An LC Wireless Passive Pressure Sensor Based on Single-Crystal MgO MEMS Processing Technique for High Temperature Applications
Abstract
:1. Introduction
2. Sensor Design and Principle
3. Sensor Fabrication
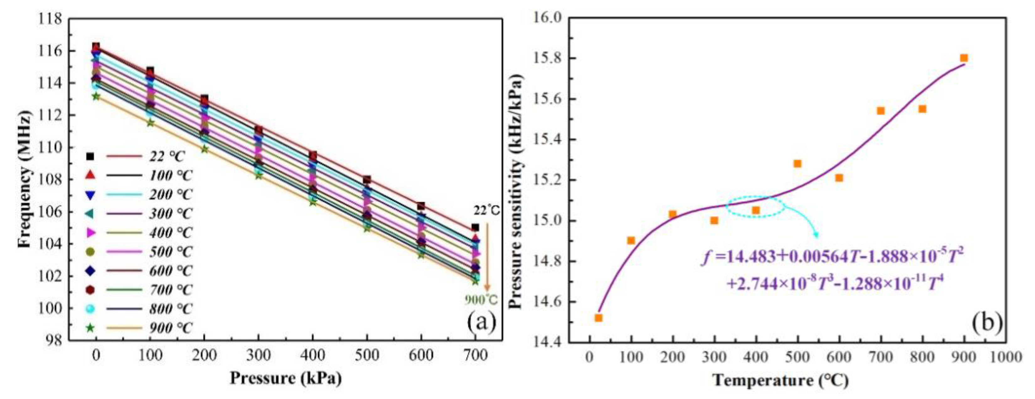
4. Experiments and Results
5. Conclusions
Author Contributions
Funding
Institutional Review Board Statement
Data Availability Statement
Conflicts of Interest
References
- Habib, Z.; Parthasarathy, R.; Gollahalli, S. Performance and emission characteristics of biofuel in a small-scale gas turbine engine. Appl. Energy 2009, 87, 1701–1709. [Google Scholar] [CrossRef]
- Kang, J.S.; Yang, S.S. Fast-response total pressure probe fore turbomachinery application. Journal of Mechanical Science and Technology. J. Mech. Sci. Technol. 2010, 24, 569–574. [Google Scholar] [CrossRef]
- Wilson, W.C.; Atkinson, G.M. Passive Wireless Sensor Applications for NASA’s Extreme Aeronautical Environments. IEEE Sens. J. 2014, 14, 3745–3753. [Google Scholar] [CrossRef]
- Fonseca, M.; English, J.; Von Arx, M.; Allen, M. Wireless micromachined ceramic pressure sensor for high-temperature applications. J. Microelectromechanical Syst. 2002, 11, 337–343. [Google Scholar] [CrossRef] [Green Version]
- Zhang, X.; Wang, F.-Y.; Li, L. Optimal selection of piezoelectric substrates and crystal cuts for SAW-based pressure and temperature sensors. IEEE Trans. Ultrason. Ferroelectr. Freq. Control. 2007, 54, 1207–1216. [Google Scholar] [CrossRef]
- Takeda, H.; Hagiwara, M.; Noguchi, H.; Hoshina, T.; Takahashi, T.; Kodama, N.; Tsurumi, T. Calcium aluminate silicate Ca2Al2SiO7 single crystal applicable to piezoelectric sensors at high temperature. Appl. Phys. Lett. 2013, 102, 242907. [Google Scholar] [CrossRef]
- Kim, K.; Zhang, S.; Salazar, G.; Jiang, X. Design, fabrication and characterization of high temperature piezoelectric vibration sensor using YCOB crystals. Sens. Actuators A: Phys. 2012, 178, 40–48. [Google Scholar] [CrossRef]
- Ngo, H.-D.; Mukhopadhyay, B.; Ehrmann, O.; Lang, K.-D. Advanced Liquid-Free, Piezoresistive, SOI-Based Pressure Sensors for Measurements in Harsh Environments. Sensors 2015, 15, 20305–20315. [Google Scholar] [CrossRef] [PubMed] [Green Version]
- Okojie, R.S.; Lukco, D.; Nguyen, V.; Savrun, E. 4H-SiC piezoresistive pressure sensors at 800 °C with observed sensitivity recovery. IEEE Electron. Device Lett. 2015, 36, 174–176. [Google Scholar] [CrossRef]
- Li, X.; Liu, Q.; Pang, S.; Xu, K.; Tang, H.; Sun, C. High-temperature piezoresistive pressure sensor based on implantation of oxygen into silicon wafer. Sens. Actuators A: Phys. 2012, 179, 277–282. [Google Scholar] [CrossRef]
- Zhang, Y.; Yuan, L.; Lan, X.; Kaur, A.; Huang, J.; Xiao, H. High-temperature fiber-optic Fabry–Perot interferometric pressure sensor fabricated by femtosecond laser. Opt. Lett. 2013, 38, 4609–4612. [Google Scholar] [CrossRef]
- Yi, J.; Lally, E.; Wang, A.; Xu, Y. Demonstration of an All-Sapphire Fabry–Pérot Cavity for Pressure Sensing. IEEE Photon- Technol. Lett. 2010, 23. [Google Scholar] [CrossRef]
- Sturesson, P.; Khaji, Z.; Knaust, S.; Klintberg, L.; Thornell, G. Thermomechanical properties and performance of ceramic resonators for wireless pressure reading at high temperatures. J. Micromech. Microeng. 2015, 25, 095016. [Google Scholar] [CrossRef]
