Energy Management Expert Assistant, a New Concept
Abstract
:1. Introduction
Home Energy Management Systems (HEMS)
2. Materials and Methods
2.1. IoT: Smart Devices
2.2. Big Data
2.3. Cloud Computing
- Reduction of costs and implementation times;
- Reduction of scalability problems in cases where the system must grow;
- The user can focus on the system’s functionality and not on the technical aspects of the infrastructure;
- Access to services from anywhere;
- System portability and protection against data loss. If the local system suffers damage or failure, the data or services in the cloud remain secure and loss-free;
- Transparent updates for the user, as long as the vendor maintains this commitment and the local system is not affected by version incompatibilities;
- Software installation is avoided or reduced;
- Local system requirements in terms of computational capacity are reduced. By deriving computing services and processes to the cloud, a lighter hardware system is required. This, in turn, leads to a benefit due to reducing local consumption by requiring equipment with lower performance;
- Security is often a critical factor in these services as providers can equip their systems with the latest technologies in the face of the limitations faced by a single user, both in terms of technological capacity and knowledge.
- Absolute dependence on the commitment or continuity of the service provider: discontinuity or modification of services may critically affect the HEMS system;
- Fixed fee for the use of the services;
- Lifetime dependence on external suppliers;
- Small systems are more vulnerable than more extensive infrastructures, especially concerning:
- ○
- Downtime;
- ○
- Technical interruptions from suppliers, which are unavoidable and can occur at critical moments;
- ○
- More limited bargaining power, leading to limited customization;
- Dependence on external network access versus a HEMS system based on a local network isolated from the Internet;
- Aspects such as security, privacy, or confidentiality may be exposed or compromised.
2.4. Artificial Intelligence (AI), Expert System (ES), and Machine Learning (ML)
2.5. Virtual Assistant
2.6. Results from Knowledge
- Obtaining data to develop the best possible system for the objectives pursued;
- Cloud integration provides the system with scalable computational capacity, access and management of information flows, extension to big data analysis, AI, and ML;
- Usability: “Home” system of interaction with the user that allows triggering complex services from a simple and accessible functionality:
- ○
- Actions: Programming household appliances and devices. Presence detection and habit analysis;
- ○
- Warnings: Advice and recommendations for savings based on detected habits or pre-established patterns;
- ○
- Alerts and maintenance of equipment and appliances;
- ○
- Integration with voice technology.
- Measures to ensure user privacy and system security;
- Interoperability of electronic systems that allow the implementation of the integral model;
- System specifications to enhance efficient energy consumption management under IoT architecture;
- Estimated energy savings and user benefits. Differences between HERMES, HEMS systems, and a non-connected home.
3. Materials and Methods
3.1. Classification of Load Types
- 1.
- Non-controllable loads. Their operation cannot be programmed, changed, or reprogrammed by a HEMS. They usually provide added value, and users control some of them. Televisions, stereos, computers, or appliances such as refrigerators or lighting without control systems fall into this category. Appliance standby would be included in this class;
- 2.
- Controllable loads. The HEMS system has some control over them or through the user in a given time horizon. A traditional HEMS system could not control the loads through the user; in this regard, control is one of the contributions of the HERMES system. In turn, within this category, we can divide the loads into elastic or inelastic;
- a.
- Inelastic. Once initiated or required to operate, it must complete a full cycle;
- i.
- Uninterruptible loads. Once started, they must run a complete cycle continuously; only the corresponding start time can be programmed. In this category, we can find dishwashers, washing machines, or dryers, among other appliances;
- ii.
- Interruptible loads. Once started, they can be interrupted but must be reconnected to complete the full cycle. These are usually constant-drain devices. Examples include plug-in hybrid electric vehicles and other rechargeable devices or external batteries, and the electric boiler;
- b.
- Elastic. Loads with the capacity to be able to adjust power consumption in the middle of an operation;
- i.
- Variable loads with alteration of comfort. Energy consumption can be adjusted in the middle of an operation but leads to loss of comfort and may require subsequent compensation. These are usually systems whose operation is maintained according to a reference defined by the residents, so their temporary variation by the HEMS may affect comfort. Ventilation, heating, or cooling are examples of this category;
- ii.
- Variable loads without alteration of comfort. Energy consumption can be adjusted in the middle of an operation without significant loss of comfort or subsequent compensation. For example, dimming of artificial lighting by compensating with daylight.
3.2. The Preamble of the HERMES System
3.3. Deployment of the HERMES System and Involved Instruments
3.4. Programming and Multi-Objective Optimization (MOP) of the HERMES System
3.4.1. Equations
