Electromyography, Stiffness and Kinematics of Resisted Sprint Training in the Specialized SKILLRUN® Treadmill Using Different Load Conditions in Rugby Players
Abstract
:1. Introduction
2. Materials and Methods
2.1. Subjects
2.2. Procedures
2.2.1. Sled-Push Test Protocol
2.2.2. Resisted-Parachute Test Protocol
2.2.3. Electromyography
2.2.4. Performance Variables
2.2.5. Kinematics
2.3. Statistical Analysis
3. Results
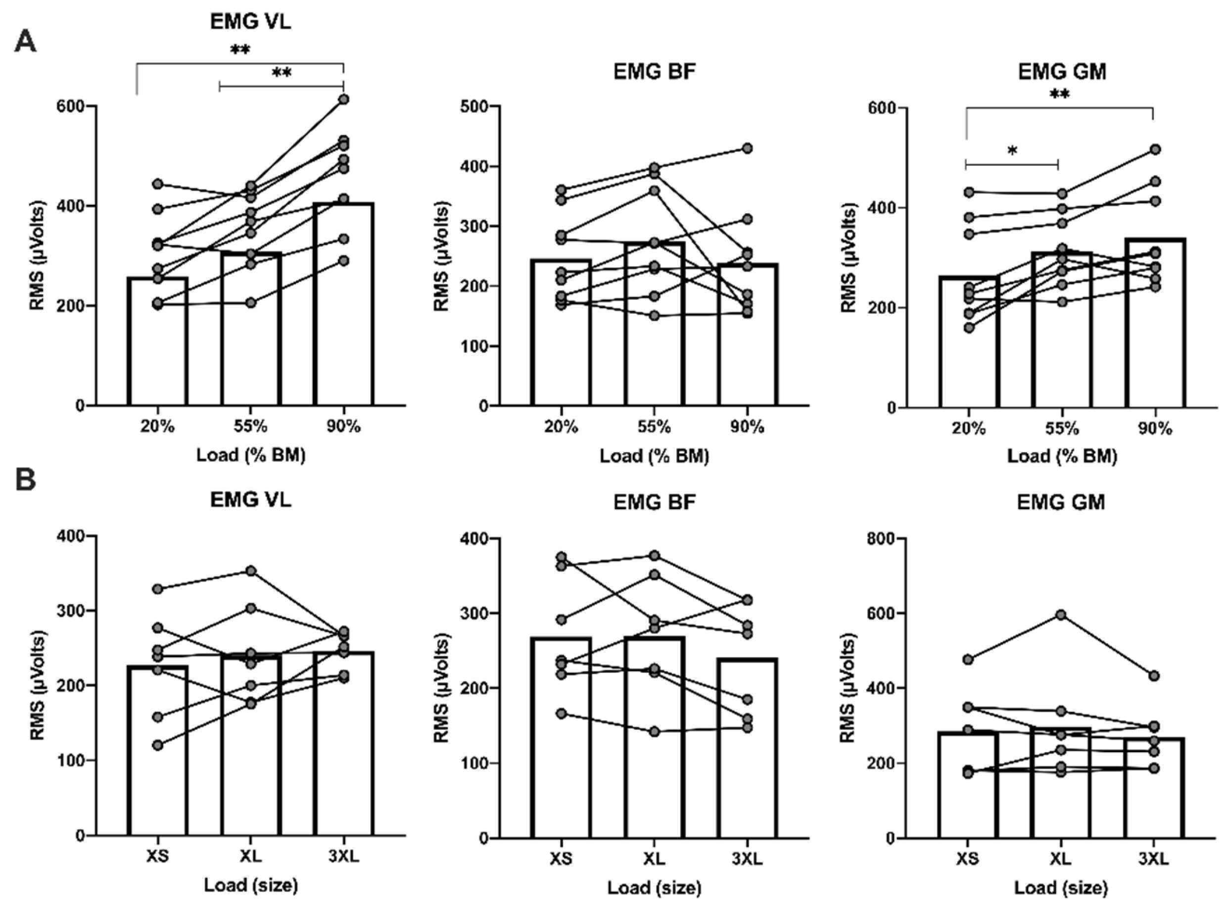
3.1. Electromyography
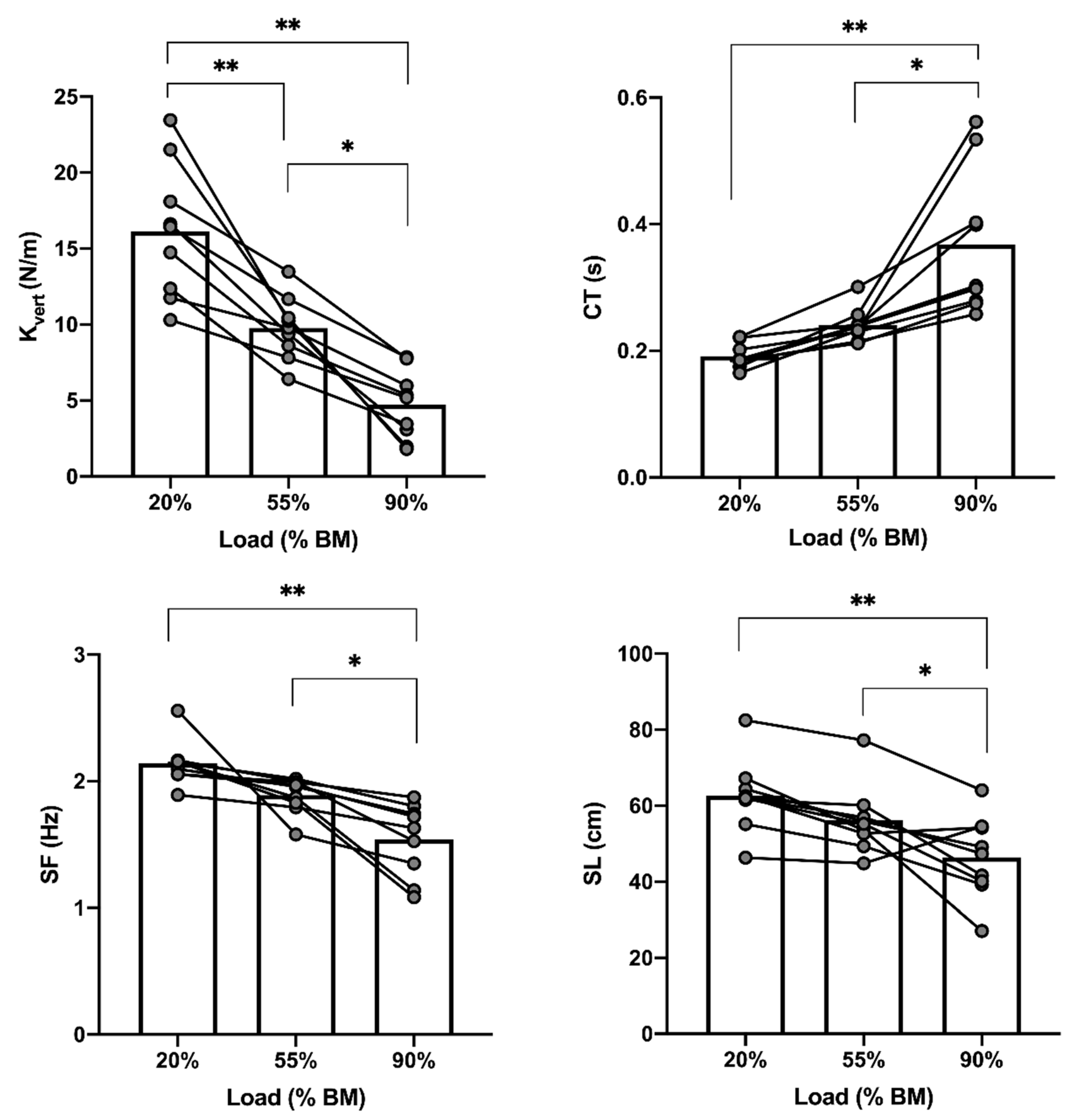
3.2. Kinematics
3.3. Performance
4. Discussion
5. Conclusions
Author Contributions
Funding
Institutional Review Board Statement
Informed Consent Statement
Data Availability Statement
Acknowledgments
Conflicts of Interest
References
- Cupples, B.; O’Connor, D. The Development of Position-Specific Performance Indicators in Elite Youth Rugby League: A Coach’s Perspective. Int. J. Sports Sci. Coach. 2011, 6, 125–141. [Google Scholar] [CrossRef]
- Duthie, G.M.; Pyne, D.B.; Marsh, D.J.; Hooper, S.L. Sprint patterns in rugby union players during competition. J. Strength Cond. Res. 2006, 20, 208–214. [Google Scholar] [CrossRef]
- Gabbett, T.J.; Jenkins, D.G.; Abernethy, B. Physical demands of professional rugby league training and competition using microtechnology. J. Sci. Med. Sport 2012, 15, 80–86. [Google Scholar] [CrossRef]
- Harries, S.K.; Lubans, D.R.; Buxton, A.; MacDougall, T.H.J.; Callister, R. Effects of 12-Week Resistance Training on Sprint and Jump Performances in Competitive Adolescent Rugby Union Players. J. Strength Cond. Res. 2018, 32, 2762–2769. [Google Scholar] [CrossRef]
- von Lieres Und Wilkau, H.C.; Irwin, G.; Bezodis, N.E.; Simpson, S.; Bezodis, I.N. Phase analysis in maximal sprinting: An investigation of step-to-step technical changes between the initial acceleration, transition and maximal velocity phases. Sports Biomech. 2020, 19, 141–156. [Google Scholar] [CrossRef] [Green Version]
- Lockie, R.G.; Murphy, A.J.; Callaghan, S.J.; Jeffriess, M.D. Effects of sprint and plyometrics training on field sport acceleration technique. J. Strength Cond. Res. 2014, 28, 1790–1801. [Google Scholar] [CrossRef]
