A Study of Terahertz-Wave Cylindrical Super-Oscillatory Lens for Industrial Applications
Abstract
:1. Introduction
2. Methods
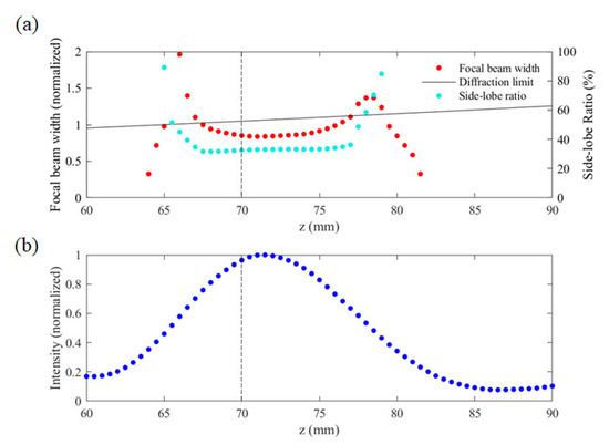
3. Results and Discussion
4. Conclusions
Author Contributions
Funding
Institutional Review Board Statement
Informed Consent Statement
Data Availability Statement
Conflicts of Interest
References
- Al-Hourani, A.; Evans, R.; Farrell, P.; Moran, B.; Martorella, M.; Kandeepan, S.; Skafidas, S.; Parampalli, U. Millimeter-wave integrated radar systems and techniques. Acad. Press Libr. Signal Process. 2018, 7, 317–363. [Google Scholar]
- Bin Sulaiman, R.; Kareem, A. A Review on Concepts and Technologies of 6G Cellular Network and Future Scope. SSRN Electron. J. 2020. [Google Scholar] [CrossRef]
- Dürig, U.; Pohl, D.W.; Rohner, F. Near-field optical scanning microscopy. J. Appl. Phys. 1986, 59, 3318. [Google Scholar] [CrossRef]
- Hunsche, S.; Koch, M.; Brener, I.; Nuss, M.C. THz near-field imaging. Opt. Commun. 1998, 150, 22–26. [Google Scholar] [CrossRef]
- Ishihara, K.; Ohashi, K.; Ikari, T.; Minamide, H.; Yokoyama, H.; Shikata, J.; Ito, H. Terahertz-wave near-field imaging with subwavelength resolution using surface-wave-assisted bow-tie aperture. Appl. Phys. Lett. 2006, 89, 201120. [Google Scholar] [CrossRef]
- Chen, Q.; Zhang, X.C. Semiconductor dynamic aperture for nearfield terahertz wave imaging. IEEE J. Sel. Top. Quantum Electron. 2001, 7, 608–614. [Google Scholar] [CrossRef]
- Bruce, M. Polarization contrast terahertz-near-field imaging of anisotropic conductors. Appl. Phys. Lett. 2007, 90, 082104. [Google Scholar]
- Liu, J.; Mendis, R.; Mittleman, D.M.; Sakoda, N. A tapered parallel plate-waveguide probe for THz near-field reflection imaging. Appl. Phys. Lett. 2012, 100, 031101. [Google Scholar] [CrossRef] [Green Version]
- Awad, M.; Nagel, M.; Kurz, H. Tapered Sommerfeld wire terahertz near-field imaging. Appl. Phys. Lett. 2009, 94, 051107. [Google Scholar] [CrossRef]
- Nakajima, M.; Kurihara, T.; Tadokoro, Y.; Kang, B.; Takano, K.; Yamaguchi, K.; Watanabe, H.; Oto, K.; Suemoto, T.; Hangyo, M. Application of Terahertz field enhancement effect in metal microstructures. J. Infrared Millim. Terahertz Waves 2016, 37, 1199–1212. [Google Scholar] [CrossRef]
- Kurihara, T.; Watanabe, H.; Nakajima, M.; Karube, S.; Oto, K.; Otani, Y.; Suemoto, T. Macroscopic magnetization control by symmetry breaking of photoinduced spin reorientation with intense terahertz magnetic near field. Phys. Rev. Lett. 2018, 120, 107202. [Google Scholar] [CrossRef] [PubMed]
- Qiu, H.; Kurihara, T.; Harada, H.; Kato, K.; Takano, K.; Suemoto, T.; Tani, M.; Sarukura, N.; Yoshimura, M.; Nakajima, M. Enhancing terahertz magnetic near field induced by a micro-split-ring resonator with a tapered waveguide. Opt. Lett. 2018, 43, 1658–1661. [Google Scholar] [CrossRef] [PubMed]
- Ohkoshi, S.; Yoshikiyo, M.; Imoto, K.; Nakagawa, K.; Namai, A.; Tokoro, H.; Yahagi, Y.; Takeuchi, K.; Jia, F.; Miyashita, S.; et al. Magnetic pole flip by millimeter wave. Adv. Mater. 2020, 32, 2004897. [Google Scholar] [CrossRef] [PubMed]