- = Energy consumed by the household in kWh during the hour of the day of the day of the tariff period PT;
- = Price in €/kWh of the hourly cost of energy term in each hour of the day of the day of the tariff period for the contracted tariff ();
3.4.2. Strategy for Comfort and Optimization
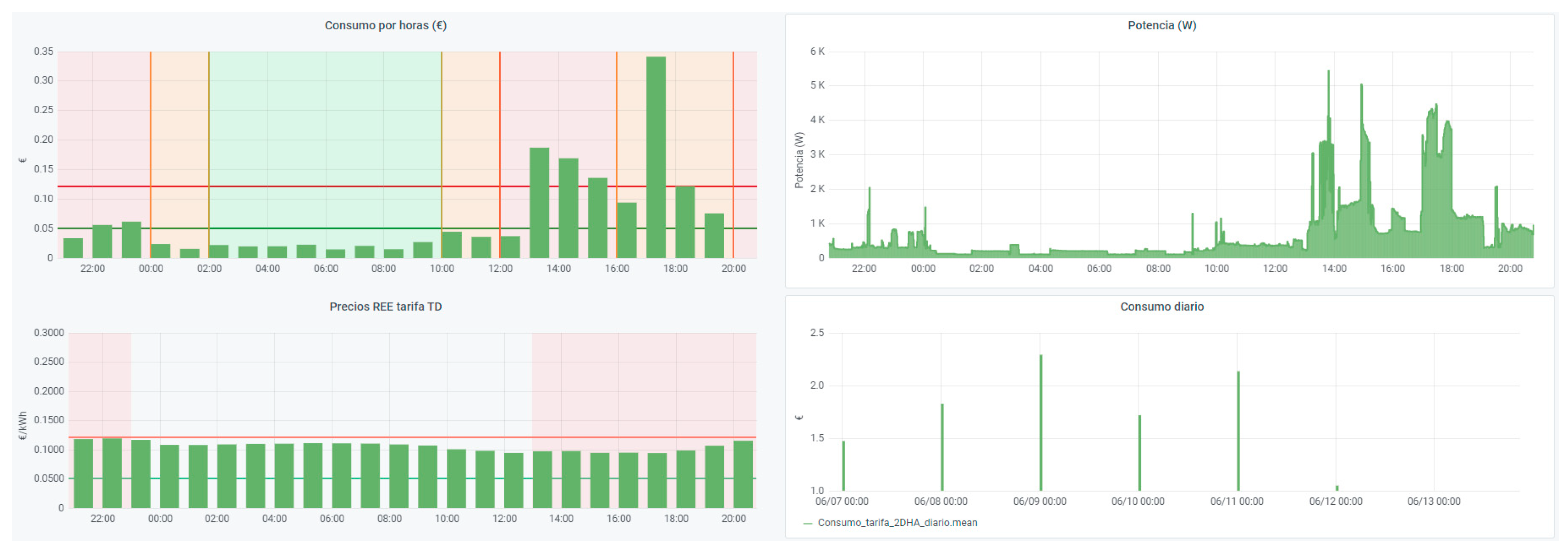
- The two main problems of the electric water heater are that it runs out of hot water or that it consumes at very high or non-optimal cost hours. In a traditional HEMS, this situation should penalize the overall comfort function, although it might not anticipate the problem or optimize consumption to the maximum. In our case, three groups of parameters have been created to optimize consumption and comfort, solving both problems. The first group selects the time slots in which the thermos flask is allowed to be turned on. The second group sets the temperature targets for each activation band. Finally, the third group adjusts the water heating curve. This third group is continuously adjusted thanks to the temperature sensor inside the tank and determines exactly how long it takes for the boiler to heat the water to the desired values. In this way, if very low temperatures are reached after use, the system responds by increasing the heating time and raising the maximum temperature of each range. The system adjusts these parameters automatically, ensuring the hot water supply and shifting the load to the optimal time slots (see Figure 8). However, residents can readjust the parameters to suit their comfort (maximum heating temperature and the number of heating hours). This set of parameters covers the complete characterization of the water heater, making it possible to cater for particular scenarios such as, for example, completely switching off the electric water heater during prolonged absences by disabling all operating slots, or from time to time run a heating cycle to 60–65 °C to eliminate possible Legionella outbreaks.
- For air conditioning, the HERMES system controls several parameters and employs the following strategy to optimize consumption and maintain comfort: after a certain time after switching on the climate, the system automatically lowers or raises the temperature to reduce consumption while maintaining comfort. The parameters used in this strategy are again three: initial temperature when the heating or cooling is turned on, the time in minutes until the system automatically applies the second temperature regulation (to reduce consumption and which could depend secondarily on other parameters such as outdoor temperature, indoor temperature or whether or not the residents come from outside), and finally, the third parameter would be the difference in degrees of the new temperature. The adjustment of the parameters is again dynamic depending on what the system requires and the residents’ preferences.
4. Results
4.1. HERMES System Deployment and Infrastructure
4.2. Voice Assistant and Control Panel
4.3. Phases of Incorporation of HERMES System Functionalities and Change in Residents’ Habits
4.4. Net Load Displacement
- Savings-producing displacements: Above-average loads at economical hours or below-average loads at expensive hours;
- Commuting that does not produce savings: Below-average loads at inexpensive hours or above-average loads at expensive hours;
- Economic hours for the day 23 October 2020: 0 h–12 h and 23 h;
- Expensive hours for day 23 October 2020: 13 h–22 h.
4.5. Calculation of Balanced Savings Obtained by HERMES
4.6. Billing Expenses in Absolute Values without Balancing
4.7. Consumption Estimation (Machine Learning)
5. Discussion
Author Contributions
Funding
Institutional Review Board Statement
Informed Consent Statement
Data Availability Statement
Conflicts of Interest
References
- Dobakhshari, A.S.; Azizi, S.; Ranjbar, A. Control of microgrids: Aspects and prospects. In Proceedings of the 2011 International Conference on Networking, Sensing and Control, Delft, The Netherlands, 11–13 April 2011; pp. 38–43. [Google Scholar] [CrossRef]
- Borkar, S.; Pande, H. Application of 5G Next Generation Network to Internet of Things. In Proceedings of the 2016 International Conference on Internet of Things and Applications (IOTA), Pune, India, 22–24 January 2016; pp. 443–447. [Google Scholar] [CrossRef]
- Alsulami, M.M.; Akkari, N. The Role of 5G Wireless Networks in the Internet-of-Things (IoT). In Proceedings of the 2018 1st International Conference on Computer Applications & Information Security (ICCAIS), Riyadh, Saudi Arabia, 4–6 April 2018; p. 8. [Google Scholar] [CrossRef]
- Hannaidh, B.O.; Fitzgerald, P.; Berney, H.; Lakshmanan, R.; Coburn, N.; Geary, S.; Mulvey, B. Devices and Sensors Applicable to 5G System Implementations. In Proceedings of the 2018 IEEE MTT-S International Microwave Workshop Series on 5G Hardware and System Technologies (IMWS-5G), Dublin, Ireland, 30–31 August 2018; pp. 1–3. [Google Scholar] [CrossRef]
- Rinaldi, K.S.; Bunnen, E. Redefining Home Performance in the 21st Century. Available online: https://web.archive.org/web/20200131171346/http://www.homeperformance.org/sites/default/files/HPC_Smart-Home-Report_201810.pdf (accessed on 10 March 2019).
- Opportunities for Home Energy Management Systems (HEMS) in Advancing Residential Energy Efficiency Programs. Available online: https://web.archive.org/web/20200927004525/https://neep.org/opportunities-home-energy-management-systems-hems-advancing-residential-energy-efficiency-programs (accessed on 10 March 2019).
- King, J. Energy Impacts of Smart Home Technologies. Available online: https://www.aceee.org/research-report/a1801 (accessed on 10 March 2019).
