Towards Data-Driven Vehicle Estimation for Signalised Intersections in a Partially Connected Environment
Abstract
1. Introduction
2. Data-Driven Vehicle Estimation
2.1. Estimation Framework
2.2. Aggregated Estimation Method
- as the distance between vehicle i and the stop-bar at time step k;
- as the instantaneous speed of vehicle i at time step k;
- as the time in the detection area of vehicle i at time step k, obtained aswhere is the time when vehicle i entered the detection area.
- as the mean speed in the detection area of vehicle i at time k, obtained aswhere L is the length of the detection area.
2.3. Disaggregated Estimation Method
2.3.1. Model Formulation
2.3.2. CV Pair Clustering
2.3.3. Estimating First and Last Vehicles
- when CV i is the closest to the stop-bar, then the number of non-connected vehicles between vehicle i and the stop-bar need to be estimated;
- when CV i is the farthest from the stop-bar, then the number of non-connected vehicles behind vehicle i need to be estimated;
- when there is only a CV i in the segment, then both the number of non-connected vehicles between vehicle i and the stop-bar as well as the number of non-connected vehicles behind vehicle i need to be estimated.
2.3.4. Estimating the Total Number of Vehicles via the Disaggregated Method
2.4. Fully-Connected Feedforward Multi-Layer ANN
2.5. Performance Metrics
2.6. Model Training
2.6.1. Data Settings for the Aggregated Estimation Model
2.6.2. Data Settings for the Disaggregated Estimation Model
3. Data Description
4. Model Training and Validation
4.1. Accuracy of Trained Models
4.2. Impact of Training Dataset Size
4.3. Impact of Clustering on the Accuracy of the Disaggregated Method
4.4. Impact of Threshold Values for Clustering
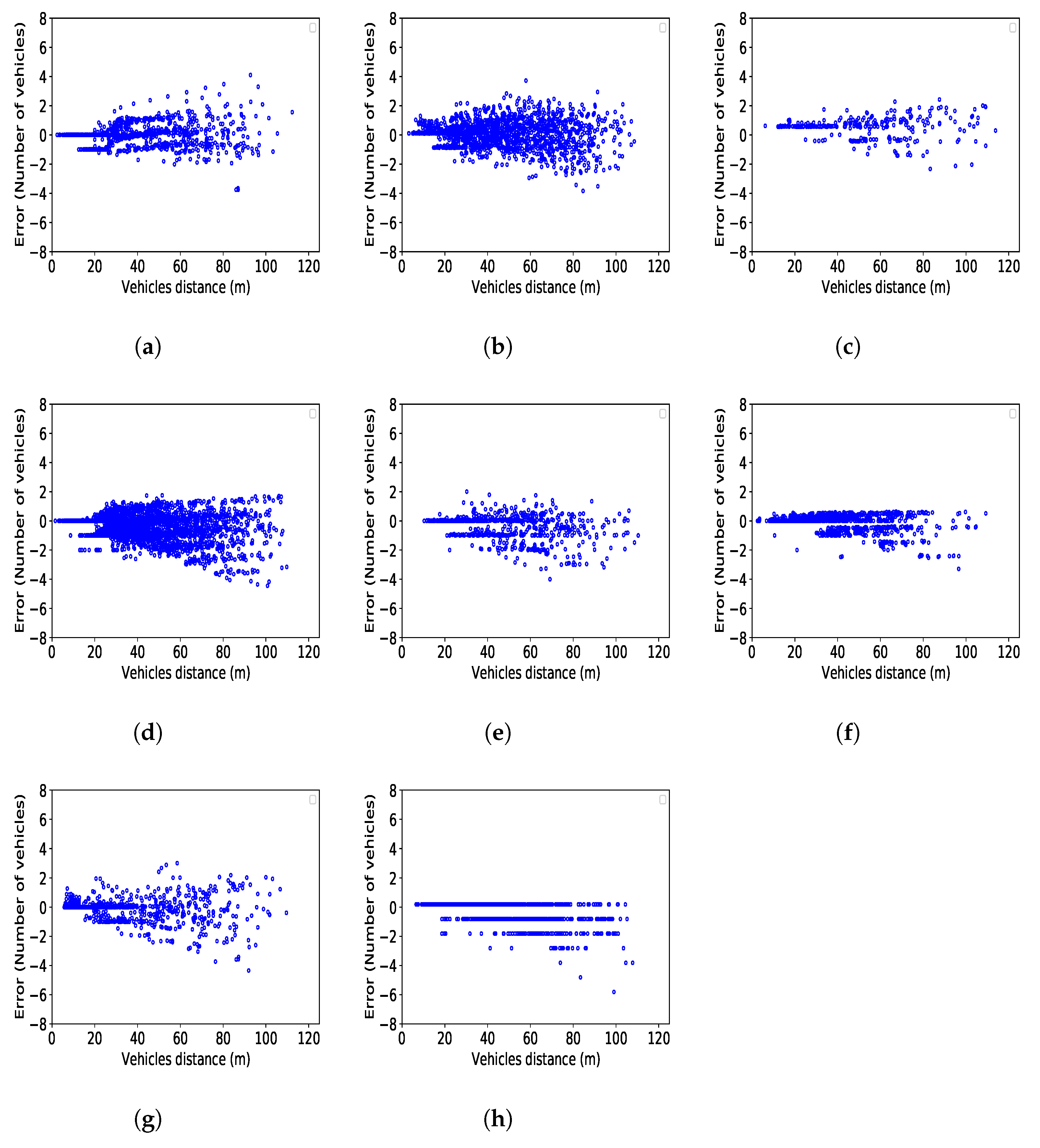
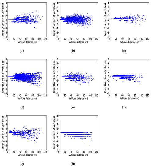
5. Estimation Performance on Real Data
5.1. Estimation of Number of Vehicles between a Pair of CV
