, F.; Anicai, L.; Florea, A.; Visan, T. Electrochemical Synthesis of Conducting Polymers Involving Deep Eutectic Solvents. Curr. Nanosci. 2020, 16, 478–494. [Google Scholar] [CrossRef]
- Prathish, K.P.; Carvalho, R.C.; Brett, C.M.A. Electrochemical characterisation of poly(3,4-ethylenedioxythiophene) film modified glassy carbon electrodes prepared in deep eutectic solvents for simultaneous sensing of biomarkers. Electrochim. Acta 2016, 187, 704–713. [Google Scholar] [CrossRef]
- Prathish, K.P.; Carvalho, R.C.; Brett, C.M.A. Highly sensitive poly(3,4-ethylenedioxythiophene) modified electrodes by electropolymerisation in deep eutectic solvents. Electrochem. Commun. 2014, 44, 8–11. [Google Scholar] [CrossRef]
- Fernandes, P.M.V.; Campiña, J.M.; Pereira, C.M.; Silva, F. Electrosynthesis of Polyaniline from Choline-Based Deep Eutectic Solvents: Morphology, Stability and Electrochromism. J. Electrochem. Soc. 2012, 159, G97–G105. [Google Scholar] [CrossRef]
- Ismail, H.K.; Alesary, H.F.; Mohammed, M.Q. Synthesis and characterisation of polyaniline and/or MoO2/graphite composites from deep eutectic solvents via chemical polymerisation. J. Polym. Res. 2019, 26, 65. [Google Scholar] [CrossRef]
- Alabdullah, S.S.M.; Ismail, H.K.; Ryder, K.S.; Abbott, A.P. Evidence supporting an emulsion polymerisation mechanism for the formation of polyaniline. Electrochim. Acta 2020, 354, 136737. [Google Scholar] [CrossRef]
- Wang, F.; Zou, F.; Yu, X.; Feng, Z.; Du, N.; Zhong, Y.; Huang, X. Electrochemical synthesis of poly(3-aminophenylboronic acid) in ethylene glycol without exogenous protons. Phys. Chem. Chem. Phys. 2016, 18, 9999–10004. [Google Scholar] [CrossRef]
- Golgovici, F.; Cârlan, M.-S.; Popescu, A.-G.; Anicai, L. Electrochemical Synthesis of Polypyrrole and Polypyrrole-Indomethacin Coatings on NiCr Alloys Involving Deep Eutectic Solvents. Metals 2020, 10, 1130. [Google Scholar] [CrossRef]
- Ghoorchian, A.; Tavoli, F.; Alizadeh, N. Long-term stability of nanostructured polypyrrole electrochromic devices by using deep eutectic solvents. J. Electroanal. Chem. 2017, 807, 70–75. [Google Scholar] [CrossRef]
- Mota-Morales, J.D.; Gutiérrez, M.C.; Ferrer, M.L.; Jiménez, R.; Santiago, P.; Sanchez, I.C.; Terrones, M.; Del Monte, F.; Luna-Bárcenas, G. Synthesis of macroporous poly(acrylic acid)-carbon nanotube composites by frontal polymerization in deep-eutectic solvents. J. Mater. Chem. A 2013, 1, 3970–3976. [Google Scholar] [CrossRef]
- Wang, Q.; Yao, X.; Geng, Y.; Zhou, Q.; Lu, X.; Zhang, S. Deep eutectic solvents as highly active catalysts for the fast and mild glycolysis of poly(ethylene terephthalate)(PET). Green Chem. 2015, 17, 2473–2479. [Google Scholar] [CrossRef]
- da Silva, W.; Ghica, M.E.; Brett, C.M.A. Novel nanocomposite film modified electrode based on poly(brilliant cresyl blue)-deep eutectic solvent/carbon nanotubes and its biosensing applications. Electrochim. Acta 2019, 317, 766–777. [Google Scholar] [CrossRef]
