Intelligent Transport System Using Time Delay-Based Multipath Routing Protocol for Vehicular Ad Hoc Networks
Abstract
:1. Introduction
- Prioritize ITS emergency messages compared to normal packets. As a result, deliver both emergency warning and data packets in the VANET environment on time to avoid vehicular traffic problems;
- Select the shortest route that has the minimum time delay and, therefore, speed up the data transmission;
- TMR uses the minimum RTT to select the optimized route, and as a result, it can adapt to the topological change;
- Our protocol reduces the traffic problems by using a threshold value where it should be higher than the RTT value to add its route to the efficient routes array;
- Minimize the data traffic load by reducing the retransmission data packets and therefore enhance the network performance.
2. Literature Review
2.1. Topological Approach
2.2. Road and Traffic Awareness Approach
2.3. Clustering Approach
2.4. Time Delay-Based Approach
3. Proposed Protocol
3.1. Problem Statement
3.2. Proposed Solution
3.3. System Model
4. Methodology
4.1. Methodology Flow
- OBU: This unit present in the source vehicle is used to send data messages to other vehicles through RSU. Messages produced in the OBU consist of the source vehicle ID (VID) and are assigned a priority value that decides the type of messages.
- Roadside Unit (RSU): The messages received at RSU are checked for the priority value (0 or 1) to decide which message should be sent first [3]. Therefore, RSU is crucial to control the data traffic in the network; otherwise, every OBU would have access to the whole network and broadcasts an excessive amount of low-priority data packets. Consequently, RSU alleviates traffic problems such as data congestion.
- Priority Check: As shown in Figure 1, the priority check happens once the messages are received by RSU. If the priority value is 0, then it is considered as a normal message, whereas if the priority value is 1, this is considered as an emergency message and is given the most priority among all the messages received from the OBU.
- Messages: The messages have information regarding the sender’s vehicle. Based on the content of the message, the priority is determined. These messages are transmitted in the VANETs to disseminate network state or emergency incident information to other vehicles in the network.
- (a)
- Normal message: Normal message consists of general information about the sender’s vehicle such as the speed of the vehicle, the time at which the message is sent, direction, and location of the vehicle. This information will allow vehicles to get more information about the status of the road in the sense of its crowdedness and hence avoid accidents. The normal messages are sent through unicast communication and are given less priority. These messages are pushed into the queue following the FIFO mechanism to be transmitted to the destination using TMR.
- (b)
- Emergency message: This message type is time sensitive so it is given a higher priority compared to the normal message because it has the information regarding emergencies (i.e., a collision of vehicles or functional disorder of the vehicle which leads to traffic problems). This message is sent to alert vehicles about such emergencies and, therefore, vehicles should reduce their speed to avoid making such emergency incidents worse particularly on slippery roads. These messages are immediately transmitted among all the vehicles in the network within the RSU range without any delay. So, the approaching vehicles in that range can avoid traffic jams and advance to take a detour.
- Broadcast: The emergency messages received by RSU are broadcast immediately to all other vehicles in the network [35]. These are alert messages aimed to provide road safety for vehicles of any possible risk.
- Queue: Queue consists of a list of normal messages to be transmitted sequentially following FIFO.
- Routing Protocol (TMR): This protocol was implemented to transfer the messages from the source to the destination. The normal message goes through routing protocol which uses the path with the minimum RTT among multiple paths generated. Alternative paths can be used in case there is a link failure.
4.2. TMR Routing Protocol
- All vehicles present in the range of RSU send and receive messages that can be either emergency or normal messages such as vehicle accidents, fire alerts, car speed limits, snow alerts, etc.
- Initially, OBU sends a message to the RSU using the TMR protocol with assigned priority based on the content in the message. If the message is an emergency, it is assigned 1; whereas, the normal message is assigned 0.
- If the message is for an emergency case, RSU broadcasts to all vehicles, in its range, without any delay.
