Application of Laser Vibrometry to Assess Defects in Ship Hull’s Welded Joints’ Technical Condition
Abstract
1. Introduction
2. Materials and Methods
- P1 plate (100%)—plate without welded joints (reference);
- P2 plate (70%)—no full melting;
- P3 plate (95%)—a few spherical blisters; according to the guidelines of classification societies, the combination is considered good;
- P4 plate (85%)—no full melting;
- P5 plate (80%)—no full melting;
- P6 plate (55%)—no full melting, edge gluing, longitudinal bladder.
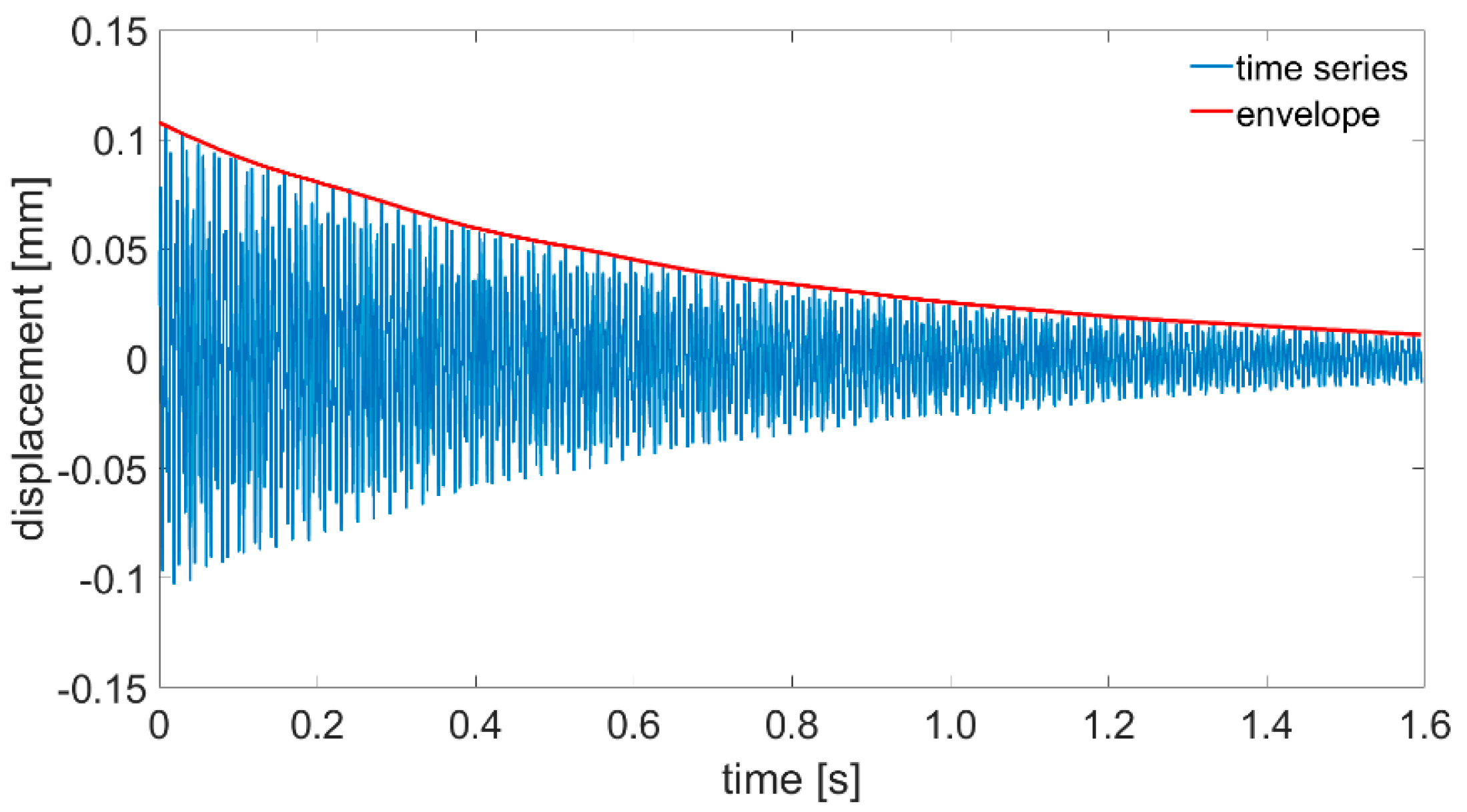
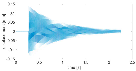
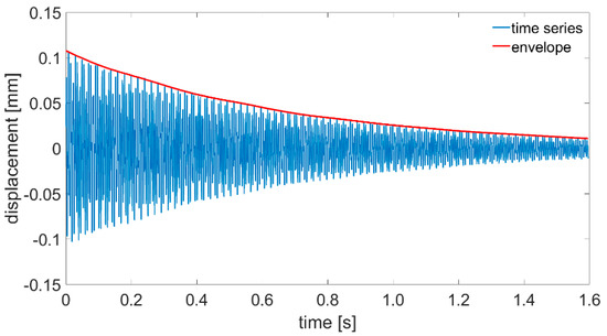
3. Results and Discussion
4. Conclusions
- Both methods based on damping decrement calculation or displacement spectra analysis require knowledge of parameters describing the object with a known, good technical condition. Therefore, these are qualitative diagnostics methods that enable the detection of damage without indicating its specific cause. According to this, we mean that a new ship (or its element) should be tested with the proposed method before exploitation in order to obtain reference spectra of critical hull points.