- Huang, Q.-A.; Dong, L.; Wang, L.-F. LC Passive Wireless Sensors Toward a Wireless Sensing Platform: Status, Prospects, and Challenges. J. Microelectromechanical Syst. 2016, 25, 822–841. [Google Scholar] [CrossRef]
- Nopper, R.; Has, R.; Reindl, L. A wireless sensor readout systemcircuit concept, simulation, and accuracy. IEEE Trans. Instrum. Meas. 2011, 60, 2976–2983. [Google Scholar] [CrossRef]
- Li, C.; Tan, Q.; Jia, P.; Zhang, W.; Liu, J.; Xue, C.; Xiong, J. Review of Research Status and Development Trends of Wireless Passive LC Resonant Sensors for Harsh Environments. Sensors 2015, 15, 13097–13109. [Google Scholar] [CrossRef] [PubMed] [Green Version]
- Nowak, D.; Dziedzic, A. LTCC package for high temperature applications. Microelectron. Reliab. 2011, 51, 1241–1244. [Google Scholar] [CrossRef]
- Ma, M.; Khan, H.; Shan, W.; Wang, Y.; Ou, J.Z.; Liu, Z.; Kalantar-Zadeh, K.; Li, Y. A novel wireless gas sensor based on LTCC technology. Sens. Actuators B: Chem. 2017, 239, 711–717. [Google Scholar] [CrossRef]
- Qin, L.; Shen, D.; Wei, T.; Tan, Q.; Luo, T.; Zhou, Z.; Xiong, J. A Wireless Passive LC Resonant Sensor Based on LTCC under High-Temperature/Pressure Environments. Sensors 2015, 15, 16729–16739. [Google Scholar] [CrossRef] [Green Version]
- Tan, Q.; Wei, T.; Chen, X.; Luo, T.; Wu, G.; Li, C.; Xiong, J. Antenna-resonator integrated wireless passive temperature sensor based on low-temperature co-fired ceramic for harsh environment. Sens. Actuators A: Phys. 2015, 236, 299–308. [Google Scholar] [CrossRef]
- Gao, R.; Hong, Y.; Zhang, H.; Liu, W.; Liang, T.; Zhang, W.; Xiong, J. A Wireless Pressure Microsensor Fabricated in HTCC Technology for Dynamic Pressure Monitoring in Harsh Environments. Int. J. Distrib. Sens. Netw. 2015, 11. [Google Scholar] [CrossRef]
- Radosavljevic, G.J.; Zivanov, L.D.; Smetana, W.; Maric, A.M.; Unger, M.; Nad, L.F. A Wireless Embedded Resonant Pressure Sensor Fabricated in the Standard LTCC Technology. IEEE Sens. J. 2009, 9, 1956–1962. [Google Scholar] [CrossRef]
- Ji, Y.; Tan, Q.; Wang, H.; Lv, W.; Dong, H.; Xiong, J. A Novel Surface LCLC Wireless Passive Temperature Sensor Applied in Ultra-High Temperature Measurement. IEEE Sens. J. 2018, 19, 105–112. [Google Scholar] [CrossRef]
- Tan, Q.; Lv, W.; Ji, Y.; Song, R.; Lu, F.; Dong, H.; Zhang, W.; Xiong, J. A LC wireless passive temperature-pressure-humidity (TPH) sensor integrated on LTCC ceramic for harsh monitoring. Sens. Actuators B: Chem. 2018, 270, 433–442. [Google Scholar] [CrossRef]
- Lin, L.; Ma, M.; Zhang, F.; Liu, F.; Liu, Z.; Li, Y. Integrated passive wireless pressure and temperature dual-parameter sensor based on LTCC technology. Ceram. Int. 2018, 44, S129–S132. [Google Scholar] [CrossRef]
- Li, W.; Liang, T.; Liu, W.; Jia, P.; Chen, Y.; Xiong, J.; Lei, C.; Hong, Y.; Li, Y. Wireless passive pressure sensor based on sapphire direct bonding for harsh environments. Sens. Actuators A: Phys. 2018, 280, 406–412. [Google Scholar] [CrossRef]
- Gao, D.S.; Gao, X.D.; Wu, Y.Q.; Zhang, T.T.; Yang, J.N.; Li, X.M. Epitaxial codoped BaSnO3 thin films with tunable optical bandgap on MgO substrate. Appl. Phys. A Mater. Sci. Process 2019, 125, 158. [Google Scholar] [CrossRef]