- The normal message is pushed into the queue where it follows the FIFO mechanism. RSU sends these normal messages to vehicles in the network using TMR protocol in that RSU range.
- Once the RSU receives a message from an OBU, it adds the sending vehicle ID (VID) to the certificate revocation list (CRL) if it does not exist.
- As shown in Figure 2, RSU checks the routing table for the destination vehicle. If the routing table is empty, RSU broadcasts an RREQ message to all vehicles in that RSU range, and it contains a vehicle ID (VID) of the intended vehicle as being its destination address.
- The intermediate vehicle OBU adds the VID in the RREQ message to its CRL list if it is not there.
- If the intermediate vehicle OBU has a path to the destination, it returns RREP, and the RSU, in turn, would calculate the . If there is no path, OBU will send other RREQ messages to other nodes.
- is measured for every request in all the paths and is stored in an array.
- The average RTT will be calculated using the following formula.where,Number of a specific pathNumber of requests per pathTotal number of requestsAverage of RTT
- Instant round trip time () is compared with a threshold value which is the average round trip time (). If is greater than the average then drop the route with that instant .
- If the instant is less than or equal to the average , the instant route will be added into an array. Then the array is sorted in ascending order. Accordingly, the routing table will be updated using Dijkstra’s algorithm.
- RSU sends the packet using the first minimum RTT path in the array and waits for the acknowledgment from the destination vehicle.
- If the time out occurs before receiving an acknowledgment, TMR uses the next minimum RTT path to resend the data packets.
- This loop performs till the packets are successfully delivered to the destination vehicle.
| Algorithm 1 Message Handling |
|
| Algorithm 2 Routing Path Establishment |
|
| Algorithm 3 TMR Routing Protocol |
|
- Sequence number: It is the frame number that helps to avoid redundancy.
- Type: This indicates the type of a message, i.e., emergency or normal message.
- Source ID: This contains the sender’s VID to inform the destination (OBU or RSU) from which ID the message is received, an acknowledgment is to be sent.
- Destination ID: This contains the VID of the destination (OBU or RSU) to which the message should be sent.
- Timestamp: It can be used in the priority ordering in the FIFO in case of normal messages. In addition, it can be used to reflect status, such as congestion on the road.
- Data: This field holds the contents of a frame-like latitude, longitude, speed, direction, and the current time.
- (a)
- Latitude and Longitude: This field holds the exact location of the vehicle with specific latitude and longitude.
- (b)
- Speed: This field holds the speed of the sender’s vehicle when the message is sent.
- (c)
- Direction: This field displays the direction in which the sender vehicle is moving.
- (d)
- Current Time: It displays the time at which the message is sent.
4.3. TMR Routing Characteristics
5. Experiment Setup and Performance Analysis
5.1. Performance Metrics
- End-to-end Delay (E2E): End-to-End Delay refers to the time taken by the packet to be transmitted across the network from source to destination. It is generally represented in seconds.The represents the simulator time at the receiving end when the packet delivered. Accordingly, represents the time on which the packet is sent out, and, finally, n is the number of packets delivered successfully.
- Packet Loss Ratio (PLR): Packet Loss Ratio is the percentage of packets that failed to deliver to the destination end by a total number of packets sent.where denotes the number of lost packets and represents the number of generated packets.
- Throughput: Throughput is the number of packets successfully received by all nodes in the unit of time and is represented in MbpsIn the given equation, G represents the throughput, is the total number of bytes delivered successfully, and T is the time network that has been engaged in data transmission.
- Routing Overhead (RO): It is the number of routing packets required for network communication that is measured as a percentage (%).where is the number of routing packets and is the number of data packets delivered successfully.Routing overhead reveals the amount of control required for the protocol to work. It should be noted that the control packets impose a cost to the network as time, energy, and occupy medium; therefore, more control packets can impact network performance.
