Relationship between Muscular Activity and Postural Control Changes after Proprioceptive Focal Stimulation (Equistasi®) in Middle-Moderate Parkinson’s Disease Patients: An Explorative Study
Abstract
1. Introduction
2. Material and Methods
2.1. Subjects
2.2. Equistasi Device
- It is wearable: This device is applied as a regular bandage strip during daily motor activities with total independence or during the rehabilitation treatment carried out by a physiotherapist or professional in the sector.
- It is lightweight: This device is 1 × 2 cm in size and has a feather-light weight of only 0.17 g.
- It is multi-applicable: This device can be reused several times and in different areas for different issues, depending on the instructions of the therapist or doctor.
- It will not expire: Other than general wear, this device will never expire.
2.3. Randomization and Blindness
2.4. Study Design
- (T0) baseline before enrolling;
- (T1) second assessment at the end of the first 8-week treatment period;
- (T2) third assessment at the end of the 4-week wash-out period, coinciding with the beginning of the second treatment period;
- (T3) fourth assessment at the end of the second 8-week treatment period.
2.5. Gait Analysis Protocol
3. Data Processing
3.1. Romberg Test
3.2. Spatio-Temporal Parameters
3.3. sEMG
4. Statistical Analysis
5. Results
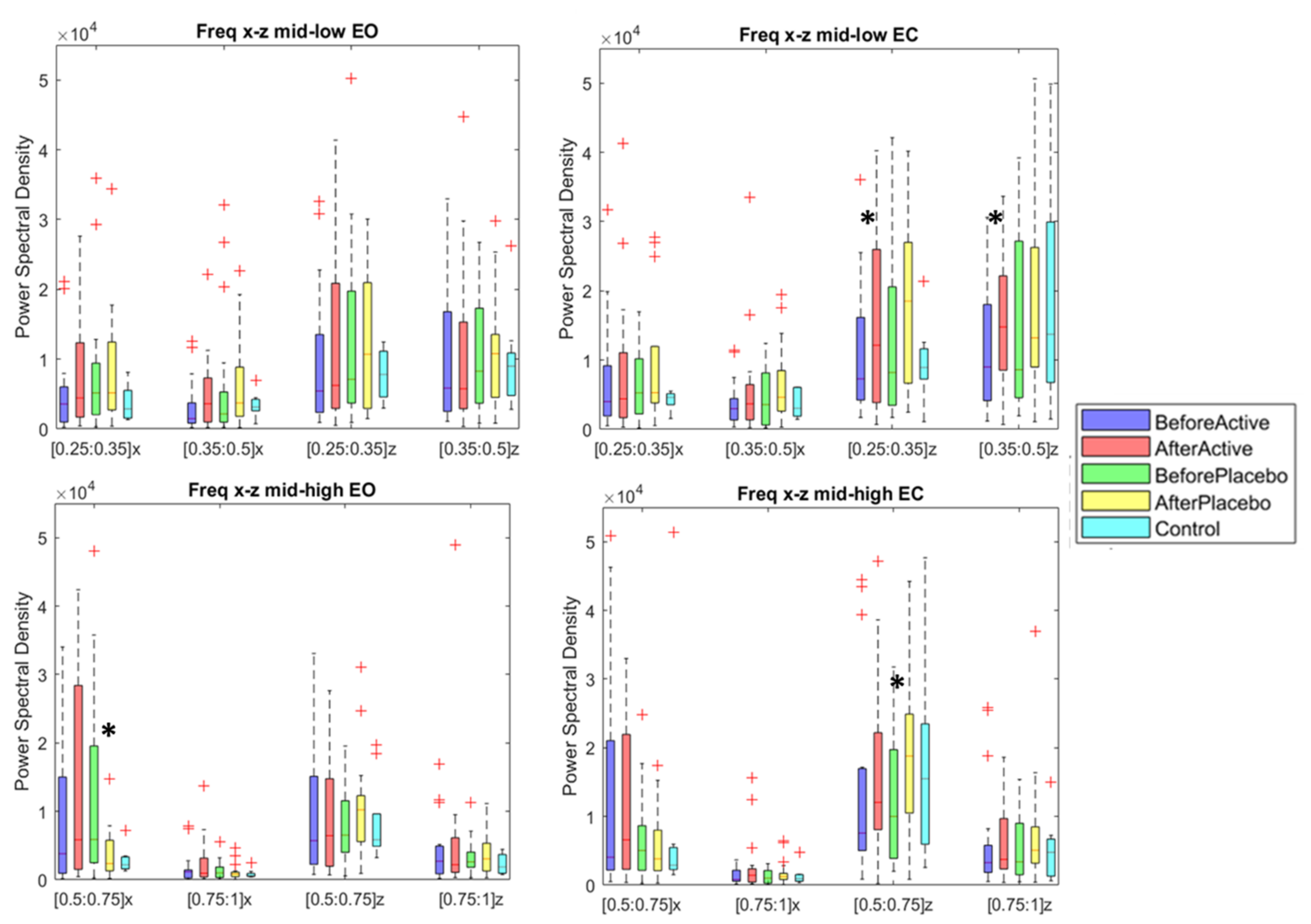
5.1. Romberg Test
5.2. sEMG
5.3. Spatio-Temporal Parameters
5.4. Kendall’s Correlation
5.4.1. sEMG and Spatio-Temporal Parameters
5.4.2. sEMG and Romberg Test
5.4.3. Linear Mixed Model (Treatment Effect on sEMG)
- For the TA PoE variable, the LME model showed that the average of TA PoE measured in AE and AP were significantly smaller (around 31 and 29 units) than the average obtained in BE.
- For the GL PoE variable, we noticed that the average of GL PoE measured in BP was significantly smaller (around 18 units) than the average obtained in BE, whereas the average of GL PoE measured in AP was significantly greater (around 37 unit) than the one obtained in BP.
- For the BF PoE variable, we observed the same behavior as in the analysis of the GL PoE variable.
6. Discussion
Supplementary Materials
Author Contributions
Funding
Institutional Review Board Statement
Informed Consent Statement
Data Availability Statement
Acknowledgments
Conflicts of Interest
References
- De Lau, L.M.; Breteler, M.M. Epidemiology of Parkinson’s disease. Lancet Neurol. 2006, 5, 525–535. [Google Scholar] [CrossRef]
