Arc-Induced Long-Period Fiber Gratings at INESC TEC. Part II: Properties and Applications in Optical Communications and Sensing
Abstract
1. Introduction
2. Thermal Behavior of Arc-Induced Gratings
2.1. Theoretical Equations Concerning the Gratings Sensitivity
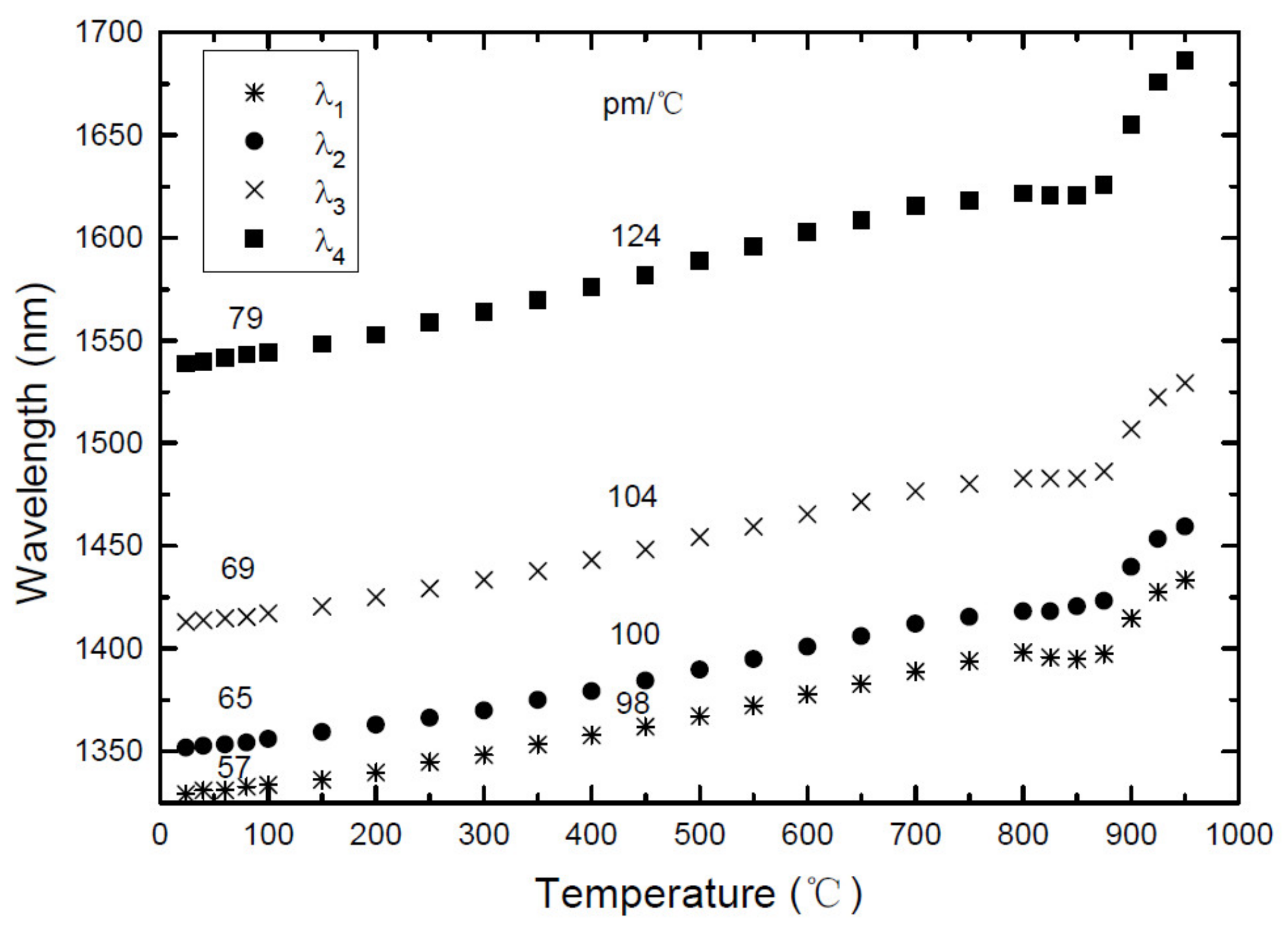
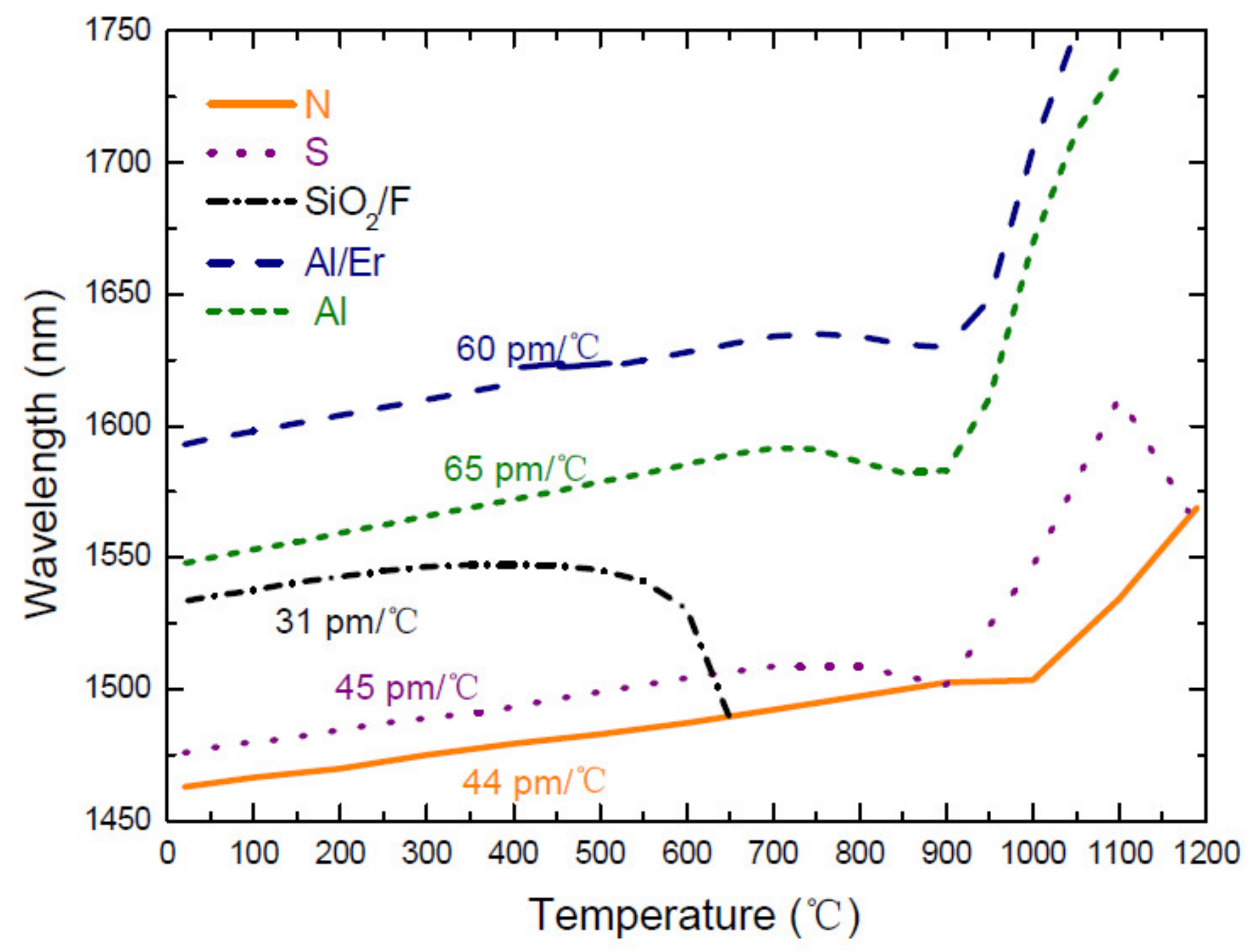