- Choge, D.K.; Chen, H.X.; Guo, L.; Li, G.W.; Liang, W.G. Double-pass high-efficiency sumfrequency generation of a broadband orange laser in a single MgO: PPLN crystal. Opt. Mater. Express 2019, 9, 837–844. [Google Scholar] [CrossRef]
- Wu, S.-Y.; Hung, C.-Y.; Hsu, W. A wirelessly readable and resettable shock recorder through the integration of LC circuits and MEMS devices. Smart Mater. Struct. 2014, 23. [Google Scholar] [CrossRef]
- Li, C.; Tan, Q.; Xiong, J.; Jia, P.; Hong, Y.; Ren, Z.; Luo, T.; Liu, J.; Xue, C.; Zhang, W. A noncontact wireless passive radio frequency (RF) resonant pressure sensor with optimized design for applications in high-temperature environments. Meas. Sci. Technol. 2014, 25. [Google Scholar] [CrossRef]
- Giovanni, M. Flat and Corrugated Diaphragm Design Handbook; Mercel Dekker: New York, NY, USA, 1982. [Google Scholar]
- Liu, J.; Jia, P.; Chen, X.; Liang, T.; Liu, H.; Liu, W.; Xiong, J.; Jia, P. Surface characterization of patterning on MgO single crystals using wet chemical etching process to advance MEMS devices. J. Micromechanics Microengineering 2019, 30, 015001. [Google Scholar] [CrossRef]
- Liu, J.; Jia, P.; Li, J.; Feng, F.; Liang, T.; Liu, W.; Xiong, J. Hydrophilic Direct Bonding of MgO/MgO for High-Temperature MEMS Devices. IEEE Access 2020, 8, 67242–67249. [Google Scholar] [CrossRef]








| Parameter | Symbol | Value (mm) |
|---|---|---|
| Thickness of the sensitive diaphragm | dm | 0.124 |
| Thickness of the support layer | dt | 0.4 |
| Length of the cavity | dp | 0.076 |
| Length of the sensor substrate | L | 20 |
| Radius of the cavity | r | 4 |
| Diameter of the capacitor | a | 8 |
| Width of inductance coils | wc | 0.5 |
| Space of inductance coils | wg | 0.5 |
| Thickness of the coils | ds | 0.02 |
Publisher’s Note: MDPI stays neutral with regard to jurisdictional claims in published maps and institutional affiliations. |
© 2021 by the authors. Licensee MDPI, Basel, Switzerland. This article is an open access article distributed under the terms and conditions of the Creative Commons Attribution (CC BY) license (https://creativecommons.org/licenses/by/4.0/).
Share and Cite
Jia, P.; Liu, J.; Qian, J.; Ren, Q.; An, G.; Xiong, J. An LC Wireless Passive Pressure Sensor Based on Single-Crystal MgO MEMS Processing Technique for High Temperature Applications. Sensors 2021, 21, 6602. https://doi.org/10.3390/s21196602
Jia P, Liu J, Qian J, Ren Q, An G, Xiong J. An LC Wireless Passive Pressure Sensor Based on Single-Crystal MgO MEMS Processing Technique for High Temperature Applications. Sensors. 2021; 21(19):6602. https://doi.org/10.3390/s21196602
Chicago/Turabian StyleJia, Pinggang, Jia Liu, Jiang Qian, Qianyu Ren, Guowen An, and Jijun Xiong. 2021. "An LC Wireless Passive Pressure Sensor Based on Single-Crystal MgO MEMS Processing Technique for High Temperature Applications" Sensors 21, no. 19: 6602. https://doi.org/10.3390/s21196602
APA StyleJia, P., Liu, J., Qian, J., Ren, Q., An, G., & Xiong, J. (2021). An LC Wireless Passive Pressure Sensor Based on Single-Crystal MgO MEMS Processing Technique for High Temperature Applications. Sensors, 21(19), 6602. https://doi.org/10.3390/s21196602