- Peppe, A.; Parvati, S.; Baldassare, M.G.; Bakdounes, L.; Spolaor, F.; Guiotto, A.; Pavan, D.; Sawacha, Z.; Bottino, S.; Clerici, D.; et al. Proprioceptive Focal Stimulation (Equistasi®) May Improve the Quality of Gait in Middle-Moderate Parkinson’s Disease Patients. Double-Blind; Double-Dummy; Randomized; Crossover; Italian Multicentric Study. Front. Neurol. 2019, 10, 998. [Google Scholar] [CrossRef] [PubMed]
- Deng, H.; Wang, P.; Jankovic, J. The genetics of Parkinson disease. Ageing Res. Rev. 2018, 42, 72–85. [Google Scholar] [CrossRef] [PubMed]
- Tramontano, M.; Bonnì, S.; Martino Cinnera, A.; Marchetti, F.; Caltagirone, C.; Koch, G.; Peppe, A. Blindfolded balance training in patients with Parkinson’s disease: A sensory-motor strategy to improve the gait. Parkinsons Dis. 2016, 2016, 7536862. [Google Scholar] [CrossRef][Green Version]
- Canning, C.G.; Ada, L.; Johnson, J.J.; McWhirter, S. Walking capacity in mild to moderate Parkinson’s dis-ease. Arch. Phys. Med. Rehabil. 2006, 87, 371–375. [Google Scholar] [CrossRef]
- Garber, C.E.; Friedman, J.H. Effects of fatigue on physical activity and function in patients with Parkin-son’s disease. Neurology 2003, 60, 1119–1124. [Google Scholar] [CrossRef]
- Stack, E.; Jupp, K.; Ashburn, A. Developing methods to evaluate how people with Parkinson’s disease turn 180 degrees: An activity frequently associated with falls. Disabil. Rehabil. 2004, 26, 478–484. [Google Scholar] [CrossRef]
- Kudlicka, A.; Clare, L.; Hindle, J.V. Executive functions in Parkinson’s disease: Systematic review and meta-analysis. Mov. Disord. 2011, 26, 2305–2315. [Google Scholar] [CrossRef]
- Isella, V.; Melzi, P.; Grimaldi, M.; Iurlaro, S.; Piolti, R.; Ferrarese, C.; Frattola, L.; Appollonio, I. Clinical neuropsychological; and morphometric correlates of apathy in Parkinson’s disease. Mov. Disord. 2002, 17, 366–371. [Google Scholar] [CrossRef]
- Konczak, J.; Corcos, D.M.; Horak, F.; Poizner, H.; Shapiro, M.; Tuite, P.; Volkmann, J.; Maschke, M. Proprioception and motor control in Parkinson’s disease. J. Mot. Behav. 2009, 41, 6. [Google Scholar] [CrossRef]
- Butler, A.J.; Fink, G.R.; Dohle, C.; Wunderlich, G.; Tellmann, L.; Seitz, R.J.; Zilles, K.; Freund, H.J. Neural mechanisms underlying reaching for remembered targets cued kinesthetically or visually in left or right hemispace. Hum. Brain Mapp. 2004, 21, 165–177. [Google Scholar] [CrossRef]
- Diener, H.C.; Dichgans, J.; Guschlbauer, B.; Mau, H. The significance of proprioception on postural stabilization as assessed by ischemia. Brain Res. 1984, 296, 103–109. [Google Scholar] [CrossRef]