- Li, D.; Nakajima, M.; Tani, M.; Yang, J.; Kitahara, H.; Hashida, M.; Asakawa, M.; Liu, W.; Wei, Y.; Yang, Z. Terahertz radiation from combined metallic slit arrays. Sci. Rep. 2019, 9, 6804. [Google Scholar] [CrossRef] [PubMed]
- Li, D.; Wang, Y.; Nakajima, M.; Tani, M.; Hashida, M.; Asakawa, M.R.; Wei, Y.; Miyamoto, S. Coherent radiation at the fundamental frequency by a Smith-Purcell free-electron laser with dielectric substrate. Appl. Phys. Lett. 2017, 110, 15110. [Google Scholar] [CrossRef]
- Pander, A.; Takano, K.; Nakajima, M.; Hatta, A.; Furuta, H. Shape-dependent infrared reflectance properties of CNT forest metamaterial arrays. Opt. Express 2020, 28, 607–625. [Google Scholar] [CrossRef] [PubMed]
- Tadokoro, Y.; Nishikawa, T.; Kang, B.; Takano, K.; Hangyo, M.; Nakajima, M. Measurement of beam profiles by terahertz sensor card with cholesteric liquid crystals. Opt. Lett. 2015, 40, 4456. [Google Scholar] [CrossRef]
- Wang, L.; Qiu, H.; Phan, T.N.K.; Kato, K.; Kang, B.; Takano, K.; Lu, Y.Q.; Chen, L.; Lv, P.; Yu, K.; et al. Visible Measurement of Terahertz Power Based on Capsulized Cholesteric Liquid Crystal Film. Appl. Sci. 2018, 8, 2580. [Google Scholar] [CrossRef]
- Wang, L.; Xiao, R.; Yang, S.; Qiu, H.; Shen, Z.; Lv, P.; Zhang, C.; Wei, W.; Nakajima, M.; Jin, B.; et al. 3D porous graphene assisted capsulized cholesteric liquid crystals for terahertz power visualization. Opt. Lett. 2020, 45, 5892–5895. [Google Scholar] [CrossRef]
- Qiu, H.; Wang, L.; Shen, Z.; Kato, K.; Sarukura, N.; Yoshimura, M.; Hu, W.; Lu, Y.; Nakajima, M. Magnetically and electrically polarization-tunable THz emitter with integrated ferromagnetic heterostructure and large birefringence liquid crystal. Appl. Phys. Express 2018, 11, 1–4. [Google Scholar] [CrossRef]
- Agulto, V.C.; Toya, K.; Phan, T.N.K.; Mag-usara, V.K.; Li, J.; Empizo, M.J.F.; Iwamoto, T.; Goto, K.; Murakami, H.; Kumagai, Y.; et al. Anisotropic complex refractive index of β-Ga2O3 bulk and epilayer evaluated by terahertz time-domain spectroscopy. Appl. Phys. Lett. 2021, 118, 042101. [Google Scholar] [CrossRef]
- Agulto, V.C.; Iwamoto, T.; Kitahara, H.; Toya, K.; Mag-usara, V.K.; Imanishi, M.; Mori, Y.; Yoshiura, M.; Nalajima, M. Terahertz time-domain ellipsometry with high precision for the evaluation of GaN crystals with carrier densities up to 1020 cm−3. Sci. Rep. 2021, 11, 18129. [Google Scholar] [CrossRef] [PubMed]
- Nakajima, M.; Takubo, N.; Hiroi, Z.; Ueda, Y.; Suemoto, T. Photoinduced metallic state in VO2 proved by the terahertz pump-probe spectroscopy. Appl. Phys. Lett. 2008, 92, 011907. [Google Scholar] [CrossRef]
- Nakajima, M.; Takubo, N.; Hiroi, Z.; Ueda, Y.; Suemoto, T. Study of photo-induced phenomena in VO2 by terahertz pump-probe spectroscopy. J. Lumin. 2009, 129, 1802–1805. [Google Scholar] [CrossRef]
- Fitzky, G.; Nakajima, M.; Koike, Y.; Leitenstorfer, A.; Kurihara, T. Ultrafast control of magnetic anisotropy by resonant excitation of 4f electrons and phonons in Sm0.7Er0.3FeO3. Phys. Rev. Lett. 2021, 127, 107401. [Google Scholar] [CrossRef]
- Matsui, T.; Mori, H.; Inose, Y.; Kuromiya, S.; Takano, K.; Nakajima, M.; Hangyo, M. Efficient optical terahertz-transmission modulation in solution-processable organic semiconductor thin films on silicon substrate. Jpn. J. Appl. Phys. 2016, 55, 03DC12. [Google Scholar] [CrossRef]