- Zandi, H.; Kuruganti, T.; Vineyard, E.A.; Fugate, D.L. Home Energy Management Systems: An Overview. In Proceedings of the 9th International Conference on Energy Efficiency in Domestic Appliances and Lighting (EEDAL ‘17), Irvine, CA, USA, 13–15 September 2017; pp. 606–614. [Google Scholar]
- Mahapatra, B.; Nayyar, A. Home energy management system (HEMS): Concept, architecture, infrastructure, challenges and energy management schemes. Energy Syst. 2019. [Google Scholar] [CrossRef]
- Gun, Y.J.; Vasquez, J.C.; Guerrero, J.M.; Samovich, N.; Vanya, S.; Oravec, V.; Garcia-Castro, R.; Serena, F.; Poveda-Villalon, M.; Radojicic, C.; et al. An Open Virtual Neighbourhood Network to Connect IoT Infrastructures and Smart Objects—VICINITY. In Proceedings of the 2017 Global Internet of Things Summit (GIoTS), Geneva, Switzerland, 6–9 June 2017; pp. 134–139. [Google Scholar] [CrossRef] [Green Version]
- Ford, R.; Karlin, B.; Sanguinetti, A.; Nersesyan, A.; Pritoni, M. Assessing Players, Products, and Perceptions of Home Energy Management. Available online: https://www.researchgate.net/publication/320864681 (accessed on 11 July 2020).
- Gungor, V.C. Smart Grid Technologies: Communication Technologies and Standards. IEEE Trans. Ind. Inform. 2011, 7, 529–539. [Google Scholar] [CrossRef] [Green Version]
- Robotina Platform. Available online: https://web.archive.org/web/20190809154308/https://robotinarox.io/robotina-platform/ (accessed on 10 March 2019).
- Shakeri, M. Implementation of a novel home energy management system (HEMS) architecture with solar photovoltaic system as supplementary source. Renew. Energy 2018, 125, 108–120. [Google Scholar] [CrossRef]
- Shareef, H. Review on Home Energy Management System Considering Demand Responses, Smart Technologies, and Intelligent Controllers. IEEE Access 2018, 6, 24498–24509. [Google Scholar] [CrossRef]
- Kejriwal, S.; Mahajan, S. Smart Buildings: How IoT Technology Aims to Add Value for Real Estate Companies. Available online: http://web.archive.org/web/20200714113546/https://www2.deloitte.com/content/dam/Deloitte/nl/Documents/real-estate/deloitte-nl-fsi-real-estate-smart-buildings-how-iot-technology-aims-to-add-value-for-real-estate-companies.pdf (accessed on 11 July 2020).
- Guang-Yu, J. IoT, Big Data, Cloud Computing, Artificial Intelligence/Machine Learning, BIM and Digital Twins in Building Automation and Management Applications. Available online: https://web.archive.org/web/20210726100646/https://www.sleb.sg/UserFiles/Resource/Technology%20Review%20Report/IoT,%20Big%20Data,%20Cloud%20Computing,%20Artificial%20Intelligence%20and%20Machine%20Learning,%20BIM%20and%20Digital%20Twins%20in%20Building%20Automation%20and%20Management%20Applications.pdf (accessed on 11 July 2020).
- Jerabandi, M.; Kodabagi, M.M. A Review on Home Automation System. In Proceedings of the 2017 International Conference On Smart Technologies for Smart Nation (SmartTechCon), Bengaluru, India, 17–19 August 2017; pp. 1411–1415. [Google Scholar] [CrossRef]
- Home Assistant. Available online: https://www.home-assistant.io/ (accessed on 12 March 2019).
- Open Hab. Available online: https://www.openhab.org/ (accessed on 12 March 2019).
- Eclipse SmartHome—A Flexible Framework for the Smart Home. Available online: https://www.eclipse.org/smarthome/ (accessed on 23 February 2019).
- Building Energy Management Open Source Software (BEMOSS™). Available online: http://www.bemoss.org/ (accessed on 10 March 2019).
- VOLTTRON™. Available online: https://volttron.org/ (accessed on 10 March 2019).
- ioBroker. Available online: http://www.iobroker.net/ (accessed on 10 March 2019).
- OGEMA (Open Gateway Energy Management). Available online: https://www.ogema.org/ (accessed on 10 March 2019).
- Zillgith, M.; Nestle, D.; Wagner, M. Security Architecture of the OGEMA 2.0 Home Energy Management System. In Proceedings of the International ETG-Congress 2013; Symposium 1: Security in Critical Infrastructures Today, Berlin, Germany, 5–6 November 2013; pp. 1–6. [Google Scholar]
- OpenRemote. Available online: http://www.openremote.com/ (accessed on 10 March 2019).
- Ray, P.P. A survey on Internet of Things architectures. J. King Saud Univ.—Comput. Inf. Sci. 2018, 30, 291–319. [Google Scholar] [CrossRef] [Green Version]
- Li, Y.; Huang, Y.; Zhang, M.; Rajabion, L. Service selection mechanisms in the Internet of Things (IoT): A systematic and comprehensive study. Clust. Comput. 2019, 23, 1163–1183. [Google Scholar] [CrossRef]
- Krotov, V. The Internet of Things and new business opportunities. Bus. Horiz. 2017, 60, 831–841. [Google Scholar] [CrossRef]
- Saarikko, T.; Westergren, U.H.; Blomquist, T. The Internet of Things: Are you ready for what’s coming? Bus. Horiz. 2017, 60, 667–676. [Google Scholar] [CrossRef]
- Nordrum, A. Popular Internet of Things Forecast of 50 Billion Devices by 2020 Is Outdated. Available online: https://spectrum.ieee.org/tech-talk/telecom/internet/popular-internet-of-things-forecast-of-50-billion-devices-by-2020-is-outdated (accessed on 12 July 2020).
- Earle, N. 50 Billion Things, Coming to a Cloud Near You. Available online: https://web.archive.org/web/20210726070602/https://blogs.cisco.com/news/50-billion-things-coming-to-a-cloud-near-you?dtid=osscdc000283 (accessed on 12 July 2020).
- A Guide to the Internet of Things. How Billions of Online Objects Are Making the Web Wiser. Available online: https://web.archive.org/web/20200729014237/https://www.intel.com/content/www/us/en/internet-of-things/infographics/guide-to-iot.html (accessed on 29 July 2020).
- Pureswaran, V.; Brody, P. Device Democracy: Saving the Future of the Internet of Things. Available online: https://web.archive.org/web/20190727040755/https://www.ibm.com/downloads/cas/Y5ONA8EV (accessed on 23 February 2019).