- Dalkıran, B.; Fernandes, I.P.G.; David, M.; Brett, C.M.A. Electrochemical synthesis and characterization of poly(thionine)-deep eutectic solvent/carbon nanotube–modified electrodes and application to electrochemical sensing. Microchim. Acta 2020, 187, 609. [Google Scholar] [CrossRef]
- da Silva, W.; Queiroz, A.C.; Brett, C.M.A. Poly(methylene green)—Ethaline deep eutectic solvent / Fe2O3 nanoparticle modified electrode electrochemical sensor for the antibiotic dapsone. Sens. Actuators B Chem. 2020, 325, 128747. [Google Scholar] [CrossRef]
- da Silva, W.; Brett, C.M.A. Novel biosensor for acetylcholine based on acetylcholinesterase/poly(neutral red)—Deep eutectic solvent/Fe2O3 nanoparticle modified electrode. J. Electroanal. Chem. 2020, 872, 114050. [Google Scholar] [CrossRef]
- Hosu, O.; Florea, A.; Cristea, C.; Sandulescu, R. Functionalized Advanced Hybrid Materials for Biosensing Applications. In Advanced Biosensors for Health Care Applications; Elsevier: Amsterdam, The Netherlands, 2019; pp. 171–207. [Google Scholar] [CrossRef]
- Mota-Morales, J.D.; Sánchez-Leija, R.J.; Carranza, A.; Pojman, J.A.; del Monte, F.; Luna-Bárcenas, G. Free-radical polymerizations of and in deep eutectic solvents: Green synthesis of functional materials. Prog. Polym. Sci. 2018, 78, 139–153. [Google Scholar] [CrossRef]
- Hansen, B.B.; Spittle, S.; Chen, B.; Poe, D.; Zhang, Y.; Klein, J.M.; Horton, A.; Adhikari, L.; Zelovich, T.; Doherty, B.W.; et al. Deep Eutectic Solvents: A Review of Fundamentals and Applications. Chem. Rev. 2020. [Google Scholar] [CrossRef]
- Hosu, O.; Barsan, M.M.; Cristea, C.; Săndulescu, R.; Brett, C.M.A. Nanocomposites based on carbon nanotubes and redox-active polymers synthesized in a deep eutectic solvent as a new electrochemical sensing platform. Microchim. Acta 2017, 184, 3919–3927. [Google Scholar] [CrossRef]
- Mahfuz, M. Inflammatory bowel disease: Foiling inflammatory bowel disease. Sci. Transl. Med. 2013, 5, 49–57. [Google Scholar] [CrossRef]
- Solitano, V.; D’Amico, F.; Fiorino, G.; Paridaens, K.; Peyrin-Biroulet, L.; Danese, S. Key Strategies to Optimize Outcomes in Mild-to-Moderate Ulcerative Colitis. J. Clin. Med. 2020, 9, 2905. [Google Scholar] [CrossRef]
- Wang, Y.; Parker, C.E.; Feagan, B.G.; MacDonald, J.K. Oral 5-aminosalicylic acid for maintenance of remission in ulcerative colitis. Cochrane Database Syst. Rev. 2016, 1–88. [Google Scholar] [CrossRef] [PubMed]
- Shahdadi Sardo, H.; Saremnejad, F.; Bagheri, S.; Akhgari, A.; Afrasiabi Garekani, H.; Sadeghi, F. A review on 5-aminosalicylic acid colon-targeted oral drug delivery systems. Int. J. Pharm. 2019, 558, 367–379. [Google Scholar] [CrossRef]
- Barsan, M.M.; Toledo, C.T.; Brett, C.M.A. New electrode architectures based on poly(methylene green) and functionalized carbon nanotubes: Characterization and application to detection of acetaminophen and pyridoxine. J. Electroanal. Chem. 2015, 736, 8–15. [Google Scholar] [CrossRef]