- Kurihara, T.; Qiu, H.; Kato, K.; Watanabe, H.; Nakajima, M. Enhanced detection sensitivity of terahertz magnetic nearfield with cryogenically-cooled magnetooptical sampling in terbium-gallium-garnet. Appl. Phys. Lett. 2018, 113, 111103. [Google Scholar] [CrossRef]
- Kurihara, T.; Hirota, K.; Qui, H.; Phan, K.T.N.; Kato, K.; Isoyama, G.; Nakajima, M. Reconfiguration of magnetic domain structures of ErFeO3 by intense terahertz free electron laser pulses. Sci. Rep. 2020, 10, 7321. [Google Scholar] [CrossRef]
- Makino, K.; Kato, K.; Takano, K.; Saito, Y.; Tominaga, J.; Nakano, T.; Isoyama, G.; Nakajima, M. Significant volume expansion as a precursor to ablation and micropattern formation in phase change material induced by intense terahertz pulses. Sci. Rep. 2018, 8, 2914. [Google Scholar] [CrossRef] [Green Version]
- Makino, K.; Kuromiya, S.; Takano, K.; Kato, K.; Nakajima, M.; Saito, Y.; Tominaga, J.; Iida, H.; Kinoshita, M.; Nakano, T. THz pulse detection by multilayered GeTe/Sb2Te3. ACS Appl. Mater. Interfaces 2016, 8, 32408–32413. [Google Scholar] [CrossRef]
- Que, C.T.; Edamura, T.; Nakajima, M.; Tani, M.; Hangyo, M. Terahertz Radiation from InAs Films on Silicon Substrates Excited by Femtosecond Laser Pulses. Jpn. J. Appl. Phys. 2009, 48, 010211. [Google Scholar] [CrossRef]
- Han, Z.; Takida, Y.; Ohno, S.; Minamide, H. Terahertz Fresnel-zone-plate film lens based on double-layer metamaterial phase shifter. Terahertz Photonics 2020, 11348, 1134806. [Google Scholar]
- Palka, N.; Rybak, A.; Czerwińska, E.; Florkowski, M. Terahertz Detection of wavelength-size metal particles in pressboard samples. IEEE Trans. Terahertz Sci. Technol. 2016, 6, 99–107. [Google Scholar] [CrossRef]
- Pizzuto, A.; Mittleman, D.M.; Klarskov, P. Laser THz emission nanoscopy and THz nanoscopy. Opt. Express 2020, 28, 18778–18789. [Google Scholar] [CrossRef] [PubMed]
- Huang, F.M.; Zheludev, N.; Chen, Y.; de Abajo, F.J.G.; Huang, F. Focusing of light by a nanohole array. Appl. Phys. Lett. 2007, 90, 091119. [Google Scholar] [CrossRef] [Green Version]
- Rogers, E.T.F.; Lindberg, J.; Roy, T.; Savo, S.; Chad, J.E.; Dennis, M.R.; Zheludev, N.I. A super-oscillatory lens optical microscope for subwavelength imaging. Nat. Mater. 2012, 11, 432. [Google Scholar] [CrossRef]
- Ruan, D.; Li, Z.; Du, L.; Zhou, X.; Zhu, L.; Lin, C.; Yang, M.; Chen, G.; Yuan, W.; Liang, G.; et al. Realizing a terahertz far-field sub-diffraction optical needle with sub-wavelength concentric ring structure array. Appl. Opt. 2018, 57, 7905–7909. [Google Scholar] [CrossRef]
- Suszek, J.; Siemion, A.; Bieda, M.; Błocki, N.; Coquillat, D.; Cywiński, G.; Czerwinska, E.; Doch, M.; Kowalczyk, A.; Pałka, N.; et al. 3-D-printed flat optics for THz linear scanners. IEEE Trans. Terahertz Sci. Technol. 2015, 5, 314–316. [Google Scholar] [CrossRef]
- Iba, A.; Domier, C.W.; Ikeda, M.; Mase, A.; Nakajima, M.; Pham, A.V.; Luhmann, N.C. Subdiffraction focusing with a longfocallength using a terahertz-wave super-oscillatory lens. Opt Lett. 2021, 46, 4912–4915. [Google Scholar] [CrossRef]