- Dietz, V. Proprioception and locomotor disorders. Nat. Rev. Neurosci. 2002, 3, 781–790. [Google Scholar] [CrossRef] [PubMed]
- Sainburg, R.L.; Ghilardi, M.F.; Poizner, H.; Ghez, C. Control of limb dynamics in normal subjects and patients without proprioception. J. Neurophysiol. 1995, 73, 820–835. [Google Scholar] [CrossRef]
- Poizner, H.; Feldman, A.G.; Levin, M.F.; Berkinblit, M.B.; Hening, W.A.; Patel, A.; Adamovich, S.V. The timing of arm-trunk coordination is deficient and vision-dependent in Parkinson’s patients during reaching movements. Exp. Brain Res. 2000, 133, 279–292. [Google Scholar] [CrossRef] [PubMed]
- Goetz, C.G.; Tilley, B.C.; Shaftman, S.R.; Stebbins, G.T.; Fahn, S.; Martinez-Martin, P.; Poewe, W.; Sampaio, C.; Stern, M.B.; Dodel, R.; et al. Movement disorder society-sponsored revision of the unified Parkinson’s disease rating scale (MDS-UPDRS): Scale presentation and clinimetric testing results. Mov. Disord. 2008, 23, 2129–2170. [Google Scholar] [CrossRef]
- Flood, M.W.; Jensen, B.R.; Malling, A.M.; Lowery, M.M. Increased EMG intermuscular coherence and reduced signal complexity in Parkinson’s disease. Clin. Neurophysiol. 2019, 130, 259–269. [Google Scholar] [CrossRef]
- Kim, H.F.; Hikosaka, O. Parallel basal ganglia circuits for voluntary and automatic behaviour to reach rewards. Brain 2015, 138, 1776–1800. [Google Scholar] [CrossRef]
- Nijkrake, M.J.; Keus, S.H.J.; Kalf, J.G.; Sturkenboom, I.H.W.M.; Munneke, M.; Kappelle, A.C.; Bloem, B.R. Allied health care interventions and complementary therapies in Parkinson’s disease. Parkinsonism Relat. Disord. 2007, 13, S488–S494. [Google Scholar] [CrossRef]
- Peppe, A.; Chiavalon, C.; Pasqualetti, P.; Crovato, D.; Caltagirone, C. Does gait analysis quantify motor rehabilitation efficacy in Parkinson’s disease patients? Gait. Posture 2007, 26, 452–462. [Google Scholar] [CrossRef]
- Cole, M.H.; Silburn, P.A.; Wood, J.M.; Worringham, C.J.; Kerr, G.K. Falls in Parkinson’s disease: Kinematic evidence for impaired head and trunk control. Mov. Disord. 2010, 25, 2369–2378. [Google Scholar] [CrossRef] [PubMed]
- Latt, M.D.; Menz, H.B.; Fung, V.S.; Lord, S.R. Acceleration patterns of the head and pelvis during gait in older people with Parkinson’s disease: A comparison of fallers and nonfallers. J. Gerontol. A Biol. Sci. Med. Sci. 2009, 64, 700–706. [Google Scholar] [CrossRef] [PubMed]