- It should be noted that the methods have the character of non-contact measurements and therefore they can also be used on production lines, where the entire diagnostic process can be automated.
- During the measurements, a modal hammer was used as the source of the impact signal, so it must be concluded that similar good results will be obtained in the case of impulse extortions implemented in other ways (e.g., stochastic environmental extortion).
- Undoubtedly, before starting to test a series of products, it will be necessary to know the form of the object’s own vibrations. For this purpose, it will be necessary to test several specimens of a known technical condition.
- It will be advisable here to use two independent methods of determining dynamic parameters (one of them may be a numerical analysis based on the finite element method (FEM)). Obtaining the frequency value of the first two forms of the object’s own vibrations with welds without defects will allow for testing the remaining ones using only a laser displacement sensor.
- In the low-frequency range, direct measurement of displacement amplitudes (laser sensors) shows an advantage over the measurement of acceleration amplitudes (accelerometers). This is mainly due to the fact that there is no need to double integrate the acceleration waveforms.
Author Contributions
Funding
Institutional Review Board Statement
Informed Consent Statement
Data Availability Statement
Conflicts of Interest
References
- Giurgiutiu, V. Vibration of Plates. In Structural Health Monitoring; Elsevier: Amsterdam, The Netherlands, 2008; pp. 101–128. [Google Scholar]
- Miyashita, T.; Nagai, M. Vibration-based Structural Health Monitoring for Bridges using Laser Doppler Vibrometers and MEMS-based Technologies. Steel Struct. 2008, 8, 325–331. [Google Scholar]
- Sabatino, S.; Frangopol, D.M. Decision making framework for optimal SHM planning of ship structures considering availability and utility. Ocean Eng. 2017, 135, 194–206. [Google Scholar] [CrossRef]
- Vizentin, G.; Vukelic, G.; Murawski, L.; Recho, N.; Orović, J. Marine Propulsion System Failures—A Review. J. Mar. Sci. Eng. 2020, 8, 662. [Google Scholar] [CrossRef]
- An, Y.; Kim, J.H.; Yim, H.J. Lamb Wave Line Sensing for Crack Detection in a Welded Stiffener. Sensors 2014, 14, 12871–12884. [Google Scholar] [CrossRef] [PubMed]
- Gerwick, B.C. Construction of Marine and Offshore Structures; CRC Press: Boca Raton, FL, USA, 2007. [Google Scholar]
- Vukelic, G.; Vizentin, G.; Murawski, L.; Recho, N. Marine Structural Failures Database; Monograph; International Association of Maritime Universities: Tokyo, Japan, 2018; Volume 46, ISBN 978-4-907408-24-4. [Google Scholar]
- Murawski, L.; Ostachowicz, W.; Opoka, S.; Mieloszyk, M.; Majewska, K. Practical Application of Monitoring System Based on Optical Sensors for Marine Constructions. Key Eng. Mater. 2012, 518, 261–270. [Google Scholar] [CrossRef]
- Opoka, S.; Murawski, L.; Wandowski, T.; Malinowski, P.; Ostachowicz, W. Static-Strain Level Change Together with Detection of Transient Signal as Damage Indicator for Truss and Frame Structures. Strain 2013, 49, 287–298. [Google Scholar] [CrossRef]
- Jamrozik, W. Contextual reliability discounting in welding process diagnostic based on DSmT. Expert Syst. 2014, 32, 192–202. [Google Scholar] [CrossRef]
- Jamrozik, W.; Górka, J. Assessing MMA Welding Process Stability Using Machine Vision-Based Arc Features Tracking System. Sensors 2020, 21, 84. [Google Scholar] [CrossRef]