- Manasa, G.; Mascarenhas, R.J.; Satpati, A.K.; D’Souza, O.J.; Dhason, A. Facile preparation of poly(methylene blue) modified carbon paste electrode for the detection and quantification of catechin. Mater. Sci. Eng. C 2017, 73, 552–561. [Google Scholar] [CrossRef] [PubMed]
- Brett, C.M.A.; Brett Oliveira, A.-M. Electrochemistry. Principles, Methods, and Applications; Oxford University Press: Oxford, UK, 1993. [Google Scholar]
- Shahrokhian, S.; Hosseini, P.; Kamalzadeh, Z. Investigation of the Electrochemical Behavior of Mesalazine on the Surface of a Glassy Carbon Electrode Modified with CNT/PPY Doped by 1,5-Naphthalenedisulfonic Acid. Electroanalysis 2013, 25, 2481–2491. [Google Scholar] [CrossRef]
- Brumleve, T.R.; Osteryoung, J. Theory of differential normal pulse voltammetry in the alternating pulse mode for totally irreversible electrode reactions. Anal. Chem. 1981, 53, 988–991. [Google Scholar] [CrossRef]
- Komorsky-Lovrić, Š.; Nigović, B. Identification of 5-aminosalicylic acid, ciprofloxacin and azithromycin by abrasive stripping voltammetry. J. Pharm. Biomed. Anal. 2004, 36, 81–89. [Google Scholar] [CrossRef] [PubMed]
- Sukanya, R.; Ramki, S.; Chen, S.-M.; Karthik, R. Ultrasound treated cerium oxide/tin oxide (CeO2/SnO2) nanocatalyst: A feasible approach and enhanced electrode material for sensing of anti-inflammatory drug 5-aminosalicylic acid in biological samples. Anal. Chim. Acta 2020, 1096, 76–88. [Google Scholar] [CrossRef] [PubMed]
- Harisha, K.V.; Swamy, B.E.K.; Ganesh, P.S.; Jayadevappa, H. An electrochemical sensor for the determination of 5-amino salicylic acid at poly (Alanine) modified carbon paste electrode: A cyclic voltammetric study. Anal. Bioanal. Electrochem. 2018, 10, 1273–1287. [Google Scholar]
- Brett, C.M.A.; Oliveira-Brett, A.-M. Electroanalysis; Compton, R.G., Ed.; Oxford University Press: New York, NY, USA, 1998. [Google Scholar]
- Vinoth Kumar, J.; Kokulnathan, T.; Chen, S.-M.; Chen, T.-W.; Elgorban, A.M.; Elshikh, M.S.; Marraiki, N.; Nagarajan, E.R. Two-Dimensional Copper Tungstate Nanosheets: Application toward the Electrochemical Detection of Mesalazine. ACS Sustain. Chem. Eng. 2019, 7, 18279–18287. [Google Scholar] [CrossRef]
- Kim, S.; Wang, N.; Li, Y.; He, X. Electrochemical determination of mesalazine by using graphene oxide coated with a molecularly imprinted sol-gel. Anal. Methods 2016, 8, 7780–7788. [Google Scholar] [CrossRef]
- Štěpánková, M.; Šelešovská, R.; Janíková, L.; Chýlková, J. Voltammetric determination of mesalazine in pharmaceutical preparations and biological samples using boron-doped diamond electrode. Chem. Pap. 2017, 71, 1419–1427. [Google Scholar] [CrossRef]
- Torkashvand, M.; Gholivand, M.B.; Taherkhani, F. Fabrication of an electrochemical sensor based on computationally designed molecularly imprinted polymer for the determination of mesalamine in real samples. Mater. Sci. Eng. C 2015, 55, 209–217. [Google Scholar] [CrossRef] [PubMed]