5.2. Evaluation of Vehicle Counting Estimation
6. Discussion and Conclusions
Author Contributions
Funding
Institutional Review Board Statement
Informed Consent Statement
Data Availability Statement
Acknowledgments
Conflicts of Interest
Appendix A

References
- Papageorgiou, M.; Ben-Akiva, M.; Bottom, J.; Bovy, P.; Hoogendoorn, S.; Hounsell, N.; Kotsialos, A.; McDonald, M. ITS and Traffic Management. Handb. Oper. Res. Manag. Sci. 2007, 14, 715–774. [Google Scholar]
- Sims, A.G.; Dobinson, K.W. The Sydney coordinated adaptive traffic (SCAT) system philosophy and benefits. IEEE Trans. Veh. Technol. 1980, 29, 130–137. [Google Scholar] [CrossRef]
- Mauro, V.; Di Taranto, C. Utopia. IFAC Proc. Vol. 1990, 23, 245–252. [Google Scholar] [CrossRef]
- Lo, H.K.; Chow, H. Adaptive traffic control system: Control strategy, prediction, resolution, and accuracy. J. Adv. Transp. 2002, 36, 323–347. [Google Scholar] [CrossRef]
- Papageorgiou, M.; Diakaki, C.; Dinopoulou, V.; Kotsialos, A. Review of road traffic control strategies. Proc. IEEE 2003, 91, 2043–2067. [Google Scholar] [CrossRef]
- Li, M.; Yin, Y.; Zhang, W.B.; Zhou, K.; Nakamura, H. Modeling and implementation of adaptive transit signal priority on actuated control systems. Comput. Aided Civ. Infrastruct. Eng. 2011, 26, 270–284. [Google Scholar] [CrossRef]
- Beak, B.; Head, K.L.; Feng, Y. Adaptive coordination based on connected vehicle technology. Transp. Res. Rec. 2017, 2619, 1–12. [Google Scholar] [CrossRef]
- Mohammadi, R.; Roncoli, C.; Mladenović, M.N. Signalised intersection control in a connected vehicle environment: User throughput maximisation strategy. IET Intell. Transp. Syst. 2021, 15, 463–482. [Google Scholar] [CrossRef]
- Klein, L.A.; Mills, M.K.; Gibson, D. Traffic Detector Handbook: Third Edition—Volumes I/II; Technical Report FHWA-HRT-06-108, FHWA-HRT-06-139; Federal Highway Administration: Washington, DC, USA, 2006.