- Loturco, I.; Kobal, R.; Kitamura, K.; Cal Abad, C.C.; Faust, B.; Almeida, L.; Pereira, L.A. Mixed Training Methods: Effects of Combining Resisted Sprints or Plyometrics with Optimum Power Loads on Sprint and Agility Performance in Professional Soccer Players. Front. Physiol. 2017, 8, 1034. [Google Scholar] [CrossRef] [Green Version]
- Delecluse, C. Influence of strength training on sprint running performance. Current findings and implications for training. Sports Med. 1997, 24, 147–156. [Google Scholar] [CrossRef]
- Behm, D.G.; Sale, D.G. Intended rather than actual movement velocity determines velocity-specific training response. J. Appl. Physiol. 1993, 74, 359–368. [Google Scholar] [CrossRef]
- Alcaraz, P.E.; Carlos-Vivas, J.; Oponjuru, B.O.; Martínez-Rodríguez, A. The Effectiveness of Resisted Sled Training (RST) for Sprint Performance: A Systematic Review and Meta-analysis. Sports Med. 2018, 48, 2143–2165. [Google Scholar] [CrossRef]
- Lahti, J.; Jiménez-Reyes, P.; Cross, M.R.; Samozino, P.; Chassaing, P.; Simond-Cote, B.; Ahtiainen, J.P.; Morin, J.-B. Individual Sprint Force-Velocity Profile Adaptations to In-Season Assisted and Resisted Velocity-Based Training in Professional Rugby. Sports 2020, 8, 74. [Google Scholar] [CrossRef]
- Spinks, C.D.; Murphy, A.J.; Spinks, W.L.; Lockie, R.G. The effects of resisted sprint training on acceleration performance and kinematics in soccer, rugby union, and Australian football players. J. Strength Cond. Res. 2007, 21, 77–85. [Google Scholar] [CrossRef]
- Nicholson, B.; Dinsdale, A.; Jones, B.; Till, K. The Training of Short Distance Sprint Performance in Football Code Athletes: A Systematic Review and Meta-Analysis. Sports Med. 2021, 51, 1179–1207. [Google Scholar] [CrossRef]
- Alcaraz, P.E.; Palao, J.M.; Elvira, J.L.; Linthorne, N.P. Effects of three types of resisted sprint training devices on the kinematics of sprinting at maximum velocity. J. Strength Cond. Res. 2008, 22, 890–897. [Google Scholar] [CrossRef] [Green Version]
- Murray, A.; Aitchison, T.C.; Ross, G.; Sutherland, K.; Watt, I.; McLean, D.; Grant, S. The effect of towing a range of relative resistances on sprint performance. J. Sports Sci. 2005, 23, 927–935. [Google Scholar] [CrossRef]
- Pareja-Blanco, F.; Pereira, L.A.; Freitas, T.T.; Alcaraz, P.E.; Reis, V.P.; Guerriero, A.; Arruda, A.F.S.; Zabaloy, S.; Sáez De Villarreal, E.; Loturco, I. Acute Effects of Progressive Sled Loading on Resisted Sprint Performance and Kinematics. J. Strength Cond. Res. 2020. published ahead. [Google Scholar] [CrossRef]