- Zafar, U.; Bayhan, S.; Sanfilippo, A. Home Energy Management System Concepts, Configurations, and Technologies for the Smart Grid. IEEE Access 2020, 8, 119271–119286. [Google Scholar] [CrossRef]
- Snijders, C.; Matzat, U.; Reips, U.D. “Big Data”: Big Gaps of Knowledge in the Field of Internet Science. Int. J. Internet Sci. 2012, 7, 1–5. [Google Scholar]
- Billings, S.A. Nonlinear System Identification: NARMAX Methods in the Time, Frequency, and Spatio-Temporal Domains; John Wiley & Sons: Hoboken, NJ, USA, 2013; pp. 1–555. [Google Scholar] [CrossRef]
- Mayer-Schönberger, V.; Cukier, K. Big Data: A Revolution That Will Transform How We Live, Work, and Think; Houghton Mifflin Harcourt: Boston, MA, USA, 2013; p. 242. [Google Scholar]
- Lee, I. Big data: Dimensions, evolution, impacts, and challenges. Bus. Horiz. 2017, 60, 293–303. [Google Scholar] [CrossRef]
- Kaplan, A.; Haenlein, M. Siri, Siri, in my hand: Who’s the fairest in the land? On the interpretations, illustrations, and implications of artificial intelligence. Bus. Horiz. 2019, 62, 15–25. [Google Scholar] [CrossRef]
- Poole, D.; Mackworth, A.; Goebel, R. Computational Intelligence: A Logical Approach; Oxford University Press: Oxford, NY, USA, 1998. [Google Scholar]
- McCarthy, J. What is Artificial Intelligence? Available online: https://web.archive.org/web/20200730225611/http://www-formal.stanford.edu/jmc/whatisai/node1.html (accessed on 12 July 2020).
- Nilsson, N.J.; Nilsson, N.J. Artificial Intelligence: A New Synthesis; Morgan Kaufmann: Burlington, MA, USA, 1998. [Google Scholar]
- Russell, S.; Norving, P. Artificial Intelligence: A Modern Approach; Addison Wesley: Boston, MA, USA, 2018; p. 1132. [Google Scholar]
- Contreras, I.; Vehi, J. Artificial Intelligence for Diabetes Management and Decision Support: Literature Review. J. Med. Internet Res. 2018, 20, e10775. [Google Scholar] [CrossRef]
- Liu, Q.; Yang, X.; Deng, L. An IBeacon-Based Location System for Smart Home Control. Sensors 2018, 18, 1897. [Google Scholar] [CrossRef] [Green Version]
- Yang, D.; Xu, B.; Rao, K.; Sheng, W. Passive Infrared (PIR)-Based Indoor Position Tracking for Smart Homes Using Accessibility Maps and A-Star Algorithm. Sensors 2018, 18, 332. [Google Scholar] [CrossRef] [PubMed] [Green Version]
- Singh, S.; Aksanli, B. Non-Intrusive Presence Detection and Position Tracking for Multiple People Using Low-Resolution Thermal Sensors. J. Sens. Actuator Netw. 2019, 8, 40. [Google Scholar] [CrossRef] [Green Version]
- Kepuska, V.; Bohouta, G. Next-Generation of Virtual Personal Assistants (Microsoft Cortana, Apple Siri, Amazon Alexa and Google Home). In Proceedings of the 2018 IEEE 8th Annual Computing and Communication Workshop and Conference (CCWC), Las Vegas, NV, USA, 8–10 January 2018; pp. 99–103. [Google Scholar]
- Hoy, M.B. Alexa, Siri, Cortana, and more: An introduction to voice assistants. Med Ref. Serv. Q. 2018, 37, 81–88. [Google Scholar] [CrossRef]
- McTear, M.F. Spoken dialogue technology: Enabling the conversational user interface. ACM Comput. Surv. 2002, 34, 90–169. [Google Scholar] [CrossRef]
- Voice assistants steal the show. New Sci. 2018, 237, 7. [CrossRef]
- Reis, A.; Paulino, D.; Paredes, H.; Barroso, I.; Monteiro, M.J.; Rodrigues, V.; Barroso, J. Using intelligent personal assistants to assist the elderlies An evaluation of Amazon Alexa, Google Assistant, Microsoft Cortana, and Apple Siri. In Proceedings of the 2018 2nd International Conference on Technology and Innovation in Sports, Health and Wellbeing (Tishw), Thessaloniki, Greece, 20–22 June 2018; pp. 1–5. [Google Scholar] [CrossRef]
- Dojchinovski, D.; Ilievski, A.; Gusev, M. Interactive home healthcare system with integrated voice assistant. In Proceedings of the 2019 42nd International Convention on Information and Communication Technology, Electronics and Microelectronics (Mipro), Opatija, Croatia, 20–24 May 2019; pp. 284–288. [Google Scholar] [CrossRef]
- Friedman, N.; Cuadra, A.; Patel, R.; Azenkot, S.; Stein, J.; Ju, W.; Assoc Comp, M. Voice Assistant Strategies and Opportunities for People with Tetraplegia. In Proceedings of the 21st International ACM SIGACCESS Conference on Computers and Accessibility (ASSETS ‘19), Pittsburgh, PA, USA, 28–30 October 2019; pp. 575–577. [Google Scholar] [CrossRef] [Green Version]
- O’Brien, K.; Liggett, A.; Ramirez-Zohfeld, V.; Sunkara, P.; Lindquist, L.A. Voice-Controlled Intelligent Personal Assistants to Support Aging in Place. J. Am. Geriatr. Soc. 2020, 68, 176–179. [Google Scholar] [CrossRef] [Green Version]
- Lee, K.; Lee, K.Y.; Sheehan, L. Hey Alexa! A Magic Spell of Social Glue?: Sharing a Smart Voice Assistant Speaker and Its Impact on Users’ Perception of Group Harmony. Inf. Syst. Front. 2020, 22, 563–583. [Google Scholar] [CrossRef]
- Tiwari, V.; Hashmi, M.F.; Keskar, A.; Shivaprakash, N.C. Virtual home assistant for voice based controlling and scheduling with short speech speaker identification. Multimed. Tools Appl. 2020, 79, 5243–5268. [Google Scholar] [CrossRef]
- Alepis, E.; Patsakis, C. Monkey Says, Monkey Does: Security and Privacy on Voice Assistants. IEEE Access 2017, 5, 17841–17851. [Google Scholar] [CrossRef]
- Lei, X.Y.; Tu, G.H.; Liu, A.X.; Li, C.Y.; Xie, T. The Insecurity of Home Digital Voice Assistants—Vulnerabilities, Attacks and Countermeasures. In Proceedings of the 6th IEEE Conference on Communications and Network Security (CNS), Beijing, China, 30 May–1 June 2018. [Google Scholar]
- Lei, X.; Tu, G.H.; Liu, A.X.; Ali, K.; Li, C.Y.; Xie, T. The Insecurity of Home Digital Voice Assistants—Amazon Alexa as a Case Study. arXiv 2017, arXiv:1712.03327. [Google Scholar]
- Link Your Voice to Your Devices with Voice Match. Available online: https://web.archive.org/web/20200901043712/https://support.google.com/assistant/answer/9071681?co=GENIE.Platform%3DAndroid&hl=en (accessed on 23 July 2020).