- Joseph, R.; Giurgiutiu, V. Analytical and Experimental Study of Fatigue-Crack-Growth AE Signals in Thin Sheet Metals. Sensors 2020, 20, 5835. [Google Scholar] [CrossRef]
- Kažys, R.; Mažeika, L.; Sestoke, J. Development of Ultrasonic Techniques for Measurement of Spatially Non-Uniform Elastic Properties of Thin Plates by Means of a Guided Sub-Sonic A0 Mode. Appl. Sci. 2020, 10, 3299. [Google Scholar] [CrossRef]
- Mondoro, A.; Soliman, M.; Frangopol, D.M. Prediction of structural response of naval vessels based on available structural health monitoring data. Ocean Eng. 2016, 125, 295–307. [Google Scholar] [CrossRef]
- Abbas, M.; Shafiee, M. Structural Health Monitoring (SHM) and Determination of Surface Defects in Large Metallic Structures using Ultrasonic Guided Waves. Sensors 2018, 18, 3958. [Google Scholar] [CrossRef] [PubMed]
- Szwedo, M.; Pieczonka, L.; Uhl, T. Application of Vibrothermography in Nondestructive Testing of Structures. In Proceedings of the 6th European Workshop onStructural Health Monitoring—Fr.2.A.2, Dresden, Germany, 3–6 July 2012; Volume 2. [Google Scholar]
- Bezerra, A.; Vieira, L.; Rade, D.; Scotti, A. On the Influence of Welding Residual Stresses on the Dynamic Behavior of Structures. Shock. Vib. 2008, 15, 447–458. [Google Scholar] [CrossRef]
- Gkantou, M.; Muradov, M.; Kamaris, G.; Hashim, K.S.; Atherton, W.; Kot, P. Novel Electromagnetic Sensors Embedded in Reinforced Concrete Beams for Crack Detection. Sensors 2019, 19, 5175. [Google Scholar] [CrossRef]
- Jamrozik, W. Cellular neural networks for welding arc thermograms segmentation. Infrared Phys. Technol. 2014, 66, 18–28. [Google Scholar] [CrossRef]
- Sun, L.; Li, H.; Ren, L.; Jin, Q. Dynamic response measurement of offshore platform model by FBG sensors. Sensors Actuators A: Phys. 2007, 136, 572–579. [Google Scholar] [CrossRef]
- Alam, A.; Onik, S.A.; Bin Mustapha, K.N. Crack based bond strength model of externally bonded steel plate and CFRP laminate to predict debonding failure of shear strengthened RC beams. J. Build. Eng. 2020, 27, 100943. [Google Scholar] [CrossRef]
- Derusova, D.; Vavilov, V.; Sfarra, S.; Sarasini, F.; Krasnoveikin, V.; Chulkov, A.; Pawar, S. Ultrasonic spectroscopic analysis of impact damage in composites by using laser vibrometry. Compos. Struct. 2019, 211, 221–228. [Google Scholar] [CrossRef]
- Rothberg, S.; Allen, M.; Castellini, P.; Di Maio, D.; Dirckx, J.; Ewins, D.; Halkon, B.J.; Muyshondt, P.; Paone, N.; Ryan, T.; et al. An international review of laser Doppler vibrometry: Making light work of vibration measurement. Opt. Lasers Eng. 2017, 99, 11–22. [Google Scholar] [CrossRef]
- Ren, L.; Li, H.; Zhou, J.; Li, D.-S.; Sun, L. Health monitoring system for offshore platform with fiber Bragg grating sensors. Opt. Eng. 2006, 45, 084401. [Google Scholar] [CrossRef]
- De Landro, M.; Ianniello, J.; Yon, M.; Wolf, A.; Quesson, B.; Schena, E.; Saccomandi, P. Fiber Bragg Grating Sensors for Performance Evaluation of Fast Magnetic Resonance Thermometry on Synthetic Phantom. Sensors 2020, 20, 6468. [Google Scholar] [CrossRef] [PubMed]
- Bai, Y.; Jin, W.-L. (Eds.) Marine Structural Design, 2nd ed.; Butterworth-Heinemann: Oxford, UK, 2016. [Google Scholar] [CrossRef]
- Micro-Epsilon—optoNCDT. Available online: http://www.micro-epsilon.pl/download/cat--optoncdt--en.pdf (accessed on 4 May 2020).