- Horak, F.B.; Mancini, M.; Carlson-Kuhta, P.; Nutt, J.G.; Salarian, A. Balance and gait represent independent domains of mobility in Parkinson disease. Phys. Ther. 2016, 96, 1364–1371. [Google Scholar] [CrossRef] [PubMed]
- Hass, C.J.; Bishop, M.; Moscovich, M.; Stegemöller, E.L.; Skinner, J.; Malaty, I.A.; Shukla, A.W.; McFarland, N.; Okun, M.S. Defining the clinically meaningful difference in gait speed in persons with Parkinson disease. J. Neurol. Phys. Ther. 2014, 38, 233–238. [Google Scholar] [CrossRef]
- Volpe, D.; Giantin, M.G.; Fasano, A.A. Wearable Proprioceptive Stabilizer (Equistasi®) for Rehabilitation of Postural Instability in Parkinson’s Disease: A Phase II Randomized Double-Blind; Double-Dummy; Controlled Study. PLoS ONE 2014, 11, e112065. [Google Scholar] [CrossRef]
- Serio, F.; Minosa, C.; DeLuca, M.; Conte, P.; Albani, G.; Peppe, A. Focal Vibration Training (Equistasi®) to Improve Posture Stability. A Retrospective Study in Parkinson’s Disease. Sensors 2019, 19, 2101. [Google Scholar] [CrossRef]
- Alfonsi, E.; Paone, P.; Tassorelli, P.; De Icco, R.; Moglia, A.; Alvisi, E.; Marchetta, L.; Fresia, M.; Montini, A.; Calabrese, M.; et al. Acute effects of high-frequency microfocal vibratory stimulation on the H reflex of the soleus muscle. A double-blind study in health subjects. Funct. Neurol. 2015, 30, 269–274. [Google Scholar] [CrossRef]
- Volpe, D.; Pavan, D.; Morris, M.; Guiotto, A.M.; Iansek, R.; Fortuna, S.; Frazzitta, G.; Sawacha, Z. Underwater gait analysis in Parkinson’s disease. Gait&Post 2017, 52, 87–94. [Google Scholar] [CrossRef]
- Dickstein, R. Stroke: A Critical Review of Intervention Approaches. Neurorehabilit. Neural Repair 2008, 22, 649–660. [Google Scholar] [CrossRef]
- Suhr, J.; Zhang, W.; Ajayan, P.M.; Koratkar, N.A. Temperature-activated interfacial friction damping in carbon nanotube polymer composites. Nano Lett. 2006, 6, 219–223. [Google Scholar] [CrossRef]
- Kahaly, M.U.; Waghmare, U.V. Vibrational properties of single-wall carbon nanotubes: A first-principles study. J. Nanosci. Nanotechnol. 2007, 7, 1787–1792. [Google Scholar] [CrossRef] [PubMed]
- Seo, N.J.; Lakshminarayanan, K.; Bonilha, L.; Lauer, A.W.; Schmit, B.D. Effect of imperceptible vibratory noise applied to wrist skin on fingertip touch evoked potentials—An EEG study. Physiol. Rep. 2015, 3, e12624. Available online: https://equistasi.com/en/equistasi/ (accessed on 15 November 2020). [CrossRef] [PubMed]
- Available online: https://www.nlm.nih.gov/ (accessed on 15 November 2020).