- What Is the Voice Profile Setting Personalize Skills? Available online: https://web.archive.org/web/20210726090521/https://www.amazon.com/gp/help/customer/display.html/ref=hp_left_v4_sib?ie=UTF8&nodeId=GF4LMSZG6SUFHQUZ (accessed on 11 July 2020).
- Leitao, J.; Gil, P.; Ribeiro, B.; Cardoso, A. A Survey on Home Energy Management. IEEE Access 2020, 8, 5699–5722. [Google Scholar] [CrossRef]
- Rasheed, M.B.; Javaid, N.; Ahmad, A.; Khan, Z.A.; Qasim, U.; Alrajeh, N. An Efficient Power Scheduling Scheme for Residential Load Management in Smart Homes. Appl. Sci. 2015, 5, 1134–1163. [Google Scholar] [CrossRef] [Green Version]
- Bayram, I.S.; Ustun, T.S. A survey on behind the meter energy management systems in smart grid. Renew. Sustain. Energy Rev. 2017, 72, 1208–1232. [Google Scholar] [CrossRef]
- Beaudin, M.; Zareipour, H. Home energy management systems: A review of modelling and complexity. Renew. Sustain. Energy Rev. 2015, 45, 318–335. [Google Scholar] [CrossRef]
- Palacios-Garcia, E.J.; Chen, A.; Santiago, I.; Bellido-Outeiriño, F.J.; Flores-Arias, J.M.; Moreno-Munoz, A. Stochastic model for lighting’s electricity consumption in the residential sector. Impact of energy saving actions. Energy Build. 2015, 89, 245–259. [Google Scholar] [CrossRef]
- EL Jaouhari, S.; Jose Palacios-Garcia, E.; Anvari-Moghaddam, A.; Bouabdallah, A. Integrated Management of Energy, Wellbeing and Health in the Next Generation of Smart Homes. Sensors 2019, 19, 481. [Google Scholar] [CrossRef] [Green Version]
- Cao, Z.; O’Rourke, F.; Lyons, W.; Han, X. Home Energy Management System Incorporating Heat Pump Using Real Measured Data. Sensors 2019, 19, 2937. [Google Scholar] [CrossRef] [Green Version]
- Chavali, P.; Yang, P.; Nehorai, A. A distributed algorithm of appliance scheduling for home energy management system. IEEE Trans. Smart Grid 2014, 5, 282–290. [Google Scholar] [CrossRef]
- Anvari-Moghaddam, A.; Monsef, H.; Rahimi-Kian, A. Optimal Smart Home Energy Management Considering Energy Saving and a Comfortable Lifestyle. IEEE Trans. Smart Grid 2015, 6, 324–332. [Google Scholar] [CrossRef]
- Golmohamadi, H.; Keypour, R.; Bak-Jensen, B.; Pillai, J.R. Optimization of household energy consumption towards day-ahead retail electricity price in home energy management systems. Sustain. Cities Soc. 2019, 47, 101468. [Google Scholar] [CrossRef]
- Silva, B.N.; Khan, M.; Han, K. Load Balancing Integrated Least Slack Time-Based Appliance Scheduling for Smart Home Energy Management. Sensors 2018, 18, 685. [Google Scholar] [CrossRef] [Green Version]
- Li, L.D.; Li, X.D.; Yu, X.H. A Multi-Objective Constraint-Handling Method with PSO Algorithm for Constrained Engineering Optimization Problems. In Proceedings of the 2008 IEEE Congress on Evolutionary Computation, Hong Kong, China, 1–6 June 2008; pp. 1528–1535. [Google Scholar] [CrossRef] [Green Version]
- Wang, Y.; Cai, Z.; Guo, G.; Zhou, Y. Multiobjective optimization and hybrid evolutionary algorithm to solve constrained optimization problems. IEEE Trans. Syst. Man Cybern. Part B (Cybern.) 2007, 37, 560–575. [Google Scholar] [CrossRef] [PubMed]
- Joo, I.Y.; Choi, D.H. Optimal Household Appliance Scheduling Considering Consumer’s Electricity Bill Target. IEEE Trans. Consum. Electron. 2017, 63, 19–27. [Google Scholar] [CrossRef]
- Chen, X.; Wei, T.; Hu, S. Uncertainty-Aware Household Appliance Scheduling Considering Dynamic Electricity Pricing in Smart Home. IEEE Trans. Smart Grid 2013, 4, 932–941. [Google Scholar] [CrossRef]
- Nan, S.B.; Zhou, M.; Li, G.Y.; Xia, Y. Optimal Scheduling Approach on Smart Residential Community Considering Residential Load Uncertainties. J. Electr. Eng. Technol. 2019, 14, 613–625. [Google Scholar] [CrossRef]
- Lokeshgupta, B.; Sivasubramani, S. Multi-objective home energy management with battery energy storage systems. Sustain. Cities Soc. 2019, 47, 101458. [Google Scholar] [CrossRef]
- Chen, Z.; Wu, L.; Fu, Y. Real-Time Price-Based Demand Response Management for Residential Appliances via Stochastic Optimization and Robust Optimization. IEEE Trans. Smart Grid 2012, 3, 1822–1831. [Google Scholar] [CrossRef]
- Zakariazadeh, A.; Jadid, S.; Siano, P. Smart microgrid energy and reserve scheduling with demand response using stochastic optimization. Int. J. Electr. Power Energy Syst. 2014, 63, 523–533. [Google Scholar] [CrossRef]
- Powell, W.B. A unified framework for stochastic optimization. Eur. J. Oper. Res. 2019, 275, 795–821. [Google Scholar] [CrossRef]
- Wang, C.S.; Zhou, Y.; Wu, J.Z.; Wang, J.D.; Zhang, Y.Q.; Wang, D. Robust-Index Method for Household Load Scheduling Considering Uncertainties of Customer Behavior. IEEE Trans. Smart Grid 2015, 6, 1806–1818. [Google Scholar] [CrossRef]
- Erol-Kantarci, M.; Mouftah, H.T. Wireless sensor networks for cost-efficient residential energy management in the smart grid. IEEE Trans. Smart Grid 2011, 2, 314–325. [Google Scholar] [CrossRef]
- Bourdeau, M.; Qiang Zhai, X.; Nefzaoui, E.; Guo, X.; Chatellier, P. Modeling and forecasting building energy consumption: A review of data-driven techniques. Sustain. Cities Soc. 2019, 48, 101533. [Google Scholar] [CrossRef]
- Tardioli, G.; Kerrigan, R.; Oates, M.; James, O.D.; Finn, D. Data driven approaches for prediction of building energy consumption at urban level. Energy Procedia 2015, 78, 3378–3383. [Google Scholar] [CrossRef] [Green Version]
- Sardahi, Y.H. Multi-Objective Optimal Design of Control Systems; UC Merced: Merced, CA, USA, 2016. [Google Scholar]
- Article 8.1.b of Royal Decree 216/2014 of the Spanish Legislation. Available online: https://www.boe.es/eli/es/rd/2014/03/28/216 (accessed on 10 March 2019).