- Wang, Y.; Nihan, N.L. Can single-loop detectors do the work of dual-loop detectors? J. Transp. Eng. 2003, 129, 169–176. [Google Scholar] [CrossRef]
- Kastrinaki, V.; Zervakis, M.; Kalaitzakis, K. A survey of video processing techniques for traffic applications. Image Vis. Comput. 2003, 21, 359–381. [Google Scholar] [CrossRef]
- Abbas, M.; Mladenovic, M.; Ganta, S.; Kasaraneni, Y.; Li, Y.; Gharat, A.; Chong, L.; Medina, A. Evaluation of Merits and Requirements of Next-Generation Traffic-Control Systems for VDOT’s Northern Region Existing Infrastructure; Technical Report; Virginia Center for Transportation Innovation and Research: Charlottesville, VA, USA, 2011. [Google Scholar]
- Kurkjian, A.; Gershwin, S.B.; Houpt, P.K.; Willsky, A.S.; Chow, E.; Greene, C. Estimation of roadway traffic density on freeways using presence detector data. Transp. Sci. 1980, 14, 232–261. [Google Scholar] [CrossRef][Green Version]
- Skabardonis, A.; Geroliminis, N. Real-time monitoring and control on signalized arterials. J. Intell. Transp. Syst. 2008, 12, 64–74. [Google Scholar] [CrossRef]
- Kwong, K.; Kavaler, R.; Rajagopal, R.; Varaiya, P. Real-time measurement of link vehicle count and travel time in a road network. IEEE Trans. Intell. Transp. Syst. 2010, 11, 814–825. [Google Scholar] [CrossRef]
- Siegel, J.E.; Erb, D.C.; Sarma, S.E. A survey of the connected vehicle landscape—Architectures, enabling technologies, applications, and development areas. IEEE Trans. Intell. Transp. Syst. 2017, 19, 2391–2406. [Google Scholar] [CrossRef]
- Guo, Q.; Li, L.; Ban, X.J. Urban traffic signal control with connected and automated vehicles: A survey. Transp. Res. Part Emerg. Technol. 2019, 101, 313–334. [Google Scholar] [CrossRef]
- Ramezani, M.; Geroliminis, N. Queue profile estimation in congested urban networks with probe data. Comput. Aided Civ. Infrastruct. Eng. 2015, 30, 414–432. [Google Scholar] [CrossRef]
- Tan, C.; Yao, J.; Tang, K.; Sun, J. Cycle-based queue length estimation for signalized intersections using sparse vehicle trajectory Ddata. IEEE Trans. Intell. Transp. Syst. 2021, 22, 91–106. [Google Scholar] [CrossRef]
- Comert, G.; Cetin, M. Queue length estimation from probe vehicle location and the impacts of sample size. Eur. J. Oper. Res. 2009, 197, 196–202. [Google Scholar] [CrossRef]
- Ban, X.J.; Hao, P.; Sun, Z. Real time queue length estimation for signalized intersections using travel times from mobile sensors. Transp. Res. Part C Emerg. Technol. 2011, 19, 1133–1156. [Google Scholar]
- Li, F.; Tang, K.; Yao, J.; Li, K. Real-time queue length estimation for signalized intersections using vehicle trajectory data. Transp. Res. Rec. 2017, 2623, 49–59. [Google Scholar] [CrossRef]
- Zhang, H.; Liu, H.X.; Chen, P.; Yu, G.; Wang, Y. Cycle-based end of queue estimation at signalized intersections using low-penetration-rate vehicle trajectories. IEEE Trans. Intell. Transp. Syst. 2020, 21, 3257–3272. [Google Scholar] [CrossRef]
- Van Phu, C.N.; Farhi, N. Estimation of urban traffic state with probe vehicles. IEEE Trans. Intell. Transp. Syst. 2020, in press. [Google Scholar]