- Sawacha, Z.; Guarneri, G.; Cristoferi, G.; Guiotto, A.; Avogaro, A.; Cobelli, C. Diabetic gait and posture abnormalities: A biomechanical investigation through three dimensional gait analysis. Clin. Biomech. 2009, 24, 722–728. [Google Scholar] [CrossRef]
- Sawacha, Z.; Carraro, E.; Del Din, S.; Guiotto, A.; Bonaldo, L.; Punzi, L.; Cobelli, C.; Masiero, S. Biomechanical assessment of balance and posture in subjects with ankylosing spondylitis. J. Neuroeng. Rehabil. 2012, 9, 63. [Google Scholar] [CrossRef] [PubMed]
- Blanc, Y.; Dimanico, U. Open Access Electrode Placement in Surface Electromyography (sEMG) “Minimal Crosstalk Area” (MCA). Open Rehabil. J. 2010, 3, 110–126. [Google Scholar] [CrossRef]
- Oppenheim, U.; Kohen-Raz, R.; Alex, D.; Kohen-Raz, A.; Azarya, M. Postural characteristics of diabetic neuropathy. Diabetes Care 1999, 22, 328–332. [Google Scholar] [CrossRef]
- Kohen-Raz, R. Application of Tetra-ataxia-metric posturography in clinical and developmental diagnosis. Percept. Mot. Skills 1991, 73, 635–656. [Google Scholar] [CrossRef]
- De Wit, G. Optic versus vestibular and proprioceptive impulses; measured by posturometry. Agressologie 1972, 13, 75–79. [Google Scholar]
- Taguchi, K. Spectral analysis of movement of the center of gravity in vertiginous and ataxicpatients. Agressologie 1978, 19, 69–70. [Google Scholar]
- Kohen-Raz, R.; Volkmar, F.R.; Cohen, D.J. Postural control in children with autism. J. Autism. Dev. Disord. 1992, 22, 419–432. [Google Scholar] [CrossRef]
- Kohen-Raz, R.; Hiriart borde, E. Some observations on tetraataxiametric patterns ofstatic balance and their relation to mentaland scholastic achievement. Percept. Mot. Skills 1979, 18, 871–890. [Google Scholar] [CrossRef] [PubMed]
- Perry, J.; Davids, J.R. Gait analysis: Normal and pathological function. J. Pediatr. Orthop. 1992, 12, 815. [Google Scholar] [CrossRef]
- Volpe, D.; Spolaor, F.; Sawacha, Z.; Guiotto, A.; Pavan, D.; Bakdounes, L.; Urbani, V.; Frazzitta, G.; Iansek, R. Muscular activation changes in lower limbs after underwater gait training in Parkinson’s disease: A surface emg pilot study. Gait Posture 2020, 80, 185–191. [Google Scholar] [CrossRef] [PubMed]
- Gurka, M.J.; Edwards, L.J.; Muller, K.E.; Kupper, L.L. Extending the Box–Cox transformation to the linear mixed model. J. R. Stat. Soc. Ser. A Stat. Soc. 2006, 169, 273–288. [Google Scholar] [CrossRef]
- Han, J.; Kim, E.; Jung, J.; Lee, J.; Sung, H.; Kim, J. Effect of muscle vibration on spatiotemporal gait parameters in patients with Parkinson’s disease. J. Phys. Ther. Sci. 2014, 26, 671–673. [Google Scholar] [CrossRef]
- Mileti, I.; Zampogna, A.; Santuz, A.; Asci, F.; Del Prete, Z.; Arampatzis, A.; Palermo, E.; Suppa, A. Muscle Synergies in Parkinson’s Disease. Sensors 2020, 20, 3209. [Google Scholar] [CrossRef]
