A Modular Cooperative Wall-Climbing Robot Based on Internal Soft Bone
Abstract
:1. Introduction
2. Materials and Methods
2.1. Robot Structure Design
2.2. Motion Planning
2.3. Kinematics Analysis and Simulation
2.3.1. Kinematics Analysis
2.3.2. Motion Simulation
3. Experimental Results
3.1. Hardware System Design
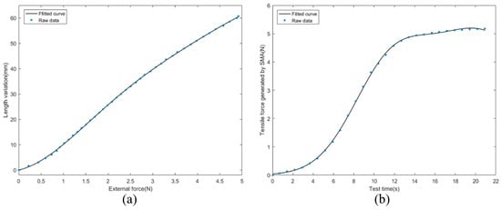
3.2. One-Way SMA Test Experiment
3.3. Exercise Experiment
3.3.1. Climbing Experiment
3.3.2. Steering Movement
3.3.3. Load Experiment
3.3.4. Spanning Experiment with Discontinuous Surface
3.4. Payload Power Factor
4. Discussion
5. Conclusions
Author Contributions
Funding
Institutional Review Board Statement
Informed Consent Statement
Data Availability Statement
Conflicts of Interest
References
- Kanada, A.; Giardina, F.; Howison, T.; Mashimo, T.; Iida, F. Reachability improvement of a climbing robot based on large deformations induced by tri-tube soft actuators. Soft Robot. 2019, 6, 483–494. [Google Scholar] [CrossRef]
- Zhang, H.; Zhang, J.; Liu, R. Mechanical design and dynamics of an autonomous climbing robot for elliptic half-shell cleaning. Int. J. Adv. Robot. Syst. 2007, 4, 437–446. [Google Scholar] [CrossRef]
- Houxiang, Z.; Zhang, J.; Zong, G.; Wang, W.; Liu, R. Sky Cleaner 3: A real pneumatic climbing robot for glass-wall cleaning. IEEE Robot. Autom. Mag. 2006, 13, 32–41. [Google Scholar] [CrossRef]
- Zhang, H.X.; Zhang, J.W.; Zong, G.H. Requirements of glass cleaning and development of climbing robot systems. In Proceedings of the IEEE International Conference on Mechatronics & Automation, Niagara Falls, ON, Canada, 20 July–1 August 2005; pp. 101–106. [Google Scholar]
- Sun, D.; Zhu, J.; Lai, C.; Tso, S. A visual sensing application to a climbing cleaning robot on the glass surface. Mechatronics 2004, 14, 1089–1104. [Google Scholar] [CrossRef]
- Zhu, J.; Sun, D.; Tso, S.-K. Development of a tracked climbing robot. J. Intell. Robot. Syst. 2002, 35, 427–443. [Google Scholar] [CrossRef]
- Lee, G.; Kim, H.; Seo, K.; Kim, J.; Sitti, M.; Seo, T. Series of multilinked caterpillar track-type climbing robots. J. Field Robot. 2016, 33, 737–750. [Google Scholar] [CrossRef]
- Huang, H.; Li, D.; Xue, Z.; Chen, X.; Liu, S.; Leng, J.; Wei, Y. Design and performance analysis of a tracked wall-climbing robot for ship inspection in shipbuilding. Ocean Eng. 2017, 131, 224–230. [Google Scholar] [CrossRef]
- Eto, H.; Asada, H.H. Development of a wheeled wall-climbing robot with a shape-adaptive magnetic adhesion mechanism. In Proceedings of the 2020 IEEE International Conference on Robotics and Automation (ICRA), Paris, France, 31 May–31 August 2020; IEEE: Piscataway, NJ, USA, 2020; pp. 9329–9335. [Google Scholar]
- Garrido, G.G.; Sattar, T.P. An autonomous wall climbing robot for inspection of reinforced concrete structures: SIRCAUR. J. Artif. Intell. Technol. 2021, 1, 188–196. [Google Scholar] [CrossRef]
- Seriani, S.; Scalera, L.; Caruso, M.; Gasparetto, A.; Gallina, P. Upside-down robots: Modeling and experimental validation of magnetic-adhesion mobile systems. Robotics 2019, 8, 41. [Google Scholar] [CrossRef] [Green Version]