- Pastorcic, D.; Vukelic, G.; Bozic, Z. Coil spring failure and fatigue analysis. Eng. Fail. Anal. 2019, 99, 310–318. [Google Scholar] [CrossRef]
- Rivas, M.; Sergiyenko, O.; Aguirre, M.; Devia, L.; Tyrsa, V.; Rendon, I. Spatial data acquisition by laser scanning for robot or SHM task. In Proceedings of the 2008 IEEE International Symposium on Industrial Electronics, Cambridge, UK, 30 June–2 July 2008; pp. 1458–1462. [Google Scholar] [CrossRef]
- Stanbridge, A.; Ewins, D. Modal Testing Using a Scanning Laser Doppler Vibrometer. Mech. Syst. Signal Process. 1999, 13, 255–270. [Google Scholar] [CrossRef]
- Vukelic, G.; Vizentin, G. Common Case Studies of Marine Structural Failures. In Failure Analysis and Prevention; Intech: Rijeka, Croatia, 2017; pp. 135–151. [Google Scholar]
- Tatar, K.; Gren, P. Measurement of milling tool vibrations during cutting using laser vibrometry. Int. J. Mach. Tools Manuf. 2008, 48, 380–387. [Google Scholar] [CrossRef]
- Mateja, K.; Zupan, D.; Lopatič, J.; Kryžanowski, A. On the Application of Laser Vibrometry to Perform Structural Health Monitoring in Non-Stationary Conditions of a Hydropower Dam. Sensors 2019, 19, 3811. [Google Scholar] [CrossRef]
- Nassif, H.; Gindy, M.; Davis, J. Comparison of laser Doppler vibrometer with contact sensors for monitoring bridge deflection and vibration. NDT E Int. 2005, 38, 213–218. [Google Scholar] [CrossRef]
- Wojtczak, E.; Rucka, M.; Knak, M. Detection and Imaging of Debonding in Adhesive Joints of Concrete Beams Strengthened with Steel Plates Using Guided Waves and Weighted Root Mean Square. Materials 2020, 13, 2167. [Google Scholar] [CrossRef]
- Sumi, Y.; Yajima, H.; Toyosada, M.; Yoshikawa, T.; Aihara, S.; Gotoh, K.; Ogawa, Y.; Matsumoto, T.; Hirota, K.; Hirasawa, H.; et al. Fracture control of extremely thick welded steel plates applied to the deck structure of large container ships. J. Mar. Sci. Technol. 2013, 18, 497–514. [Google Scholar] [CrossRef]
- Agis, D.; Pozo, F. A Frequency-Based Approach for the Detection and Classification of Structural Changes Using t-SNE †. Sensors 2019, 19, 5097. [Google Scholar] [CrossRef]
- Karvelis, P.; Georgoulas, G.; Kappatos, V.; Stylios, C. Deep machine learning for structural health monitoring on ship hulls using acoustic emission method. Ships Offshore Struct. 2020, 1–9. [Google Scholar] [CrossRef]
- Eyres, D.J.; Bruce, G.J. (Eds.) Ship Construction, 7th ed.; Butterworth-Heinemann: Oxford, UK, 2012. [Google Scholar] [CrossRef]
- Zhao, Y.; Zhu, Y.; Yuan, M.; Wang, J.; Zhu, S. A Laser-Based Fiber Bragg Grating Ultrasonic Sensing System for Structural Health Monitoring. IEEE Photon Technol. Lett. 2016, 28, 2573–2576. [Google Scholar] [CrossRef]
- Szeleziński, A.; Muc, A.; Murawski, L. Analysis Concerning Changes of Structure Damping in Welded Joints Diagnostics. J. KONES 2017, 24, 313–320. [Google Scholar] [CrossRef]
- Choi, Y.; Abbas, S.H.; Lee, J.-R. Aircraft integrated structural health monitoring using lasers, piezoelectricity, and fiber optics. Measurement 2018, 125, 294–302. [Google Scholar] [CrossRef]
- Uchanin, V.; Ostash, O. Development of electromagnetic NDT methods for structural integrity assessment. Procedia Struct. Integr. 2019, 16, 192–197. [Google Scholar] [CrossRef]
- Fricke, W. Fatigue analysis of welded joints: State of development. Mar. Struct. 2003, 16, 185–200. [Google Scholar] [CrossRef]
- Soliman, M.; Barone, G.; Frangopol, D.M. Fatigue reliability and service life prediction of aluminum naval ship details based on monitoring data. Struct. Health Monit. 2015, 14, 3–19. [Google Scholar] [CrossRef]