- Althaher, S.; Mancarella, P.; Mutale, J. Automated demand response from home energy management system under dynamic pricing and power and comfort constraints. IEEE Trans. Smart Grid 2015, 6, 1874–1883. [Google Scholar] [CrossRef]
- Ahmad, S.; Naeem, M.; Ahmad, A. Low complexity approach for energy management in residential buildings. Int. Trans. Electr. Energy Syst. 2019, 29, e2680. [Google Scholar] [CrossRef] [Green Version]
- Likebupt. Algorithm & Module Reference—Azure Machine Learning. Available online: https://web.archive.org/web/20210701001309/https://docs.microsoft.com/en-us/azure/machine-learning/algorithm-module-reference/module-reference (accessed on 11 December 2020).
- Criminisi, A.; Shotton, J.; Konukoglu, E. Decision Forests: A Unified Framework for Classification, Regression, Density Estimation, Manifold Learning and Semi-Supervised Learning. Found. Trends Comput. Graph. Vis. 2012, 7, 81–227. [Google Scholar] [CrossRef]
- Oprea, S.-V.; Pîrjan, A.; Căruțașu, G.; Petroșanu, D.-M.; Bâra, A.; Stănică, J.-L.; Coculescu, C. Developing a Mixed Neural Network Approach to Forecast the Residential Electricity Consumption Based on Sensor Recorded Data. Sensors 2018, 18, 1443. [Google Scholar] [CrossRef] [PubMed] [Green Version]

























| Uncontrollable Loads | Controllable Loads | |||
|---|---|---|---|---|
| Inelastic | Elastic | |||
| Uninterruptible Loads | Interruptible Loads | Variable Loads with Alteration of Comfort | Variable Loads without Altering Comfort | |
| Television | Washing Machine | Electric Vehicle | Air Conditioning | Natural + artificial light |
| Sound equipment | Dishwasher | Phone Charger | Heating System | Automatic opening of windows |
| Computer | Dryer Machine | Battery/Energy Storage | Fan | |
| Fridge-freezer | Oven | Water Heater | Stove | |
| Lighting | Water Pump (Well, Pool) | |||
| Standby | Vacuum Cleaner (robot) | |||
| Microwave | ||||
| Vacuum Cleaner | ||||
| Iron | ||||
| Cooker pot | ||||
| Cooker Hood | ||||
| Hair dryer | ||||
| Toaster, Blender, Kettle | ||||
| Appliance | Parameters | Description |
|---|---|---|
| Variable loads without altering comfort | ||
| Automatic opening of roller shutters—Automatic opening of roller shutters | ●○ % of shutter opening. ○ Activate or deactivate the automatic shutter opening control. | ●○ Normally residents will control the % opening of the blinds, but if automatic opening control is active, the system will open the blinds based on outside natural light and whether or not residents are present in the room. |
| Variable loads with alteration of comfort | ||
| ■□ Climate control-Air Conditioning + Heating System | ■□ On and off. □ Initial temperature □ Time in minutes until the system automatically applies a second regulation. □ Adjustment of the degree variation (+1, −1, +2, −2) for the second regulation. ■ Order of execution of the second regulation. □ Annulment of the Order of execution of the second regulation. ■ Automatic shutdown in the absence of residents for more than a specified time. | Residents set the temperature. The system resets the temperature (▲▼) after a few minutes to reduce consumption without affecting comfort. ■ Automatic shutdown in case there is no resident in the house (thanks to the GPS tracking controlled by the System) or the presence detector in the room does not detect movement for more than 1 h. |
| ●○ Fan-Fan | ●○ On and off. ●○ Power. | ●○ Usually, users will control its on, off, and power, but the system can turn it off or lower its power if the contracted consumption limit in the electricity tariff is exceeded. |
| ■□ Stove-Stove | ■□ On and off. □ Power | ■□ Normally users will control its on, off, and power, but the system can turn it off if the contracted consumption limit in the electricity tariff is exceeded. |
| Interruptible loads | ||
| ●○ Electric boiler | ●○ On and off. ●○ 6 + 1 operating time slots. ○ Temperature targets for each activation band. ●○ Adjusting the water heating curve. ● Observation of permanent consumption. ● Long-term disconnection | ●○ Absolute management of thermos operation by both residents and the system. ● Switched off during prolonged periods of absence of residents (vacations). Switched back on several days before return. |
| ■□ Vacuum cleaner (robot)-Vacuum Cleaner (robot) | □ Switching on and off ■ Recharge control | ■□ Normally users will control its power on and off, but a power-on time and recharge time can be programmed. |
| ●○ Electric Vehicle ●○ Battery-Energy Storage ●○ Water Pump (Well, Pool) | ●○ Recharge time (on/off). | ●○ Recharging would take place at the cheapest hours. Note: Not applied or scheduled to the study dwelling in the article. |
| Uninterruptible loads | ||
| ■□ Washing Machine | ■□ Power-on time. ■□ Permanent consumption observation. | ■□ Manual or system-programmed ignition at the cheapest time between 7:00 and 11:00 AM. |
| ●○ Dishwasher-Dishwasher. | ●○ Power-on time. ●○ Permanent consumption observation. | ●○ Manual or system-programmed ignition at the cheapest time for the next 12 h (24 h). |
| ■□ Dryer Machine | ■□ Power-on time. | ■□ Manual or system-programmed ignition. Note: Not applied or programmed to the study dwelling in the article. |
| ■□ Oven | ■□ Power-on time. | ●○ Manual or system-programmed ignition Note: Not applied or programmed to the article study dwelling. |
| Uncontrollable loads | ||