- Kong, Q.J.; Li, Z.; Chen, Y.; Liu, Y. An approach to urban traffic state estimation by fusing multisource information. IEEE Trans. Intell. Transp. Syst. 2009, 10, 499–511. [Google Scholar] [CrossRef]
- Shahrbabaki, M.R.; Safavi, A.A.; Papageorgiou, M.; Papamichail, I. A data fusion approach for real-time traffic state estimation in urban signalized links. Transp. Res. Part C Emerg. Technol. 2018, 92, 525–548. [Google Scholar] [CrossRef]
- Cipriani, E.; Gori, S.; Mannini, L. Traffic state estimation based on data fusion techniques. In Proceedings of the 15th International IEEE Conference on Intelligent Transportation Systems, Anchorage, AK, USA, 16–19 September 2012; pp. 1477–1482. [Google Scholar]
- Li, J.Q.; Zhou, K.; Shladover, S.E.; Skabardonis, A. Estimating queue length under connected vehicle technology: Using probe vehicle, loop detector, and fused data. Transp. Res. Rec. 2013, 2356, 17–22. [Google Scholar] [CrossRef]
- Zheng, J.; Liu, H.X. Estimating traffic volumes for signalized intersections using connected vehicle data. Transp. Res. Part C Emerg. Technol. 2017, 79, 347–362. [Google Scholar] [CrossRef]
- Zhao, Y.; Zheng, J.; Wong, W.; Wang, X.; Meng, Y.; Liu, H.X. Various methods for queue length and traffic volume estimation using probe vehicle trajectories. Transp. Res. Part C Emerg. Technol. 2019, 107, 70–91. [Google Scholar] [CrossRef]
- Aljamal, M.A.; Abdelghaffar, H.M.; Rakha, H.A. Real-time estimation of vehicle counts on signalized intersection approaches using probe vehicle data. IEEE Trans. Intell. Transp. Syst. 2020, in press. [Google Scholar] [CrossRef]
- Aljamal, M.A.; Abdelghaffar, H.M.; Rakha, H.A. Kalman Filter-based Vehicle Count Estimation Approach Using Probe Data: A Multi-lane Road Case Study. In Proceedings of the 2019 IEEE Intelligent Transportation Systems Conference (ITSC), Auckland, New Zealand, 27–30 October 2019; pp. 4374–4379. [Google Scholar] [CrossRef]
- He, Q.; Head, K.L.; Ding, J. PAMSCOD: Platoon-based arterial multi-modal signal control with online data. Transp. Res. Part C Emerg. Technol. 2012, 20, 164–184. [Google Scholar] [CrossRef]
- Stevanovic, A.; Kergaye, C.; Martin, P.T. SCOOT and SCATS: A closer look into their operations. In Proceedings of the 88th Annual Meeting of the Transportation Research Board, Washington, DC, USA, 11–15 November 2009. [Google Scholar]
- Antoniou, C.; Koutsopoulos, H.N.; Yannis, G. Dynamic data-driven local traffic state estimation and prediction. Transp. Res. Part C Emerg. Technol. 2013, 34, 89–107. [Google Scholar] [CrossRef]
- Papathanasopoulou, V.; Antoniou, C. Towards data-driven car-following models. Transp. Res. Part C Emerg. Technol. 2015, 55, 496–509. [Google Scholar] [CrossRef]
- Ton, D.; Duives, D.; Cats, O.; Hoogendoorn, S. Evaluating a data-driven approach for choice set identification using GPS bicycle route choice data from Amsterdam. Travel Behav. Soc. 2018, 13, 105–117. [Google Scholar] [CrossRef]
- Fields, E.; Osorio, C.; Zhou, T. A data-driven method for reconstructing a distribution from a truncated sample with an application to inferring car-sharing demand. Transp. Sci. 2021, in press. [Google Scholar] [CrossRef]