- Energy consumption (EC): The total amount of energy is being used during simulation by all nodes despite their state.where, is the initial existing energy of node i, is remaining energy of node i at end of simulation, and n represents number of nodes
5.2. Results of Scenario 1
5.2.1. Assessment of the Simulation Results Based on Simulation Time
5.2.2. Assessment of the Simulation Results Based on Pause Time
5.2.3. Assessment of the Simulation Results Based on Packet Size
5.2.4. Assessment of the Simulations’ Result Based on Faulty Node Ratio
5.2.5. Assessment of the Simulation Results Based on Number of Nodes
5.2.6. Assessment of the Simulation Results Based on Mobility Speed
5.3. Results of Scenario 2
5.3.1. Assessment of the Simulation Results Based on Simulation Time
5.3.2. Assessment of the Simulation Results Based on Mobility Speed
5.3.3. Assessment of the Simulation Results Based on Number of Nodes
6. Routing Protocol Analysis
Routing Protocol Time Complexity
7. Conclusions
Author Contributions
Funding
Institutional Review Board Statement
Informed Consent Statement
Data Availability Statement
Conflicts of Interest
References
- Lu, Z.; Qu, G.; Liu, Z. A survey on recent advances in vehicular network security, trust, and privacy. IEEE Trans. Intell. Transp. Syst. 2018, 20, 760–776. [Google Scholar] [CrossRef]
- Wen, X.; Chen, J.; Hu, Z.; Lu, Z. A p-opportunistic channel access scheme for interference mitigation between v2v and v2i communications. IEEE Internet Things J. 2020, 7, 3706–3718. [Google Scholar] [CrossRef]
- Atallah, R.; Khabbaz, M.; Assi, C. Multihop v2i communications: A feasibility study, modeling, and performance analysis. IEEE Trans. Veh. Technol. 2016, 66, 2801–2810. [Google Scholar] [CrossRef]
- Ji, S.; Kim, J.; You, C. Cadma: Collision-avoidance directional medium access for vehicular ad hoc networks. Wirel. Netw. 2016, 22, 1181–1197. [Google Scholar] [CrossRef]
- Aouiz, A.A.; Hacene, S.B.; Lorenz, P. Channel busyness based multipath load balancing routing protocol for ad hoc networks. IEEE Netw. 2019, 33, 118–125. [Google Scholar] [CrossRef]
- Tian, R.; Zhang, B. Routing for Vehicular Ad Hoc Networks; Springer International Publishing: Cham, Switzerland, 2020; pp. 1243–1245. [Google Scholar] [CrossRef]
- Bhardwaj, A.; El-Ocla, H. Multipath routing protocol using genetic algorithm in mobile ad hoc networks. IEEE Access 2020, 8, 177534–177548. [Google Scholar] [CrossRef]
- Alghamdi, S.A. Load balancing maximal minimal nodal residual energy ad hoc on-demand multipath distance vector routing protocol (lbmmre-aomdv). Wirel. Netw. 2016, 22, 1355–1363. [Google Scholar] [CrossRef]
- Eze, E.C.; Zhang, S.-J.; Liu, E.-J.; Eze, J.C. Advances in vehicular ad-hoc networks (vanets): Challenges and road-map for future development. Int. J. Autom. Comput. 2016, 13, 1–18. [Google Scholar] [CrossRef] [Green Version]