- Nansai, S.; Elara, M.R. A survey of wall climbing robots: Recent advances and challenges. Robotics 2016, 5, 14. [Google Scholar] [CrossRef] [Green Version]
- Bian, S.; Wei, Y.; Xu, F.; Kong, D. A four-legged wall-climbing robot with spines and miniature setae array inspired by Longicorn and Gecko. J. Bionic Eng. 2021, 18, 292–305. [Google Scholar] [CrossRef]
- Gao, Y.; Wei, W.; Wang, X.; Li, Y.; Wang, D.; Yu, Q. Feasibility, planning and control of ground-wall transition for a suctorial hexapod robot. Appl. Intell. 2021, 51, 5506–5524. [Google Scholar] [CrossRef]
- Khan, M.B.; Chuthong, T.; Do, C.D.; Thor, M.; Billeschou, P.; Larsen, J.C.; Manoonpong, P. iCrawl: An inchworm-inspired crawling robot. IEEE Access 2020, 8, 200655–200668. [Google Scholar] [CrossRef]
- Jiang, Q.; Xu, F. Grasping claws of bionic climbing robot for rough wall surface: Modeling and analysis. Appl. Sci. 2017, 8, 14. [Google Scholar] [CrossRef] [Green Version]
- Lu, Y.; Zhou, K.; Ye, N. Design and kinemics/dynamics analysis of a novel climbing robot with tri-planar limbs for remanufacturing. J. Mech. Sci. Technol. 2017, 31, 1427–1436. [Google Scholar] [CrossRef]
- Guan, Y.; Zhu, H.; Wu, W.; Zhou, X.; Jiang, L.; Cai, C.; Zhang, L.; Zhang, H. A modular biped wall-climbing robot with high mobility and manipulating function. IEEE/ASME Trans. Mechatron. 2013, 18, 1787–1798. [Google Scholar] [CrossRef]
- Bian, S.; Xu, F.; Wei, Y.; Kong, D. a novel type of wall-climbing robot with a gear transmission system arm and adhere mechanism inspired by Cicada and Gecko. Appl. Sci. 2021, 11, 4137. [Google Scholar] [CrossRef]
- Zhang, W.; Zhang, W.; Sun, Z. A reconfigurable soft wall-climbing robot actuated by electromagnet. Int. J. Adv. Robot. Syst. 2021, 18, 1729881421992285. [Google Scholar] [CrossRef]
- Huang, W.; Xu, Z.; Xiao, J.; Hu, W.; Huang, H.; Zhou, F. multimodal soft robot for complex environments using bionic omnidirectional bending actuator. IEEE Access 2020, 8, 193827–193844. [Google Scholar] [CrossRef]
- Cao, J.; Qin, L.; Liu, J.; Ren, Q.; Foo, C.C.; Wang, H.; Lee, H.P.; Zhu, J. Untethered soft robot capable of stable locomotion using soft electrostatic actuators. Extreme Mech. Lett. 2018, 21, 9–16. [Google Scholar] [CrossRef]
- Gu, G.; Zou, J.; Zhao, R.; Zhao, X.; Zhu, X. Soft wall-climbing robots. Sci. Robot. 2018, 3, eaat2874. [Google Scholar] [CrossRef] [Green Version]
- Han, I.H.; Yi, H.; Song, C.-W.; Jeong, H.E.; Lee, S.-Y. A miniaturized wall-climbing segment robot inspired by caterpillar locomotion. Bioinspiration Biomim. 2017, 12, 046003. [Google Scholar] [CrossRef] [PubMed]
- Qin, L.; Liang, X.; Huang, H.; Chui, C.K.; Yeow, R.C.-H.; Zhu, J. A versatile soft crawling robot with rapid locomotion. Soft Robot. 2019, 6, 455–467. [Google Scholar] [CrossRef]
- Huang, W.; Xiao, J.; Zeng, F.; Lu, P.; Lin, G.; Hu, W.; Lin, X.; Wu, Y. A quadruped robot with three-dimensional flexible legs. Sensors 2021, 21, 4907. [Google Scholar] [CrossRef] [PubMed]