| ●○ Television ●○ Sound equipment ●○ Computer. ●○ Refrigerator/Fridge-freezer. ●○ Light Spots/lighting. ●○ Microwave ●○ Vacuum Cleaner ●○ Iron ●○ Cooker pot ●○ Cooker Hood ●○ Hair dryer ●○ Toaster ●○ Kettle ●○ Blender | ○ On and off Observation of general consumption. Notification by the Assistant. ● Rate information to residents on an hourly, strip, and daily basis. | ○ Manual switching on and off by residents. ● Warning of excessive consumption (via Assistant and Telegram) in the absence of residents or exceeding the contracted power limit. ● Notification (via Wizard, Telegram, and control panel) of the electricity tariff. |
| Appliance | Sensors/Actuators | Description |
|---|---|---|
| Variable loads without altering comfort | ||
| Automatic opening of roller shutters-Automatic opening of roller shutters | WiFi shutter switch | Allows raising and lowering of blinds with percentage function by programming |
| Variable loads with alteration of comfort | ||
| Air Conditioning-Air Conditioning + Heating System | Universal Remote Control with WiFi and IR. Programmable. Temperature sensor in the room Presence sensor in the room System consumption sensor | Thanks to the controller, the System controls all the functions of the Air Conditioning and Heating System. The temperature, presence, and consumption sensor allows the system to perform a secondary adjustment. |
| Fan-Fan | IoT built-in from the factory | It is linked to the Assistant and the system for voice control and automation. |
| Stove-Stove | WiFi Smart Plug | On/off control. |
| Interruptible loads | ||
| Electric water heater | WiFi Smart Plug with consumption and power measurement. Wifi temperature sensor inside the water tank. | The system controls the on, off, and actual temperature of the water in the tank. |
| Vacuum Cleaner (robot)-Vacuum Cleaner (robot) | Factory-integrated IoT. WiFi Smart Plug. | The system (or residents) can activate and deactivate it. The optimal recharging time is programmed via the smart plug. |
| Uninterruptible loads | ||
| Washing Machine | WiFi Smart Plug with consumption and power measurement. | After being manually programmed, the System (or the residents) decides the switch-on time. |
| Dishwasher-Dishwasher | WiFi Smart Plug with consumption and power measurement. Door opening sensor. | After being manually programmed, the System (or the residents) decides the switch-on time. |
| Uncontrollable loads | ||
| Television Sound equipment Computer Refrigerator/Fridge-freezer Light Spots/lighting Microwave Vacuum Cleaner Iron Cooker pot Cooker Hood Hair dryer Toaster Kettle Blender | - | Manual turn-on and turn-off by residents. -Warning of excessive consumption (via Assistant and Telegram) in case of absence of residents or exceeding the contracted power limit. -Notification (via Wizard, Telegram, and control panel) of the electricity tariff. |
| Command | Type (Residents Request Information/System Informs about Triggering Events) | Description |
|---|---|---|
| “turn on/off/regulate device” | Residents/System | Residents control more than 80 functions (turn on, turn off, raise the temperature by one degree) of the different devices connected in the home. In some cases, the system detects that a device has been switched on so that under certain conditions, it acts automatically to reduce consumption while maintaining comfort (e.g., it raises the cooling temperature by one degree after a few minutes of operation). |
| “price”, “power”, “consumption”, “daily consumption”, “cheapest washing machine/hour”... | Residents | Residents can ask at any time for data related to consumption and expenditure: Price or active power being consumed at that moment to know the impact of connected appliances, the next cheapest hours, the accumulated consumption per hour, daily or monthly. |
| “room temperature”, “outside temperature”, “thermos temperature”, “probability of rain”.... | Residents can know the data from the sensors connected in the house through the voice assistant or the probability of rain to make decisions based on these conditions and the electricity tariff to reduce consumption and maintain comfort. | |
| “Departure or arrival home” (GPS + ping Wifi + door sensor). | System | The system detects if a Resident arrives or leaves the house by issuing a welcome message or checking if there are devices or unwanted presences. |
| “Power warnings” | System | The System monitors the active power level, informing Residents if the contracted power limit is reached or exceeds 105%, which would incur penalties. |
| “Price and consumption/expense notices” | System | The System reports at each start of a time slot with a different energy price, except during night hours (peak, flat or off-peak). In the event of higher or lower than expected consumption, the reports and responses to automatic warnings and queries made by the Residents to the Assistant are modified. |
| “Notices on ways to save” | Residents/System | A compendium of tips with saving techniques. The advice offered is random unless an inappropriate use of an appliance is detected (e.g., forced turning on of the electric boiler or continued use of the washing machine during peak rate hours). The system has a calendar, so some responses and warnings change depending on whether it is a national holiday or a weekend, or if adverse weather conditions are expected, or a very high consumption prediction estimated by ML. |
| “Text-to-speech and social networks” | Residents/System | Residents can send any command to the Assistant through their mobile application by voice commands or by text through social networks that the Assistant receives and executes. The System uses social networks to send text and text-to-speech messages to Residents with the help of the Assistant. |