- Yahiabadi, S.R.; Barekatain, B.; Raahemifar, K. Tihoo: An enhanced hybrid routing protocol in vehicular ad-hoc networks. Eurasip J. Wirel. Commun. Netw. 2019, 192, 1–19. [Google Scholar] [CrossRef] [Green Version]
- Taha, A.; Alsaqour, R.; Uddin, M.; Abdelhaq, M.; Saba, T. Energy efficient multipath routing protocol for mobile ad-hoc network using the fitness function. IEEE Access 2017, 5, 10369–10381. [Google Scholar] [CrossRef]
- Rewadkar, D.; Doye, D. Multi-objective auto-regressive whale optimisation for traffic-aware routing in urban vanet. IET Inf. Secur. 2018, 12, 1–12. [Google Scholar] [CrossRef]
- Robinson, Y.H.; Julie, E.G.; Saravanan, K.; Kumar, R. Le Son, Fd-aomdv: Fault-tolerant disjoint ad-hoc on-demand multipath distance vector routing algorithm in mobile ad-hoc networks. J. Ambient. Intell. Humaniz. Comput. 2019, 10, 4455–4472. [Google Scholar] [CrossRef]
- Abbas, F.; Fan, P.; Khan, Z. A novel low-latency v2v resource allocation scheme based on cellular v2x communications. IEEE Trans. Intell. Transp. Syst. 2018, 20, 2185–2197. [Google Scholar] [CrossRef]
- Liu, J.; Ding, F.; Zhang, D. A hierarchical failure detector based on architecture in vanets. IEEE Access 2019, 7, 152813–152820. [Google Scholar] [CrossRef]
- Liu, J.; Wang, Q.; He, C.; Jaffrès-Runser, K.; Xu, Y.; Li, Z.; Xu, Y. Qmr: Q-learning based multi-objective optimization routing protocol for flying ad hoc networks. Comput. Commun. 2020, 150, 304–316. [Google Scholar] [CrossRef]
- Sharma, A.; Kumar, R. Service-Level Agreement—Energy Cooperative Quickest Ambulance Routing for Critical Healthcare Services. Arab. J. Sci. Eng. 2019, 44, 3831–3848. [Google Scholar] [CrossRef]
- Sharma, A.; Kumar, N. Third Eye: An Intelligent and Secure Route Planning Scheme for Critical Services Provisions in Internet of Vehicles Environment. IEEE Syst. J. 2021, 1–12. [Google Scholar] [CrossRef]
- Hassan, A.N.; Abdullah, A.H.; Kaiwartya, O.; Cao, Y.; Sheet, D.K. Multi-metric geographic routing for vehicular ad hoc networks. Wirel. Netw. 2018, 24, 2763–2779. [Google Scholar] [CrossRef]
- Abbasi, I.A.; Khan, A.S.; Ali, S. A reliable path selection and packet forwarding routing protocol for vehicular ad hoc networks. Eurasip J. Wirel. Commun. Netw. 2018, 236, 1–19. [Google Scholar] [CrossRef] [Green Version]
- Sun, G.; Song, L.; Yu, H.; Chang, V.; Du, X.; Guizani, M. V2v routing in a vanet based on the autoregressive integrated moving average model. IEEE Trans. Veh. Technol. 2018, 68, 908–922. [Google Scholar] [CrossRef]
- Goudarzi, F.; Asgari, H.; Al-Raweshidy, H.S. Traffic-aware vanet routing for city environments a protocol based on ant colony optimization. IEEE Syst. J. 2018, 13, 571–581. [Google Scholar] [CrossRef]