- Ma, W.; Qian, S. High-resolution traffic sensing with probe autonomous vehicles: A data-driven approach. Sensors 2021, 21, 464. [Google Scholar] [CrossRef] [PubMed]
- Zhang, J.; Wang, F.Y.; Wang, K.; Lin, W.H.; Xu, X.; Chen, C. Data-driven intelligent transportation systems: A survey. IEEE Trans. Intell. Transp. Syst. 2011, 12, 1624–1639. [Google Scholar] [CrossRef]
- Aljamal, M.A.; Farag, M.; Rakha, H.A. Developing Data-Driven Approaches for Traffic Density Estimation Using Connected Vehicle Data. IEEE Access 2020, 8, 219622–219631. [Google Scholar] [CrossRef]
- Gao, K.; Han, F.; Dong, P.; Xiong, N.; Du, R. Connected vehicle as a mobile sensor for real time queue length at signalized intersections. Sensors 2019, 19, 2059. [Google Scholar] [CrossRef]
- Aljamal, M.A.; Abdelghaffar, H.M.; Rakha, H.A. Developing a neural–Kalman filtering approach for estimating traffic stream density using probe vehicle data. Sensors 2019, 19, 4325. [Google Scholar] [CrossRef]
- Aljamal, M.A.; Abdelghaffar, H.M.; Rakha, H.A. Estimation of traffic stream density using connected vehicle data: Linear and nonlinear filtering approaches. Sensors 2020, 20, 4066. [Google Scholar] [CrossRef]
- Tajalli, M.; Hajbabaie, A. Traffic Signal Timing and Trajectory Optimization in a Mixed Autonomy Traffic Stream. IEEE Trans. Intell. Transp. Syst. 2021, in press. [Google Scholar] [CrossRef]
- Lu, N.; Cheng, N.; Zhang, N.; Shen, X.; Mark, J.W. Connected vehicles: Solutions and challenges. IEEE Internet Things J. 2014, 1, 289–299. [Google Scholar] [CrossRef]
- Wilson, R.E.; Ward, J.A. Car-following models: Fifty years of linear stability analysis—A mathematical perspective. Transp. Plan. Technol. 2011, 34, 3–18. [Google Scholar] [CrossRef]
- Li, X.; Yan, X.; Wong, S.C. Effects of fog, driver experience and gender on driving behavior on S-curved road segments. Accid. Anal. Prev. 2015, 77, 91–104. [Google Scholar] [CrossRef] [PubMed]
- Colonna, P.; Intini, P.; Berloco, N.; Ranieri, V. The influence of memory on driving behavior: How route familiarity is related to speed choice. An on-road study. Saf. Sci. 2016, 82, 456–468. [Google Scholar] [CrossRef]
- Monteil, J.; Billot, R.; Sau, J.; Buisson, C.; Faouzi, N.E.E. Calibration, estimation, and sampling issues of car-following parameters. Transp. Res. Rec. 2014, 2422, 131–140. [Google Scholar] [CrossRef]
- James, R.M.; Hammit, B.E.; Boyles, S.D. Methods to obtain representative car-following model parameters from trajectory-level data for use in microsimulation. Transp. Res. Rec. 2019, 2673, 62–73. [Google Scholar] [CrossRef]
- Punzo, V.; Montanino, M. A two-level probabilistic approach for validation of stochastic traffic simulations: Impact of drivers’ heterogeneity models. Transp. Res. Part C Emerg. Technol. 2020, 121, 102843. [Google Scholar] [CrossRef]
- Feng, Y.; Head, K.L.; Khoshmagham, S.; Zamanipour, M. A real-time adaptive signal control in a connected vehicle environment. Transp. Res. Part C Emerg. Technol. 2015, 55, 460–473. [Google Scholar] [CrossRef]
- Quinlan, J.R. Induction of decision trees. Mach. Learn. 1986, 1, 81–106. [Google Scholar] [CrossRef]