- Cahill, M.J.; Oliver, J.L.; Cronin, J.B.; Clark, K.P.; Cross, M.R.; Lloyd, R.S. Sled-Push Load-Velocity Profiling and Implications for Sprint Training Prescription in Young Athletes. J. Strength Cond. Res. 2020, 35, 3084–3089. [Google Scholar] [CrossRef]
- Cahill, M.J.; Oliver, J.L.; Cronin, J.B.; Clark, K.P.; Cross, M.R.; Lloyd, R.S. Influence of resisted sled-push training on the sprint force-velocity profile of male high school athletes. Scand. J. Med. Sci. Sports 2020, 30, 442–449. [Google Scholar] [CrossRef]
- Loturco, I.; Contreras, B.; Kobal, R.; Fernandes, V.; Moura, N.; Siqueira, F.; Winckler, C.; Suchomel, T.; Pereira, L.A. Vertically and horizontally directed muscle power exercises: Relationships with top-level sprint performance. PLoS ONE 2018, 13, e0201475. [Google Scholar] [CrossRef]
- Maddigan, M.E.; Button, D.C.; Behm, D.G. Lower-limb and trunk muscle activation with back squats and weighted sled apparatus. J. Strength Cond. Res. 2014, 28, 3346–3353. [Google Scholar] [CrossRef]
- Paulson, S.; Braun, W.A. The influence of parachute-resisted sprinting on running mechanics in collegiate track athletes. J. Strength Cond. Res. 2011, 25, 1680–1685. [Google Scholar] [CrossRef]
- Seitz, L.B.; Mina, M.A.; Haff, G.G. A sled push stimulus potentiates subsequent 20-m sprint performance. J. Sci. Med. Sport 2017, 20, 781–785. [Google Scholar] [CrossRef]
- Hermens, H.J.; Freriks, B.; Disselhorst-Klug, C.; Rau, G. Development of recommendations for SEMG sensors and sensor placement procedures. J. Electromyogr. Kinesiol. 2000, 10, 361–374. [Google Scholar] [CrossRef]
- Morin, J.B.; Dalleau, G.; Kyröläinen, H.; Jeannin, T.; Belli, A. A simple method for measuring stiffness during running. J. Appl. Biomech. 2005, 21, 167–180. [Google Scholar] [CrossRef]
- Coleman, D.R.; Cannavan, D.; Horne, S.; Blazevich, A.J. Leg stiffness in human running: Comparison of estimates derived from previously published models to direct kinematic-kinetic measures. J. Biomech. 2012, 45, 1987–1991. [Google Scholar] [CrossRef]