- Zhao, Z.; He, X.; Ahn, C.K. Boundary disturbance observer-based control of a vibrating single-link flexible manipulator. IEEE Trans. Syst. Man Cybern. Syst. 2021, 51, 2382–2390. [Google Scholar] [CrossRef]
- Zhao, Z.; Liu, Z. Finite-time convergence disturbance rejection control for a flexible Timoshenko manipulator. IEEE/CAA J. Autom. Sin. 2021, 8, 157–168. [Google Scholar] [CrossRef]
- Yang, C.; Huang, D.; He, W.; Cheng, L. Neural control of robot manipulators with trajectory tracking constraints and input saturation. IEEE Trans. Neural Netw. Learn. Syst. 2021, 32, 4231–4242. [Google Scholar] [CrossRef]
- Yang, C.; Jiang, Y.; Na, J.; Li, Z.; Cheng, L.; Su, C.-Y. Finite-time convergence adaptive fuzzy control for dual-arm robot with unknown kinematics and dynamics. IEEE Trans. Fuzzy Syst. 2019, 27, 574–588. [Google Scholar] [CrossRef]




















| Description | Value | Description | Value |
|---|---|---|---|
| 34.58 | 5.066 | ||
| −31.81 | 20.43 | ||
| −2.051 | 8.616 | ||
| −2.796 | 2.729 | ||
| 4.485 | 11.21 | ||
| 0.5904 | 5.08 |
| Description | Value |
|---|---|
| 133 rpm | |
| 4.5 mm | |
| 9 | |
| 70 mm | |
| 24 mm | |
| 0.835 N/mm | |
| 90 mm | |
| Body length of robot module | 110 mm |
| Weight of robot module | 300 g |
| Weight of internal soft bone | 40 g |
| Weight of internal soft bone tip mechanism | 60 g |
| Total weight of robot | 700 g |
| Spring specification | 1 × 12 × 50 mm |
| Thickness of upper, middle and lower plates | 4 mm |
| Weight of upper and lower plates | 25 g |
| Diagonal length of upper and lower plates | 160 mm |
| Weight of middle plate | 10 g |
| Side length of middle plate | 60 mm |
| External diameter of internal soft bone | 32 mm |
| Load Condition | Total Weight | Average Velocity | The No-Load or Load Power | PPF |
|---|---|---|---|---|
| No-load | ---- | |||
| Load 225 g | 0.304 | |||
| Load 400 g | 0.582 |
Publisher’s Note: MDPI stays neutral with regard to jurisdictional claims in published maps and institutional affiliations. |
© 2021 by the authors. Licensee MDPI, Basel, Switzerland. This article is an open access article distributed under the terms and conditions of the Creative Commons Attribution (CC BY) license (https://creativecommons.org/licenses/by/4.0/).
Share and Cite
Huang, W.; Hu, W.; Zou, T.; Xiao, J.; Lu, P.; Li, H. A Modular Cooperative Wall-Climbing Robot Based on Internal Soft Bone. Sensors 2021, 21, 7538. https://doi.org/10.3390/s21227538
Huang W, Hu W, Zou T, Xiao J, Lu P, Li H. A Modular Cooperative Wall-Climbing Robot Based on Internal Soft Bone. Sensors. 2021; 21(22):7538. https://doi.org/10.3390/s21227538
Chicago/Turabian StyleHuang, Wenkai, Wei Hu, Tao Zou, Junlong Xiao, Puwei Lu, and Hongquan Li. 2021. "A Modular Cooperative Wall-Climbing Robot Based on Internal Soft Bone" Sensors 21, no. 22: 7538. https://doi.org/10.3390/s21227538
APA StyleHuang, W., Hu, W., Zou, T., Xiao, J., Lu, P., & Li, H. (2021). A Modular Cooperative Wall-Climbing Robot Based on Internal Soft Bone. Sensors, 21(22), 7538. https://doi.org/10.3390/s21227538