- Rana, K.K.; Tripathi, S.; Raw, R.S. Opportunistic directional location aided routing protocol for vehicular ad-hoc network. Wirel. Pers. Commun. 2020, 110, 1217–1235. [Google Scholar] [CrossRef]
- Qureshi, K.N.; Islam, F.U.; Kaiwartya, O.; Kumar, A.; Lloret, J. Improved road segment-based geographical routing protocol for vehicular ad-hoc networks. Electronics 2020, 9, 1248. [Google Scholar] [CrossRef]
- Qureshi, K.N.; Abdullah, A.H.; Lloret, J.; Altameem, A. Road-aware routing strategies for vehicular ad hoc networks: Characteristics and comparisons. Int. J. Distrib. Sens. Netw. 2016, 12, 1605734. [Google Scholar] [CrossRef] [Green Version]
- Lin, D.; Kang, J.; Squicciarini, A.; Wu, Y.; Gurung, S.; Tonguz, O. Mozo: A moving zone based routing protocol using pure v2v communication in vanets. IEEE Trans. Mob. Comput. 2016, 16, 1357–1370. [Google Scholar] [CrossRef]
- Abuashour, A.; Kadoch, M. Performance improvement of cluster-based routing protocol in vanet. IEEE Access 2017, 5, 15354–15371. [Google Scholar] [CrossRef]
- Shah, S.S.; Malik, A.W.; Rahman, A.U.; Iqbal, S.; Khan, S.U. Time barrier-based emergency message dissemination in vehicular ad-hoc networks. IEEE Access 2019, 7, 16494–16503. [Google Scholar] [CrossRef]
- Wu, J.; Fang, M.; Li, H.; Li, X. Rsu-assisted traffic-aware routing based on reinforcement learning for urban vanets. IEEE Access 2020, 8, 5733–5748. [Google Scholar] [CrossRef]
- Naseem, M.; Kumar, C. Congestion-aware fibonacci sequence based multipath load balancing routing protocol for manets. Wirel. Pers. Commun. 2015, 84, 2955–2974. [Google Scholar] [CrossRef]
- Mori, T.; Hirata, K.; Yamamoto, M. Content-oriented probabilistic routing with measured rtt. In Proceedings of the 2016 IEEE International Workshop Technical Committee on Communications Quality and Reliability (CQR 2016), Stevenson, WA, USA, 10–12 May 2016; pp. 1–6. [Google Scholar]
- Hai, L.; Gao, Q.; Wang, J.; Zhuang, H.; Wang, P. Delay-optimal back-pressure routing algorithm for multihop wireless networks. IEEE Trans. Veh. Technol. 2018, 67, 2617–2630. [Google Scholar] [CrossRef]
- Haseeb, K.; Abbas, N.; Saleem, M.Q.; Sheta, O.E.; Awan, K.; Islam, N.; Rehman, W.U.; Salam, T. Rcer: Reliable cluster-based energy-aware routing protocol for heterogeneous wireless sensor networks. PLoS ONE 2019, 14, e0222009. [Google Scholar]
- Naseem, M.; Ahamad, G.; Sharma, S.; Abbasi, E. Ee-lb-aomdv: An efficient energy constraints-based load-balanced multipath routing protocol for manets. Int. J. Commun. Syst. 2021, 34, e4946. [Google Scholar] [CrossRef]
- Zhang, G.; Xu, Y.; Wang, X.; Tian, X.; Liu, J.; Gan, X.; Yu, H.; Qian, L. Multicast capacity for vanets with directional antenna and delay constraint. IEEE J. Sel. Areas Commun. 2012, 30, 818–833. [Google Scholar] [CrossRef]
- Mirkovic, D.; Armitage, G.; Branch, P. A survey of round trip time prediction systems. IEEE Commun. Surv. Tutor. 2018, 20, 1758–1776. [Google Scholar] [CrossRef]