- Hopkins, W.G.; Marshall, S.W.; Batterham, A.M.; Hanin, J. Progressive statistics for studies in sports medicine and exercise science. Med. Sci. Sports Exerc. 2009, 41, 3–13. [Google Scholar] [CrossRef] [Green Version]
- Handsfield, G.G.; Knaus, K.R.; Fiorentino, N.M.; Meyer, C.H.; Hart, J.M.; Blemker, S.S. Adding muscle where you need it: Non-uniform hypertrophy patterns in elite sprinters. Scand. J. Med. Sci. Sports 2017, 27, 1050–1060. [Google Scholar] [CrossRef] [PubMed]
- Tottori, N.; Suga, T.; Miyake, Y.; Tsuchikane, R.; Otsuka, M.; Nagano, A.; Fujita, S.; Isaka, T. Hip Flexor and Knee Extensor Muscularity Are Associated With Sprint Performance in Sprint-Trained Preadolescent Boys. Pediatr. Exerc. Sci. 2018, 30, 115–123. [Google Scholar] [CrossRef] [PubMed]
- Nagahara, R.; Matsubayashi, T.; Matsuo, A.; Zushi, K. Kinematics of transition during human accelerated sprinting. Biol. Open 2014, 3, 689–699. [Google Scholar] [CrossRef] [PubMed]
- Lockie, R.G.; Murphy, A.J.; Spinks, C.D. Effects of resisted sled towing on sprint kinematics in field-sport athletes. J. Strength Cond. Res. 2003, 17, 760–767. [Google Scholar] [CrossRef]
- Bentley, I.; Sinclair, J.K.; Atkins, S.J.; Metcalfe, J.; Edmundson, C.J. Effect of Velocity-Based Loading on Acceleration Kinetics and Kinematics During Sled Towing. J. Strength Cond. Res. 2021, 35, 1030–1038. [Google Scholar] [CrossRef]
- McMahon, T.A.; Valiant, G.; Frederick, E.C. Groucho running. J. Appl. Physiol. 1987, 62, 2326–2337. [Google Scholar] [CrossRef]
- Hamner, S.R.; Delp, S.L. Muscle contributions to fore-aft and vertical body mass center accelerations over a range of running speeds. J. Biomech. 2013, 46, 780–787. [Google Scholar] [CrossRef] [Green Version]
- Zabaloy, S.; Carlos-Vivas, J.; Freitas, T.T.; Pareja-Blanco, F.; Loturco, I.; Comyns, T.; Gálvez-González, J.; Alcaraz, P.E. Muscle Activity, Leg Stiffness, and Kinematics During Unresisted and Resisted Sprinting Conditions. J. Strength Cond. Res. 2020. published ahead. [Google Scholar] [CrossRef] [PubMed]
- Bailey, J.; Mata, T.; Mercer, J.A. Is the Relationship Between Stride Length, Frequency, and Velocity Influenced by Running on a Treadmill or Overground? Int. J. Exerc. Sci. 2017, 10, 1067–1075. [Google Scholar]
- Turner, A.N.; Jeffreys, I. The Stretch-Shortening Cycle: Proposed Mechanisms and Methods for Enhancement. Strength Cond. J. 2010, 32, 87–99. [Google Scholar] [CrossRef] [Green Version]