- Legaria, S.; Pacheco-Peña, V.; Beruete, M. Super-oscillatory metalens at terahertz for enhanced focusing with reduced side lobes. Photonics 2018, 5, 56. [Google Scholar] [CrossRef] [Green Version]
- Li, M.; Li, W.; Li, H.; Zhu, Y.; Yu, Y. Controllable design of superoscillatory lenses with multiple subdiffraction-limit foci. Sci. Rep. 2017, 7, 1335. [Google Scholar] [CrossRef] [PubMed] [Green Version]
- He, X. Investigation of terahertz Sommerfeld wave propagation along conical metal wire. J. Opt. Soc. Am. 2009, 26, A23–A28. [Google Scholar] [CrossRef]
- Liu, T.; Tan, J.; Liu, J.; Wang, H. Vectorial design of super-oscillatory lens. Opt. Express 2013, 21, 15090–15101. [Google Scholar] [CrossRef] [PubMed]
- Deng, D.; Guo, Q. Analytical vectorial structure of radially polarized light beams. Opt. Lett. 2007, 32, 2711–2713. [Google Scholar] [CrossRef] [PubMed]
- Jin, N.; Rahmat-Samii, Y. Advances in particle swarm optimization for antenna designs: Real-number, binary, single-objective and multiobjective implementations. IEEE Trans. Antennas Propag. 2007, 55, 556–567. [Google Scholar] [CrossRef]
- Born, M.; Wolf, E. Principle of Optics, 7th ed.; Cambridge University Press: Cambridge, UK, 1999. [Google Scholar]
- Mukherjee, M.; Mazumder, N.; Roy, S.K.; Goswami, K. GaN IMPATT diode: A photo-sensitive high power terahertz source. Semicond. Sci. Technol. 2007, 12, 1258. [Google Scholar] [CrossRef]
- Alekseev, E.; Pavlidis, D. GaN Gunn diodes for THz signal generation. In Proceedings of the 2000 IEEE MTT-S International Microwave Symposium Digest (Cat. No.00CH37017), Boston, MA, USA, 11–16 June 2000; Volume 3, pp. 1905–1908. [Google Scholar]
- Izumi, R.; Sato, T.; Suzuki, S.; Asada, M. Resonant-tunneling-diode terahertz oscillator with a cylindrical cavity for high-frequency oscillation. AIP Adv. 2019, 9, 085020. [Google Scholar] [CrossRef]







Publisher’s Note: MDPI stays neutral with regard to jurisdictional claims in published maps and institutional affiliations. |
© 2021 by the authors. Licensee MDPI, Basel, Switzerland. This article is an open access article distributed under the terms and conditions of the Creative Commons Attribution (CC BY) license (https://creativecommons.org/licenses/by/4.0/).
Share and Cite
Iba, A.; Ikeda, M.; Agulto, V.C.; Mag-usara, V.K.; Nakajima, M. A Study of Terahertz-Wave Cylindrical Super-Oscillatory Lens for Industrial Applications. Sensors 2021, 21, 6732. https://doi.org/10.3390/s21206732
Iba A, Ikeda M, Agulto VC, Mag-usara VK, Nakajima M. A Study of Terahertz-Wave Cylindrical Super-Oscillatory Lens for Industrial Applications. Sensors. 2021; 21(20):6732. https://doi.org/10.3390/s21206732
Chicago/Turabian StyleIba, Ayato, Makoto Ikeda, Verdad C. Agulto, Valynn Katrine Mag-usara, and Makoto Nakajima. 2021. "A Study of Terahertz-Wave Cylindrical Super-Oscillatory Lens for Industrial Applications" Sensors 21, no. 20: 6732. https://doi.org/10.3390/s21206732
APA StyleIba, A., Ikeda, M., Agulto, V. C., Mag-usara, V. K., & Nakajima, M. (2021). A Study of Terahertz-Wave Cylindrical Super-Oscillatory Lens for Industrial Applications. Sensors, 21(20), 6732. https://doi.org/10.3390/s21206732