- Nunes, B.A.A.; Veenstra, K.; Ballenthin, W.; Lukin, S.; Obraczka, K. A machine learning framework for tcp round-trip time estimation. Eurasip J. Wirel. Commun. Netw. 2014, 47, 1–22. [Google Scholar] [CrossRef] [Green Version]
- Bian, Z.; Zhang, G.; Bian, D. Modeling the rtt of bundle protocol over asymmetric deep-space channels. J. Commun. Inf. Netw. 2016, 1, 97–104. [Google Scholar] [CrossRef] [Green Version]
- Du, W.; Liao, Y.; Tao, N.; Geurts, P.; Fu, X.; Leduc, G. Rating network paths for locality-aware overlay construction and routing. IEEE/ACM Trans. Netw. 2015, 23, 1661–1673. [Google Scholar] [CrossRef] [Green Version]
- Chen, Z.; Zhou, W.; Wu, S.; Cheng, L. An adaptive on-demand multipath routing protocol with qos support for high-speed manet. IEEE Access 2020, 8, 44760–44773. [Google Scholar] [CrossRef]
- Tian, Y.; Xu, K.; Ansari, N. Tcp in wireless environments: Problems and solutions. IEEE Commun. Mag. 2005, 43, S27–S32. [Google Scholar] [CrossRef] [Green Version]
- Oche, M.; Tambuwal, A.B.; Chemebe, C.; Noor, R.M.; Distefano, S. Vanets qos-based routing protocols based on multi-constrained ability to support its infotainment services. Wirel. Netw. 2020, 26, 1685–1715. [Google Scholar] [CrossRef]
- Jevtic, N.J.; Malnar, M.Z. Novel etx-based metrics for overhead reduction in dynamic ad hoc networks. IEEE Access 2019, 7, 116490–116504. [Google Scholar] [CrossRef]
- Sun, L.; Tian, G.; Zhu, G.; Liu, Y.; Shi, H.; Dai, D. Multipath ip routing on end devices: Motivation, design, and performance. In Proceedings of the 2018 IFIP Networking Conference (IFIP Networking) and Workshops, Zurich, Switzerland, 14–16 May 2018; pp. 1–9. [Google Scholar]
- Boudi, A.; Loudini, M. Active queue management exploiting the rate information in tcp-ip networks. IEEE/CAA J. Autom. Sin. 2018, 5, 223–231. [Google Scholar] [CrossRef]
- Feltrin, L.; Tsoukaneri, G.; Condoluci, M.; Buratti, C.; Mahmoodi, T.; Dohler, M.; Verdone, R. Narrowband iot: A survey on downlink and uplink perspectives. IEEE Wirel. Commun. 2019, 26, 78–86. [Google Scholar] [CrossRef]
- Ar-Reyouchi, E.M.; Ghoumid, K.; Ar-Reyouchi, D.; Rattal, S.; Yahiaoui, R.; Elmazria, O. An accelerated end-to-end probing protocol for narrowband iot medical devices. IEEE Access 2021, 9, 34131–34141. [Google Scholar] [CrossRef]
- Lee, C.; Park, C.; Jang, K.; Moon, S.; Han, D. Dx: Latency-based congestion control for datacenters. IEEE/ACM Trans. Netw. 2016, 25, 335–348. [Google Scholar] [CrossRef]
- Ahmed, Z.; Naz, S.; Ahmed, J. Minimizing transmission delays in vehicular ad hoc networks by optimized placement of road-side unit. Wirel. Netw. 2020, 26, 2905–2914. [Google Scholar] [CrossRef]




































| Parameter Type | Parameter Value |
|---|---|
| Network Simulator | ns-3.30.1 |
| Traffic Simulator | SUMO 1.7.0 |