- Djoković, J.M.; Nikolić, R.R.; Ulewicz, R.; Hadzima, B. Interface Crack Approaching a Three-Material Joint. Appl. Sci. 2020, 10, 416. [Google Scholar] [CrossRef]
- Staszewski, W.J.; Bin Jenal, R.; Klepka, A.; Szwedo, M.; Uhl, T. A Review of Laser Doppler Vibrometry for Structural Health Monitoring Applications. Key Eng. Mater. 2012, 518, 1–15. [Google Scholar] [CrossRef]
- Kudela, P.; Wandowski, T.; Malinowski, P.; Ostachowicz, W. Application of scanning laser Doppler vibrometry for delamination detection in composite structures. Opt. Lasers Eng. 2017, 99, 46–57. [Google Scholar] [CrossRef]
- Muc, A.; Murawski, L.; Szeleziński, A. Methods of Cracks Detection in Marine Structures’ Welded Joints Based on Signals’ Time Waveform Analysis. Brodogradnja 2018, 69, 43–59. [Google Scholar] [CrossRef]
























| Type ILD 2300-10 | |
|---|---|
| Measurement range [mm] | 10 (start of measurement 30, end of measurement 40) |
| Resolution at 20 kHz [µm] | 0.15 |
| Light source | 1 mW laser diode with a light output wavelength of 670 nm |
| Power supply [V] | 24 |
| Marker size at the beginning of the measuring range [µm] | 75 × 85 |
| Marker size at the end of the measuring range [µm] | 110 × 160 |
| Plate Number | Envelope Value at t = 0 s | Envelope Value at t = 1 s | Damping Decrement |
|---|---|---|---|
| P1 | 0.108 | 0.026 | 1.434 |
| 0.133 | 0.031 | 1.442 | |
| 0.125 | 0.028 | 1.442 | |
| P2 | 0.127 | 0.036 | 1.267 |
| 0.117 | 0.035 | 1.191 | |
| 0.119 | 0.032 | 1.313 | |
| P3 | 0.131 | 0.047 | 1.013 |
| 0.167 | 0.058 | 1.058 | |
| 0.118 | 0.045 | 0.966 | |
| P4 | 0.167 | 0.064 | 0.958 |
| 0.141 | 0.062 | 0.825 | |
| 0.150 | 0.065 | 0.845 | |
| P5 | 0.069 | 0.019 | 1.303 |
| 0.062 | 0.015 | 1.389 | |
| 0.067 | 0.018 | 1.314 | |
| P6 | 0.122 | 0.039 | 1.150 |
| 0.115 | 0.045 | 0.942 | |
| 0.117 | 0.043 | 1.003 |
| Mode | Simulation | P1 Plate | P2 Plate | P3 Plate | P4 Plate | P5 Plate | P6 Plate |
|---|---|---|---|---|---|---|---|
| [Hz] | |||||||
| I | 22.2 | 21.95 | 26.08 | 17.59 | 25.84 | 25.36 | 22.74 |
| II | 50.45 | 51.03 | 35.84 | 39.27 | 39.48 | 37.57 | 36.29 |
| Mode | P1 | P2 | P3 | P4 | P5 | P6 |
|---|---|---|---|---|---|---|
| [Hz] | ||||||
| I | 22.00 | 26.00 | 17.50 | 25.75 | 25.50 | 22.75 |
| II | 51.00 | 35.75 | 39.25 | 39.25 | 37.50 | 36.25 |
Publisher’s Note: MDPI stays neutral with regard to jurisdictional claims in published maps and institutional affiliations. |
© 2021 by the authors. Licensee MDPI, Basel, Switzerland. This article is an open access article distributed under the terms and conditions of the Creative Commons Attribution (CC BY) license (http://creativecommons.org/licenses/by/4.0/).
Share and Cite
Szeleziński, A.; Muc, A.; Murawski, L.; Kluczyk, M.; Muchowski, T. Application of Laser Vibrometry to Assess Defects in Ship Hull’s Welded Joints’ Technical Condition. Sensors 2021, 21, 895. https://doi.org/10.3390/s21030895
Szeleziński A, Muc A, Murawski L, Kluczyk M, Muchowski T. Application of Laser Vibrometry to Assess Defects in Ship Hull’s Welded Joints’ Technical Condition. Sensors. 2021; 21(3):895. https://doi.org/10.3390/s21030895
Chicago/Turabian StyleSzeleziński, Adam, Adam Muc, Lech Murawski, Marcin Kluczyk, and Tomasz Muchowski. 2021. "Application of Laser Vibrometry to Assess Defects in Ship Hull’s Welded Joints’ Technical Condition" Sensors 21, no. 3: 895. https://doi.org/10.3390/s21030895
APA StyleSzeleziński, A., Muc, A., Murawski, L., Kluczyk, M., & Muchowski, T. (2021). Application of Laser Vibrometry to Assess Defects in Ship Hull’s Welded Joints’ Technical Condition. Sensors, 21(3), 895. https://doi.org/10.3390/s21030895