- Huygaerts, S.; Cos, F.; Cohen, D.D.; Calleja-González, J.; Guitart, M.; Blazevich, A.J.; Alcaraz, P.E. Mechanisms of Hamstring Strain Injury: Interactions between Fatigue, Muscle Activation and Function. Sports 2020, 8, 65. [Google Scholar] [CrossRef] [PubMed]
- Cross, M.R.; Brughelli, M.; Samozino, P.; Brown, S.R.; Morin, J.B. Optimal Loading for Maximizing Power During Sled-Resisted Sprinting. Int. J. Sports Physiol. Perform. 2017, 12, 1069–1077. [Google Scholar] [CrossRef] [PubMed]
- Monte, A.; Nardello, F.; Zamparo, P. Sled Towing: The Optimal Overload for Peak Power Production. Int. J. Sports Physiol. Perform. 2017, 12, 1052–1058. [Google Scholar] [CrossRef]
- Izquierdo, M.; Häkkinen, K.; Gonzalez-Badillo, J.J.; Ibáñez, J.; Gorostiaga, E.M. Effects of long-term training specificity on maximal strength and power of the upper and lower extremities in athletes from different sports. Eur. J. Appl. Physiol. 2002, 87, 264–271. [Google Scholar] [CrossRef]
- Soriano, M.A.; Jiménez-Reyes, P.; Rhea, M.R.; Marín, P.J. The Optimal Load for Maximal Power Production During Lower-Body Resistance Exercises: A Meta-Analysis. Sports Med. 2015, 45, 1191–1205. [Google Scholar] [CrossRef] [PubMed]
- Besomi, M.; Hodges, P.W.; Clancy, E.A.; Van Dieën, J.; Hug, F.; Lowery, M.; Merletti, R.; Søgaard, K.; Wrigley, T.; Besier, T.; et al. Consensus for experimental design in electromyography (CEDE) project: Amplitude normalization matrix. J. Electromyogr. Kinesiol. 2020, 53, 102438. [Google Scholar] [CrossRef] [PubMed]



| Sled Push | Parachute | |||||
|---|---|---|---|---|---|---|
| 20% BM | 55% BM | 90% BM | XS | XL | 3XL | |
| Kinematic Variables | ||||||
| CT (s) | 0.192 ± 0.012 | 0.241 ± 0.026 | 0.368 ± 0.115 ** | 0.186 ± 0.012 | 0.197 ± 0.009 | 0.196 ± 0.016 |
| FT (s) | 0.297 ± 0.019 | 0.291 ± 0.025 | 0.305 ± 0.042 | 0.283 ± 0.018 | 0.277 ± 0.016 | 0.279 ± 0.026 |
| SF (Hz) | 2.14 ± 0.18 | 1.89 ± 0.14 | 1.54 ± 0.29 ** | 2.13 ± 0.09 | 2.11 ± 0.08 | 2.11 ± 0.10 |
| SL (cm) | 62.63 ± 9.64 | 56.21 ± 9.05 | 46.39 ± 10.8 ** | 59.63 ± 7.41 | 58.43 ± 6.36 | 54.25 ± 5.49 |
| Kvert (N/m) | 16.14 ± 4.42 | 9.76 ± 2.08 ** | 4.72 ± 2.28 ** | 16.48 ± 4.33 | 14.37 ± 3.19 | 14.83 ± 4.02 |
| Joint Angles | ||||||