| Sensor Architecture | Potential/ V vs. Ag/AgCl | Buffer | pH | Linear Range/μM | Sensitivity/ μA cm−2 μM−1 | LOD/ μM | Ref. |
|---|---|---|---|---|---|---|---|
| Poly(alanine)/ MCPE a | 0.17 i | 0.2 M PBS | 7.4 | 20–180 | 0.61 * | 0.230 | [43] |
| CNT/PPY/ GCE d | 0.57 i | 0.04 M BR | 2.0 | 0.01–0.1 0.1–10 | 136.10 * | 0.003 | [39] |
| CeO2/SnO2NPs/ GCE b | 0.26 i | 0.05 M PBS | 7.0 | 0.02–1572 | 0.17 | 0.006 | [42] |
| CuW NSs/ GCE f | 0.33 ii | 0.05 M PBS | 7.0 | 0.005–367 | 1.20 | 0.0012 | [45] |
| GO/MIP/ GCE b | 0.48 i | 0.04 M BR | 2.0 | 2–20 20–150 | 3.12 | 0.970 | [46] |
| BDDE c | 0.75 i | 0.04 M BR | 7.0 | 2–300 | 0.34 | 0.700 | [47] |
| AgDs/MIP/ GCE e | 0.47 i −0.60 iii (120s) | 0.01 M PBS | 2.0 | 0.05–100 | 0.13 * | 0.015 | [48] |
| PMBDES/CNT/ GCE f | 0.40 ii | 0.04 M BR | 7.0 | 10–100 | 1.06 | 0.193 | This work |
| CNT/PMBDES/ GCE f | 0.40 ii | 0.04 M BR | 7.0 | 0.5–100 | 1.33 | 0.057 | This work |
| PMBDES/CNT/ GCE b | 0.17 i | 0.04 M BR | 7.0 | 5–100 | 3.85 | 0.058 | This work |
| CNT/PMBDES/ GCE b | 0.19 i | 0.04 M BR | 7.0 | 5–100 | 9.84 | 0.007 | This work |
| Method | Found/ μM | Declared/ μM | Recovery */ % |
|---|---|---|---|
| CA | 21.0 ± 0.6 | 20.0 | 105.2 ± 1.1% |
| DPV | 19.5 ± 0.6 | 20.0 | 97.8 ± 1.0% |
Publisher’s Note: MDPI stays neutral with regard to jurisdictional claims in published maps and institutional affiliations. |
© 2021 by the authors. Licensee MDPI, Basel, Switzerland. This article is an open access article distributed under the terms and conditions of the Creative Commons Attribution (CC BY) license (http://creativecommons.org/licenses/by/4.0/).
Share and Cite
Hosu, O.; Barsan, M.M.; Săndulescu, R.; Cristea, C.; Brett, C.M.A. Hybrid Nanocomposite Platform, Based on Carbon Nanotubes and Poly(Methylene Blue) Redox Polymer Synthesized in Ethaline Deep Eutectic Solvent for Electrochemical Determination of 5-Aminosalicylic Acid. Sensors 2021, 21, 1161. https://doi.org/10.3390/s21041161
Hosu O, Barsan MM, Săndulescu R, Cristea C, Brett CMA. Hybrid Nanocomposite Platform, Based on Carbon Nanotubes and Poly(Methylene Blue) Redox Polymer Synthesized in Ethaline Deep Eutectic Solvent for Electrochemical Determination of 5-Aminosalicylic Acid. Sensors. 2021; 21(4):1161. https://doi.org/10.3390/s21041161
Chicago/Turabian StyleHosu, Oana, Madalina M. Barsan, Robert Săndulescu, Cecilia Cristea, and Christopher M. A. Brett. 2021. "Hybrid Nanocomposite Platform, Based on Carbon Nanotubes and Poly(Methylene Blue) Redox Polymer Synthesized in Ethaline Deep Eutectic Solvent for Electrochemical Determination of 5-Aminosalicylic Acid" Sensors 21, no. 4: 1161. https://doi.org/10.3390/s21041161
APA StyleHosu, O., Barsan, M. M., Săndulescu, R., Cristea, C., & Brett, C. M. A. (2021). Hybrid Nanocomposite Platform, Based on Carbon Nanotubes and Poly(Methylene Blue) Redox Polymer Synthesized in Ethaline Deep Eutectic Solvent for Electrochemical Determination of 5-Aminosalicylic Acid. Sensors, 21(4), 1161. https://doi.org/10.3390/s21041161