- Heckerman, D.; Geiger, D.; Chickering, D.M. Learning Bayesian networks: The combination of knowledge and statistical data. Mach. Learn. 1995, 20, 197–243. [Google Scholar] [CrossRef]
- Hofmann, T.; Schölkopf, B.; Smola, A.J. Kernel methods in machine learning. Ann. Stat. 2008, 36, 1171–1220. [Google Scholar] [CrossRef]
- Fine, T.L. Feedforward Neural Network Methodology; Springer: Berlin/Heidelberg, Germany, 2006. [Google Scholar]
- Livingstone, D.J.; Manallack, D.T.; Tetko, I.V. Data modelling with neural networks: Advantages and limitations. J. -Comput.-Aided Mol. Des. 1997, 11, 135–142. [Google Scholar] [CrossRef]
- James, G.; Witten, D.; Hastie, T.; Tibshirani, R. An Introduction to Statistical Learning; Springer: Berlin/Heidelberg, Germany, 2013; Volume 112. [Google Scholar]
- Ren, M.; Zeng, W.; Yang, B.; Urtasun, R. Learning to reweight examples for robust deep learning. In Proceedings of the International Conference on Machine Learning, Stockholm, Sweden, 10–15 July 2018; pp. 4334–4343. [Google Scholar]
- Ioffe, S.; Szegedy, C. Batch normalization: Accelerating deep network training by reducing internal covariate shift. In Proceedings of the 32nd International Conference on Machine Learning, Lille, France, 6–11 July 2015; pp. 448–456. [Google Scholar]
- Nair, V.; Hinton, G.E. Rectified linear units improve restricted Boltzmann machines. In Proceedings of the 27th International Conference on International Conference on Machine Learning, Haifa, Israel, 21–24 June 2010; pp. 807–814. [Google Scholar]
- Hochreiter, S. The vanishing gradient problem during learning recurrent neural nets and problem solutions. Int. J. Uncertain. Fuzziness Knowl. Based Syst. 1998, 6, 107–116. [Google Scholar] [CrossRef]
- Kingma, D.P.; Ba, J. Adam: A method for stochastic optimization. arXiv 2014, arXiv:1412.6980. [Google Scholar]
- Willmott, C.J. Some comments on the evaluation of model performance. Bull. Am. Meteorol. Soc. 1982, 63, 1309–1313. [Google Scholar] [CrossRef]
- Botchkarev, A. Performance metrics (error measures) in machine learning regression, forecasting and prognostics: Properties and typology. arXiv 2018, arXiv:1809.03006. [Google Scholar]
- Chai, T.; Draxler, R.R. Root mean square error (RMSE) or mean absolute error (MAE)?—Arguments against avoiding RMSE in the literature. Geosci. Model Dev. 2014, 7, 1247–1250. [Google Scholar] [CrossRef]
- Montáns, F.J.; Chinesta, F.; Gómez-Bombarelli, R.; Kutz, J.N. Data-driven modeling and learning in science and engineering. Comptes Rendus MÉCanique 2019, 347, 845–855. [Google Scholar] [CrossRef]
- Kovvali, V.G.; Alexiadis, V.; Zhang PE, L. Video-Based Vehicle Trajectory Data Collection. In Proceedings of the Transportation Research Board 86th Annual Meeting, Washington, DC, USA, 22–25 January 2006. [Google Scholar]
- Barmpounakis, E.; Geroliminis, N. On the new era of urban traffic monitoring with massive drone data: The pNEUMA large-scale field experiment. Transp. Res. Part C: Emerg. Technol. 2020, 111, 50–71. [Google Scholar] [CrossRef]