| Wireless Protocol | IEEE 802.11p |
| MAC and Physical Layer standard | OFDM rate (6 Mbps, 9 Mbps, 12 Mbps, 18 Mbps, 24 Mbps, 36 Mbps, 48 Mbps, 54 Mbps) 20 MHz |
| Protocols | AOMDV, TSR, FF-AOMDV, EGSR, QMR, ISR, and TMR |
| Number of runs | 5 |
| Simulation Time | 10, 20, 30, 40, 50, 60, 70, 80, 90, 100 s |
| Number of nodes | 40, 50, 60, 70, 80, 90, 100, 110, 120, 130 |
| Mobility speed | 10, 15, 20, 25, 30, 35, 40 m/s |
| Number of concurrent Connections | 5, 8, 10, 11, 14, 17, 20, 23, 26, 29 |
| Data payload | 256, 512, 768, 1024, 2048 3072 bytes/packet |
| Transmission speed | 1024 Kbps |
| Transmission Power | 7.5 db |
| Initial Energy Source | 100 Joules |
| Transmission Energy | 0.2 watt |
| Receiving Energy | 0.1 watt |
| Time | TSR | AOMDV | FF-AOMDV | EGSR | QMR | TMR |
|---|---|---|---|---|---|---|
| 10 | 3.03 | 3.98 | 4.36 | 4.56 | 4.61 | 4.69 |
| 20 | 2.26 | 2.71 | 3.85 | 4.22 | 4.25 | 4.33 |
| 30 | 1.87 | 2.27 | 3.65 | 3.95 | 4.05 | 4.15 |
| 40 | 1.62 | 2.18 | 3.15 | 3.64 | 3.72 | 3.84 |
| 50 | 1.3 | 1.58 | 2.95 | 3.26 | 3.32 | 3.63 |
| 60 | 1.02 | 1.22 | 2.84 | 2.95 | 3.08 | 3.33 |
| 70 | 0.8 | 0.97 | 2.65 | 2.84 | 2.93 | 3.03 |
| 80 | 0.71 | 0.86 | 2.54 | 2.68 | 2.75 | 2.89 |
| 90 | 0.67 | 0.81 | 2.48 | 2.59 | 2.64 | 2.71 |
| 100 | 0.6 | 0.73 | 2.44 | 2.48 | 2.55 | 2.62 |
| Sum | 13.88 | 17.31 | 30.91 | 33.17 | 33.9 | 35.22 |
| Gain (%) | 153.74 | 103.46 | 13.94 | 6.18 | 3.89 |
| #Node | FF-AOMDV | EGSR | QMR | TMR |
|---|---|---|---|---|
| 40 | 2.46 | 2.64 | 2.72 | 2.94 |
| 50 | 2.37 | 2.51 | 2.58 | 2.71 |
| 60 | 2.33 | 2.37 | 2.46 | 2.58 |
| 70 | 2.27 | 2.34 | 2.4 | 2.49 |
| 80 | 2.12 | 2.24 | 2.27 | 2.39 |
| 90 | 2.01 | 2.1 | 2.19 | 2.29 |
| 100 | 1.88 | 2.01 | 2.08 | 2.18 |
| 110 | 1.79 | 1.93 | 1.98 | 2.12 |
| 120 | 1.75 | 1.84 | 1.91 | 2.06 |
| 130 | 1.71 | 1.81 | 1.87 | 2.02 |
| sum | 20.69 | 21.79 | 22.46 | 23.78 |
| gain (%) | 14.93 | 9.13 | 5.88 |
| #Node | FF-AOMDV | EGSR | QMR | TMR |
|---|---|---|---|---|
| 40 | 0.85 | 0.71 | 0.67 | 0.61 |
| 50 | 0.93 | 0.78 | 0.72 | 0.63 |
| 60 | 0.97 | 0.86 | 0.81 | 0.69 |
| 70 | 1.05 | 0.95 | 0.92 | 0.74 |
| 80 | 1.12 | 1.06 | 1.03 | 0.88 |
| 90 | 1.25 | 1.13 | 1.1 | 0.98 |
| 100 | 1.34 | 1.28 | 1.25 | 1.14 |
| 110 | 1.45 | 1.42 | 1.32 | 1.25 |
| 120 | 1.62 | 1.48 | 1.45 | 1.32 |
| 130 | 1.72 | 1.59 | 1.53 | 1.49 |
| sum | 12.3 | 11.26 | 10.8 | 9.73 |
| saving (%) | 20.9 | 13.6 | 9.9 |
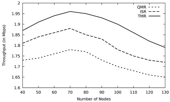
| Time | QMR | ISR | TMR |
|---|---|---|---|
| 10 | 2.51 | 2.59 | 2.67 |
| 20 | 2.21 | 2.39 | 2.5 |
| 30 | 2.05 | 2.21 | 2.36 |
| 40 | 1.89 | 2.08 | 2.24 |
| 50 | 1.81 | 1.98 | 2.13 |
| 60 | 1.72 | 1.91 | 2.06 |
| 70 | 1.69 | 1.85 | 1.99 |
| 80 | 1.67 | 1.83 | 1.96 |
| 90 | 1.65 | 1.8 | 1.92 |
| 100 | 1.62 | 1.78 | 1.9 |
| sum | 18.82 | 20.42 | 21.73 |
| gain (%) | 15.5 | 6.4 |
| Speed | QMR | ISR | TMR |