- Horak, F.B.; Nutt, J.G.; Nashner, L.M. Postural inflexibility in parkinsonian subjects. J. Neurol. Sci. 1992, 111, 46–58. [Google Scholar] [CrossRef]
- Paul, S.S.; Canning, C.G.; Sherrington, C.; Fung, V.S. Reproducibility of measures of leg muscle power, leg muscle strength, postural sway and mobility in people with Parkinson’s disease. Gait Posture 2012, 36, 639–642. [Google Scholar] [CrossRef]
- Fukunaga, J.Y.; Quitschal, R.M.; Doná, F.; Ferraz, H.B.; Ganança, M.M.; Caovilla, H.H. Postural control in Parkinson’s disease. Braz. J. Otorhinolaryngol. 2014, 80, 508–514. [Google Scholar] [CrossRef]
- Crouse, J.J.; Phillips, J.R.; Jahanshahi, M.; Moustafa, A.A. Postural instability and falls in Parkinson’s disease. Rev. Neurosci. 2016, 27, 549–555. [Google Scholar] [CrossRef]
- Zhang, S.; Manor, B.; Li, L. H-Index Is Important for Postural Control for People with Impaired Foot Sole Sensation. PLoS ONE 2015, 10, e0121847. [Google Scholar] [CrossRef] [PubMed]
- Quattrone, A.; Barbagallo, G.; Cerasa, A.; Stoessl, A.J. Neurobiology of placebo effect in Parkinson’s disease: What we have learned and where we are going AJ. Mov. Disord. 2018, 33, 1213–1227. [Google Scholar] [CrossRef] [PubMed]




| Mean | ±SD | |
|---|---|---|
| Age (years) | 67.46 | 10.27 |
| Weight (kg) | 77.06 | 15.86 |
| Height (m) | 1.70 | 0.11 |
| BMI (kg/m2) | 26.31 | 3.23 |
| Years of disease | 11.88 | 3.23 |
| UPDRS III Total | 36.04 | 16.6 |
| UPDRS III SCALE ITEM 10 | 1.55 | 0.74 |
| UPDRS III SCALE ITEM 11 | 0.5 | 1.05 |
| UPDRS III SCALE ITEM 12 | 1.8 | 0.8 |
| UPDRS III SCALE ITEM 13 | 1.45 | 1.06 |
| LEDD (mg) | 757.14 | 290.88 |
| HY | 2.46 | 0.51 |
| ABC Scale | 35.41 | 12.61 |
| PDQ-39 | 50.71 | 24.50 |
| Fall Rate (last month) | 0.14 | 0.47 |
| Active | Placebo | CS | |||
|---|---|---|---|---|---|
| Before | After | Before | After | ||
| Mean (±SD) | Mean (±SD) | Mean (±SD) | Mean (±SD) | Mean (±SD) | |
| Stride (m) | 0.93(0.22) ° | 0.96(0.18) *° | 0.91(0.17) ° | 0.91(0.17) ° | 1.10(0.10) |
| Time (s) | 1.13(0.14) | 1.16(0.16) | 1.20(0.20) ° | 1.16(0.18) * | 1.00(0.10) |
| Velocity (m/s) | 0.84(0.22) ° | 0.85(0.20) ° | 0.78(0.19) ° | 0.81(0.23) ° | 1.01(0.10) |
| Stance (% gait cycle) | 63.34(3.18) ° | 63.10(3.55) ° | 63.33(3.55) | 63.82(3.35) ° | 61.40(2.90) |
| Estimates | Standard Error | 95% Confidence Interval | p-Value | ||
|---|---|---|---|---|---|
| TA PoE | BE | 300.625 | 11.850 | (277.399, 323.851) | <0.001 |
| AE–BE | −30.729 | 9.678 | (−49.697, −11.762) | <0.001 | |
| BP–BE | −10.688 | 9.076 | (−28.477, 7.102) | 0.232 | |
| AP–BE | −29.085 | 11.178 | (−50.993, −7.177) | 0.002 | |
| AP–BP | −18.397 | 10.590 | (−39.152, 2.358) | 0.082 | |