- Viti, F.; Hoogendoorn, S.P.; van Zuylen, H.J.; Wilmink, I.R.; Van Arem, B. Microscopic data for analyzing driving behavior at traffic signals. In Traffic Data Collection and Its Standardization; Springer: Berlin/Heidelberg, Germany, 2010; pp. 171–191. [Google Scholar]
- Miotto, R.; Wang, F.; Wang, S.; Jiang, X.; Dudley, J.T. Deep learning for healthcare: Review, opportunities and challenges. Brief. Bioinform. 2018, 19, 1236–1246. [Google Scholar] [CrossRef]
- PTV AG. PTV Vissim 10 User Manual; PTV: Karlsruhe, Germany, 2018. [Google Scholar]
- Jie, L.; Van Zuylen, H.; Chen, Y.; Viti, F.; Wilmink, I. Calibration of a microscopic simulation model for emission calculation. Transp. Res. Part C: Emerg. Technol. 2013, 31, 172–184. [Google Scholar] [CrossRef]
- Abadi, M.; Agarwal, A.; Barham, P.; Brevdo, E.; Chen, Z.; Citro, C.; Corrado, G.S.; Davis, A.; Dean, J.; Devin, M. Tensorflow: Large-scale machine learning on heterogeneous distributed systems. arXiv 2016, arXiv:1603.04467. [Google Scholar]
- Benesty, J.; Chen, J.; Huang, Y.; Cohen, I. Pearson correlation coefficient. In Noise Reduction in Speech Processing; Springer: Berlin/Heidelberg, Germany, 2009; pp. 1–4. [Google Scholar]













| Research Work | Estimated Quantities | Spatial Resolution | Time Resolution | Utilised Data | Estimation (Main) Method | Validation Data |
|---|---|---|---|---|---|---|
| Ramezani et al. [18] | queue profile | link | signal cycle | only CV data | shockwave analysis; data mining | real data |
| Zheng et al. [29] | traffic volumes | lane | 10 min–1 h | vehicle trajectories and signal status | maximum likelihood | real data |
| Zhao et al. [30] | queue length; traffic volume | link | 1 h | only CV data | probability theory | real and simulated data |
| Ramezani et al. [18] | queue profile | link | signal cycle | only CV data | shockwave analysis; data mining | real data |
| Gao et al. [42] | queue length | lane | signal cycle | only CV data | shockwave sensing and neural network | simulated data |
| Aljamal et al. [31,32,41,43,44] | traffic density | lane | variable | CV and detector data | combination of ANN and RF, K-NN, Kalman filter, adaptive kalman filter, and non-linear Particle filter | real and simulated data |
| Nguyen Van Phu et al. [24] | penetration rates; vehicles arrival rate; turning ratios; queue lengths | lane | second | only CV data | probability theory | simulated data |
| Proposed method | total number of vehicles; number of vehicles upstream and downstream of each CV | lane and intra-lane | second | only CV data | machine learning (ANN) | real data |
| Model | Traffic Phase of Downstream CV | Traffic Phase of Upstream CV | Speed of Downstream CV | Speed of Upstream CV |
|---|---|---|---|---|
| Q-Q | queue | queue | ||
| Q-S | queue | slowing-down | ||
| Q-F | queue | free-flow | ||
| S-S | slowing-down | slowing-down | ||
| S-F | slowing-down | free-flow | ||
| F-F | free-flow | free-flow | ||
| S-Q | slowing-down | queue | ||
| F-Q | free-flow | queue | ||
| F-S | free-flow | slowing-down |
| Model | Traffic Phase of CV | CV Speed |
|---|---|---|
| Q | queue | |
| S | slowing-down | |
| F | free-flow |
| m | Set of Vehicles | Aggregated Variables for Each Vehicle Set * | ||