|---|---|---|---|
| 10 | 0.92 | 0.89 | 0.85 |
| 15 | 1.05 | 0.99 | 0.9 |
| 20 | 1.24 | 1.12 | 1.01 |
| 25 | 1.39 | 1.22 | 1.07 |
| 30 | 1.62 | 1.36 | 1.19 |
| 35 | 1.79 | 1.51 | 1.33 |
| sum | 8.01 | 7.09 | 6.35 |
| saving (%) | 26.1 | 11.7 |
| #Node | QMR | ISR | TMR |
|---|---|---|---|
| 40 | 9.52 | 9.16 | 8.57 |
| 50 | 9.25 | 8.76 | 8.17 |
| 60 | 9.07 | 8.52 | 7.91 |
| 70 | 8.98 | 8.45 | 7.88 |
| 80 | 9.12 | 8.52 | 7.91 |
| 90 | 9.3 | 8.69 | 8.08 |
| 100 | 9.45 | 8.87 | 8.24 |
| 110 | 9.68 | 9.11 | 8.48 |
| 120 | 9.95 | 9.45 | 8.87 |
| 130 | 10.18 | 9.88 | 9.37 |
| sum | 94.5 | 89.41 | 83.48 |
| saving (%) | 13.2 | 7.1 |
| Characteristics | TMR | EGSR [22] | QMR [16] | FF-AOMDV [11] | ISR [24] | AOMDV |
|---|---|---|---|---|---|---|
| Clock Synchronization | Yes | Yes | No | No | No | No |
| GPS | No | Yes, required as it is geographic aware protocol | Yes, acquire position | NO | Yes, required for positioning the head node | No |
| Energy optimization | No | No | Yes | Yes | No | No |
| Scalability approach | Road segmentation | Road segmentation | No | No | Road segmentation | No |
| Routing Discovery | Reactive protocol | Proactive protocol, based on | Hybrid protocol, Q-learning with variable and | Reactive protocol | Proactive protocol | Reactive protocol |
| RTT | Yes | NO | NO | NO | NO | NO |
Publisher’s Note: MDPI stays neutral with regard to jurisdictional claims in published maps and institutional affiliations. |
© 2021 by the authors. Licensee MDPI, Basel, Switzerland. This article is an open access article distributed under the terms and conditions of the Creative Commons Attribution (CC BY) license (https://creativecommons.org/licenses/by/4.0/).
Share and Cite
Ghaemi, Y.; El-Ocla, H.; Yadav, N.R.; Madana, M.R.; Raju, D.K.; Dhanabal, V.; Sheshadri, V. Intelligent Transport System Using Time Delay-Based Multipath Routing Protocol for Vehicular Ad Hoc Networks. Sensors 2021, 21, 7706. https://doi.org/10.3390/s21227706
Ghaemi Y, El-Ocla H, Yadav NR, Madana MR, Raju DK, Dhanabal V, Sheshadri V. Intelligent Transport System Using Time Delay-Based Multipath Routing Protocol for Vehicular Ad Hoc Networks. Sensors. 2021; 21(22):7706. https://doi.org/10.3390/s21227706
Chicago/Turabian StyleGhaemi, Yashar, Hosam El-Ocla, Nitin Ramesh Yadav, Manisha Reddy Madana, Dheeraj Kurugod Raju, Vignesh Dhanabal, and Vishal Sheshadri. 2021. "Intelligent Transport System Using Time Delay-Based Multipath Routing Protocol for Vehicular Ad Hoc Networks" Sensors 21, no. 22: 7706. https://doi.org/10.3390/s21227706
APA StyleGhaemi, Y., El-Ocla, H., Yadav, N. R., Madana, M. R., Raju, D. K., Dhanabal, V., & Sheshadri, V. (2021). Intelligent Transport System Using Time Delay-Based Multipath Routing Protocol for Vehicular Ad Hoc Networks. Sensors, 21(22), 7706. https://doi.org/10.3390/s21227706