| Periods | Validity (Day-Month-Year) | Incorporation of HERMES System Functionalities | |
|---|---|---|---|
| P0 | Previous | <31-03-2019 | None |
| P1 | First | 31-03-2019 to 26-10-2019 | Consumption information wizard |
| P2 | Second | 04-11-2019 to 28-03-2020 | Consumption management and load shifting (electric boiler and washing machine). Change of optimal electricity tariff for the HERMES system. |
| P3 | Third | 29-03-2020 to 06-02-2021 | Load shifting (dishwasher) and cooling temperature control |
| Billing Periods (Day-Month-Year) | Modeling | Real | ||
|---|---|---|---|---|
| P0 and P1 2.0A | P0 and P1 2.0DHA | Invoiced 1 (Energy) | Contracted Rate | |
| Invoice 15: 09-03-2019 to 07-04-2019 | 44.22 | 40.52 | 44.26 | 2.0A |
| Invoice 16: 07-04-2019 to 07-05-2019 | 41.18 | 37.70 | 40.38 | 2.0A |
| Invoice 17: 08-05-2019 to 07-06-2019 | 41.08 | 37.57 | 40.78 | 2.0A |
| Invoice 18: 08-06-2019 to 06-07-2019 | 37.03 | 33.85 | 36.91 | 2.0A |
| Invoice 19: 07-07-2019 to 05-08-2019 | 35.71 | 32.75 | 35.05 | 2.0A |
| Invoice 20: 06-08-2019 to 06-09-2019 | 60.18 | 54.78 | 60.19 | 2.0A |
| Invoice 21: 07-09-2019 to 06-10-2019 | 37.91 | 34.53 | 37.67 | 2.0A |
| Invoice 22: 07-10-2019 to 03-11-2019 | 31.15 | 28.44 | 30.78 | 2.0A |
| Subtotal before Hermes (€) | 328.46 | 300.14 | 326.02 | |
| HERMES system implementation | ||||
| Invoice 23: 04-11-2019 to 09-12-2019 | 50.77 | 46.41 | 38.54 | 2.0DHA |
| Invoice 24: 10-12-2019 to 09-01-2020 | 49.25 | 44.50 | 36.99 | 2.0DHA |
| Invoice 25: 10-01-2020 to 07-02-2020 | 55.93 | 50.82 | 43.51 | 2.0DHA |
| Invoice 26: 08-02-2020 to 07-03-2020 | 39.82 | 35.86 | 28.50 | 2.0DHA |
| Invoice 27: 08-03-2020 to 10-04-2020 | 42.40 | 37.92 | 30.76 | 2.0DHA |
| Invoice 28: 11-04-2020 to 09-05-2020 | 27.74 | 24.36 | 18.38 | 2.0DHA |
| Invoice 29: 10-05-2020 to 06-06-2020 | 30.37 | 26.99 | 22.54 | 2.0DHA |
| Invoice 30: 07-06-2020 to 06-07-2020 | 35.95 | 32.25 | 30.56 | 2.0DHA |
| Invoice 31: 07-07-2020 to 08-08-2020 | 61.84 | 55.78 | 50.49 | 2.0DHA |
| Invoice 32: 09-08-2020 to 06-09-2020 | 45.00 | 40.73 | 39.57 | 2.0DHA |
| Invoice 33: 07-09-2020 to 06-10-2020 | 42.19 | 38.33 | 32.53 | 2.0DHA |
| Invoice 34: 07-10-2020 to 08-11-2020 | 40.75 | 36.91 | 29.62 | 2.0DHA |
| Invoice 35: 09-11-2020 to 07-12-2020 | 50.53 | 46.15 | 30.89 | 2.0DHA |
| Invoice 36: 08-12-2020 to 11-01-2021 | 89.31 | 82.04 | 74.02 | 2.0DHA |
| Invoice 37: 12-01-2021 to 06-02-2021 | 59.28 | 54.56 | 40.56 | 2.0DHA |
| Data from 04-11-2019 to 06-02-2021: | ||||
| Total (€) | 721.13 | 653.61 | 547.46 | |
| Average energy billed per month (€) | 48.08 | 43.57 | 36.50 | |
| Average monthly savings (%) | 24.08% | 16.24% | ||
| Average monthly savings (€) | 11.58 | 7.08 | ||
| Monthly savings with taxes (€) | 14.73 | 9.00 | ||
| Average daily savings (€) | 0.3859 | 0.2359 | ||
| Daily with taxes (€) | 0.4909 | 0.3000 | ||
| Month | Billed Monthly Energy (kWh) | ||
|---|---|---|---|
| 2018 | 2019 | 2020 | |
| January | 760 | 784 | 538 |
| February | 635 | 468 | 422 |
| March | 518 | 383 | 482 |
| April | 449 | 356 | 367 |
| May | 353 | 369 | 365 |
| June | 398 | 337 | 419 |
| July | 358 | 309 | 625 |
| August | 690 | 583 | 473 |
| September | 420 | 362 | 406 |
| October | 399 | 296 | 418 |
| November | 625 | 457 | 369 |
| December | 741 | 507 | 760 |
| Total per year (kWh) | 6346 | 5211 | 5644 |
| Variation compared to 2018 | 0 | −1135 | −702 |
| Variation compared to 2018 (%) | 0% | −17.88% | −11.06% |
| Annual invoice (€) | 1387.16 | 1082.32 | 801.19 |
| Variation € compared to 2018 (%) | 0% | −21.98% | −42.24% |
| Month | Monthly Amount (€) | ||
|---|---|---|---|
| 2018 | 2019 | 2020 | |
| January | 150.02 | 160.92 | 79.09 |
| February | 128.21 | 99.51 | 59.99 |
| March | 99.83 | 85.92 | 66.96 |
| April | 95.66 | 83.04 | 47.13 |
| May | 87.46 | 83.55 | 51.59 |
| June | 91.94 | 76.57 | 63.43 |
| July | 89.00 | 75.24 | 91.23 |
| August | 151.23 | 109.25 | 74.08 |
| September | 101.68 | 78.57 | 65.93 |
| October | 98.72 | 78.70 | 64.70 |
| November | 137.92 | 78.58 | 63.04 |
| December | 155.49 | 72.47 | 74.02 1 |
| Total per year (€) | 1387.16 | 1082.32 | 801.19 |
| Variation compared to 2018 | 0 | −304.84 | −585.97 |
| Variation compared to 2018 (%) | 0% | −21.98% | −42.24% |
| Annual energy billed (kWh) | 6346 | 5211 | 5644 |
| Variation kWh/year compared to 2018 (%) | 0% | −17.88% | −11.06% |
Publisher’s Note: MDPI stays neutral with regard to jurisdictional claims in published maps and institutional affiliations. |
© 2021 by the authors. Licensee MDPI, Basel, Switzerland. This article is an open access article distributed under the terms and conditions of the Creative Commons Attribution (CC BY) license (https://creativecommons.org/licenses/by/4.0/).
Share and Cite
Linan-Reyes, M.; Garrido-Zafra, J.; Gil-de-Castro, A.; Moreno-Munoz, A. Energy Management Expert Assistant, a New Concept. Sensors 2021, 21, 5915. https://doi.org/10.3390/s21175915
Linan-Reyes M, Garrido-Zafra J, Gil-de-Castro A, Moreno-Munoz A. Energy Management Expert Assistant, a New Concept. Sensors. 2021; 21(17):5915. https://doi.org/10.3390/s21175915
Chicago/Turabian StyleLinan-Reyes, Matias, Joaquin Garrido-Zafra, Aurora Gil-de-Castro, and Antonio Moreno-Munoz. 2021. "Energy Management Expert Assistant, a New Concept" Sensors 21, no. 17: 5915. https://doi.org/10.3390/s21175915
APA StyleLinan-Reyes, M., Garrido-Zafra, J., Gil-de-Castro, A., & Moreno-Munoz, A. (2021). Energy Management Expert Assistant, a New Concept. Sensors, 21(17), 5915. https://doi.org/10.3390/s21175915