|---|---|---|---|---|
| 1 | {i} | ... | 1 | |
| 1 | } | ... | 1 | |
| 1 | } | ... | 1 | |
| ... | ... | ... | ... | ... |
| 1 | } | ... | 1 | |
| 2 | ... | 2 | ||
| 2 | ... | 2 | ||
| ... | ... | ... | ... | ... |
| 3 | ... | 3 | ||
| ... | ... | ... | ... | ... |
| ... |
| 1 | 0 | |||||||||||||
| 2 | 1 | |||||||||||||
| 3 | 0 | |||||||||||||
| ... | ... | ... | ... | ... | ... | ... | ... | ... | ... | ... | ... | ... | ... | ... |
| J | 0 |
| Model | Training Dataset Size (Synthetic Data) | Validation Dataset Size (Synthetic Data) | Testing Dataset Size (Real Data) |
|---|---|---|---|
| Aggregated | 137,370 | 34,343 | 369,799 |
| Q-Q | 2706 | 810 | 1461 |
| Q-S | 1064 | 313 | 1881 |
| Q-F | 1267 | 359 | 293 |
| S-S | 419 | 73 | 4479 |
| S-F | 492 | 145 | 652 |
| F-F | 1255 | 356 | 1376 |
| S-Q | 171 | 43 | 763 |
| F-SQ | 173 | 54 | 987 |
| Q | 3750 | 1270 | 3723 |
| S | 1854 | 580 | 6956 |
| F | 4996 | 1702 | 4175 |
| Model | RMSE (veh) | MAE (veh) | ||
|---|---|---|---|---|
| Training | Validation | Training | Validation | |
| Aggregated | 0.7673 | 0.8150 | 0.5415 | 0.6464 |
| Q-Q | 0.3333 | 0.3678 | 0.1675 | 0.2031 |
| Q-S | 0.6517 | 0.6959 | 0.5087 | 0.5452 |
| Q-F | 0.8803 | 0.8967 | 0.7218 | 0.7838 |
| S-S | 0.3646 | 0.3169 | 0.1682 | 0.1430 |
| S-F | 0.4541 | 0.5467 | 0.2716 | 0.3121 |
| F-F | 0.3564 | 0.3302 | 0.2204 | 0.2205 |
| S-Q | 0.3538 | 0.4452 | 0.2015 | 0.2501 |
| F-SQ | 0.3737 | 0.3574 | 0.2428 | 0.2500 |
| Q | 0.4988 | 0.4730 | 0.2999 | 0.3133 |
| S | 0.8491 | 0.9520 | 0.5883 | 0.6774 |
| F | 0.7944 | 0.8030 | 0.5567 | 0.5848 |
| Model | RMSE (veh) | MAE (veh) |
|---|---|---|
| Q-Q | 0.6627 | 0.3956 |
| Q-S | 0.8892 | 0.6634 |
| Q-F | 0.8901 | 0.7810 |
| S-S | 0.8103 | 0.4732 |
| S-F | 0.9698 | 0.6401 |
| F-F | 0.5130 | 0.3282 |
| S-Q | 0.8841 | 0.5477 |
| F-SQ | 0.8358 | 0.5368 |
| Q | 0.9696 | 0.6700 |
| S | 1.1023 | 0.7670 |
| F | 1.0010 | 0.7628 |
Publisher’s Note: MDPI stays neutral with regard to jurisdictional claims in published maps and institutional affiliations. |
© 2021 by the authors. Licensee MDPI, Basel, Switzerland. This article is an open access article distributed under the terms and conditions of the Creative Commons Attribution (CC BY) license (https://creativecommons.org/licenses/by/4.0/).
Share and Cite
Mohammadi, R.; Roncoli, C. Towards Data-Driven Vehicle Estimation for Signalised Intersections in a Partially Connected Environment. Sensors 2021, 21, 8477. https://doi.org/10.3390/s21248477
Mohammadi R, Roncoli C. Towards Data-Driven Vehicle Estimation for Signalised Intersections in a Partially Connected Environment. Sensors. 2021; 21(24):8477. https://doi.org/10.3390/s21248477
Chicago/Turabian StyleMohammadi, Roozbeh, and Claudio Roncoli. 2021. "Towards Data-Driven Vehicle Estimation for Signalised Intersections in a Partially Connected Environment" Sensors 21, no. 24: 8477. https://doi.org/10.3390/s21248477
APA StyleMohammadi, R., & Roncoli, C. (2021). Towards Data-Driven Vehicle Estimation for Signalised Intersections in a Partially Connected Environment. Sensors, 21(24), 8477. https://doi.org/10.3390/s21248477