| GL PoE | BE | 257.112 | 11.416 | (234.737, 279.487) | <0.001 |
| AE–BE | 5.385 | 13.193 | (−20.474, 31.243) | 0.687 | |
| BP–BE | −17.928 | 6.921 | (−31.492, −4.363) | 0.007 | |
| AP–BE | 19.458 | 10.586 | (−1.291, 40.206) | 0.100 | |
| AP–BP | 37.385 | 7.619 | (22.453, 52.318) | <0.001 | |
| RF PoE | BE | 268.189 | 7.380 | (253.724, 282.653) | <0.001 |
| AE–BE | −23.210 | 11.335 | (−45.427, −0.993) | 0.273 | |
| BP–BE | −0.876 | 11.534 | (−23.482, 21.73) | 0.939 | |
| AP–BE | 6.069 | 15.010 | (−23.349, 35.488) | 0.730 | |
| AP–BP | 6.945 | 12.840 | (−18.221, 32.111) | 0.589 | |
| BF PoE | BE | 283.075 | 14.048 | (255.541, 310.609) | <0.001 |
| AE–BE | −20.944 | 17.604 | (−55.446, 13.559) | 0.233 | |
| BP–BE | −33.881 | 14.025 | (−61.37, −6.393) | 0.020 | |
| AP–BE | 9.777 | 18.556 | (−26.592, 46.147) | 0.610 | |
| AP–BP | 43.659 | 8.295 | (27.401, 59.916) | <0.001 | |
Publisher’s Note: MDPI stays neutral with regard to jurisdictional claims in published maps and institutional affiliations. |
© 2021 by the authors. Licensee MDPI, Basel, Switzerland. This article is an open access article distributed under the terms and conditions of the Creative Commons Attribution (CC BY) license (http://creativecommons.org/licenses/by/4.0/).
Share and Cite
Spolaor, F.; Romanato, M.; Annamaria, G.; Peppe, A.; Bakdounes, L.; To, D.-K.; Volpe, D.; Sawacha, Z. Relationship between Muscular Activity and Postural Control Changes after Proprioceptive Focal Stimulation (Equistasi®) in Middle-Moderate Parkinson’s Disease Patients: An Explorative Study. Sensors 2021, 21, 560. https://doi.org/10.3390/s21020560
Spolaor F, Romanato M, Annamaria G, Peppe A, Bakdounes L, To D-K, Volpe D, Sawacha Z. Relationship between Muscular Activity and Postural Control Changes after Proprioceptive Focal Stimulation (Equistasi®) in Middle-Moderate Parkinson’s Disease Patients: An Explorative Study. Sensors. 2021; 21(2):560. https://doi.org/10.3390/s21020560
Chicago/Turabian StyleSpolaor, Fabiola, Marco Romanato, Guiotto Annamaria, Antonella Peppe, Leila Bakdounes, Duc-Khanh To, Daniele Volpe, and Zimi Sawacha. 2021. "Relationship between Muscular Activity and Postural Control Changes after Proprioceptive Focal Stimulation (Equistasi®) in Middle-Moderate Parkinson’s Disease Patients: An Explorative Study" Sensors 21, no. 2: 560. https://doi.org/10.3390/s21020560
APA StyleSpolaor, F., Romanato, M., Annamaria, G., Peppe, A., Bakdounes, L., To, D.-K., Volpe, D., & Sawacha, Z. (2021). Relationship between Muscular Activity and Postural Control Changes after Proprioceptive Focal Stimulation (Equistasi®) in Middle-Moderate Parkinson’s Disease Patients: An Explorative Study. Sensors, 21(2), 560. https://doi.org/10.3390/s21020560