| Aangle (º) | 106.73 ± 7.88 | 103.05 ± 11.04 | 99 ± 8.95 ** | 110.60 ± 2.99 | 108.76 ± 5.92 | 112.25 ± 6.58 |
| Kangle (º) | 142.27 ± 8.21 | 135.52 ± 9.64 | 127.63 ± 13.03 * | 143.46 ± 11.07 | 141.30 ± 12.44 | 148.87 ± 7.03 |
| Hangle (º) | 142.52 ± 6.11 | 140.73 ± 10.69 | 135.03 ± 12.29 * | 151.99 ± 6.50 | 149.37 ± 4.72 | 157.09 ± 3.78 * |
| Performance Variables | ||||||
| Pmax (W) | 704.56 ± 107.37 | 900.89 ± 132.89 ** | 826.00 ± 121.04 * | 440.71 ± 93.08 | 469.71 ± 85.19 | 533.14 ± 80.83 ** |
| Vmax (km/h) | 17.36 ± 1.03 | 13.19 ± 1.02 ** | 8.81 ± 2.62 ** | 18.83 ± 1.62 | 16.80 ± 1.69* | 15.96 ± 1.36 ** |
Publisher’s Note: MDPI stays neutral with regard to jurisdictional claims in published maps and institutional affiliations. |
© 2021 by the authors. Licensee MDPI, Basel, Switzerland. This article is an open access article distributed under the terms and conditions of the Creative Commons Attribution (CC BY) license (https://creativecommons.org/licenses/by/4.0/).
Share and Cite
Martínez-Serrano, A.; Marín-Cascales, E.; Spyrou, K.; Freitas, T.T.; Alcaraz, P.E. Electromyography, Stiffness and Kinematics of Resisted Sprint Training in the Specialized SKILLRUN® Treadmill Using Different Load Conditions in Rugby Players. Sensors 2021, 21, 7482. https://doi.org/10.3390/s21227482
Martínez-Serrano A, Marín-Cascales E, Spyrou K, Freitas TT, Alcaraz PE. Electromyography, Stiffness and Kinematics of Resisted Sprint Training in the Specialized SKILLRUN® Treadmill Using Different Load Conditions in Rugby Players. Sensors. 2021; 21(22):7482. https://doi.org/10.3390/s21227482
Chicago/Turabian StyleMartínez-Serrano, Antonio, Elena Marín-Cascales, Konstantinos Spyrou, Tomás T. Freitas, and Pedro E. Alcaraz. 2021. "Electromyography, Stiffness and Kinematics of Resisted Sprint Training in the Specialized SKILLRUN® Treadmill Using Different Load Conditions in Rugby Players" Sensors 21, no. 22: 7482. https://doi.org/10.3390/s21227482
APA StyleMartínez-Serrano, A., Marín-Cascales, E., Spyrou, K., Freitas, T. T., & Alcaraz, P. E. (2021). Electromyography, Stiffness and Kinematics of Resisted Sprint Training in the Specialized SKILLRUN® Treadmill Using Different Load Conditions in Rugby Players. Sensors, 21(22), 7482. https://doi.org/10.3390/s21227482