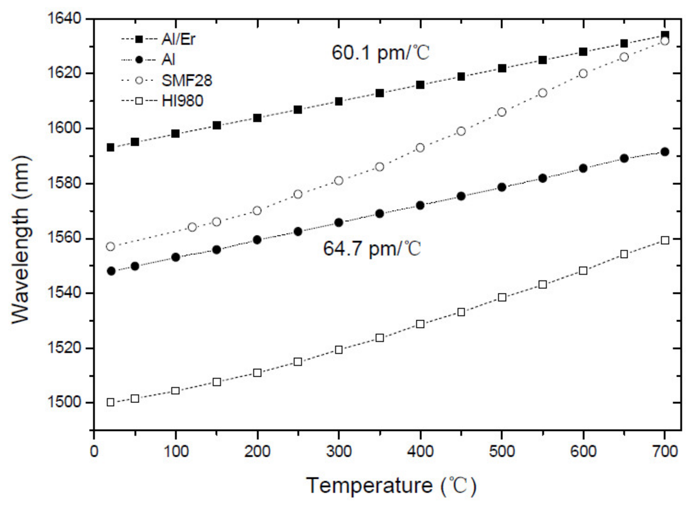
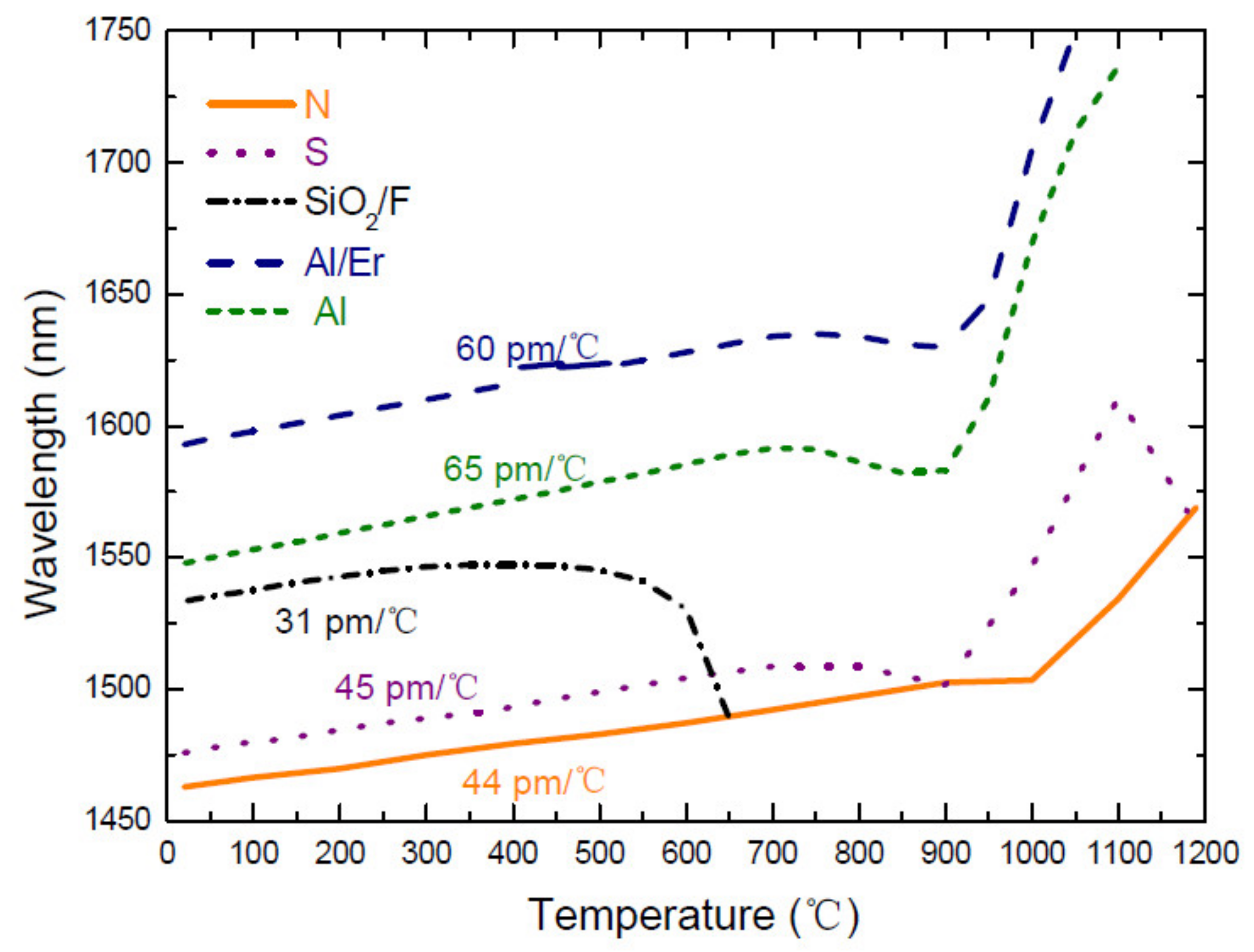
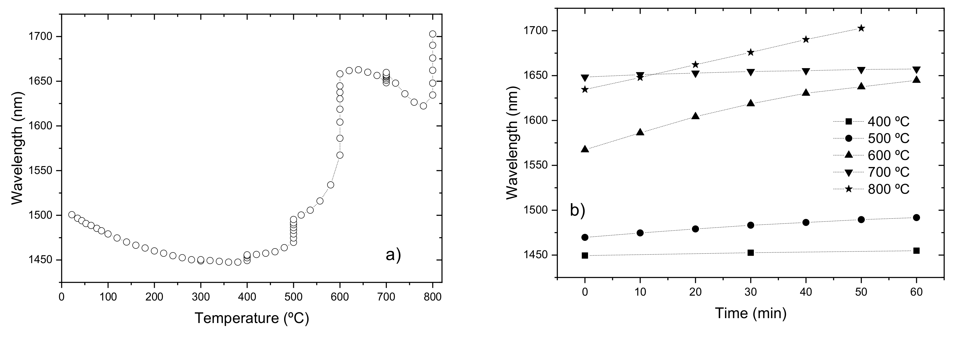
2.2. LPFGs’ Temperature Sensitivity from Room Temperature up to 1200 °C
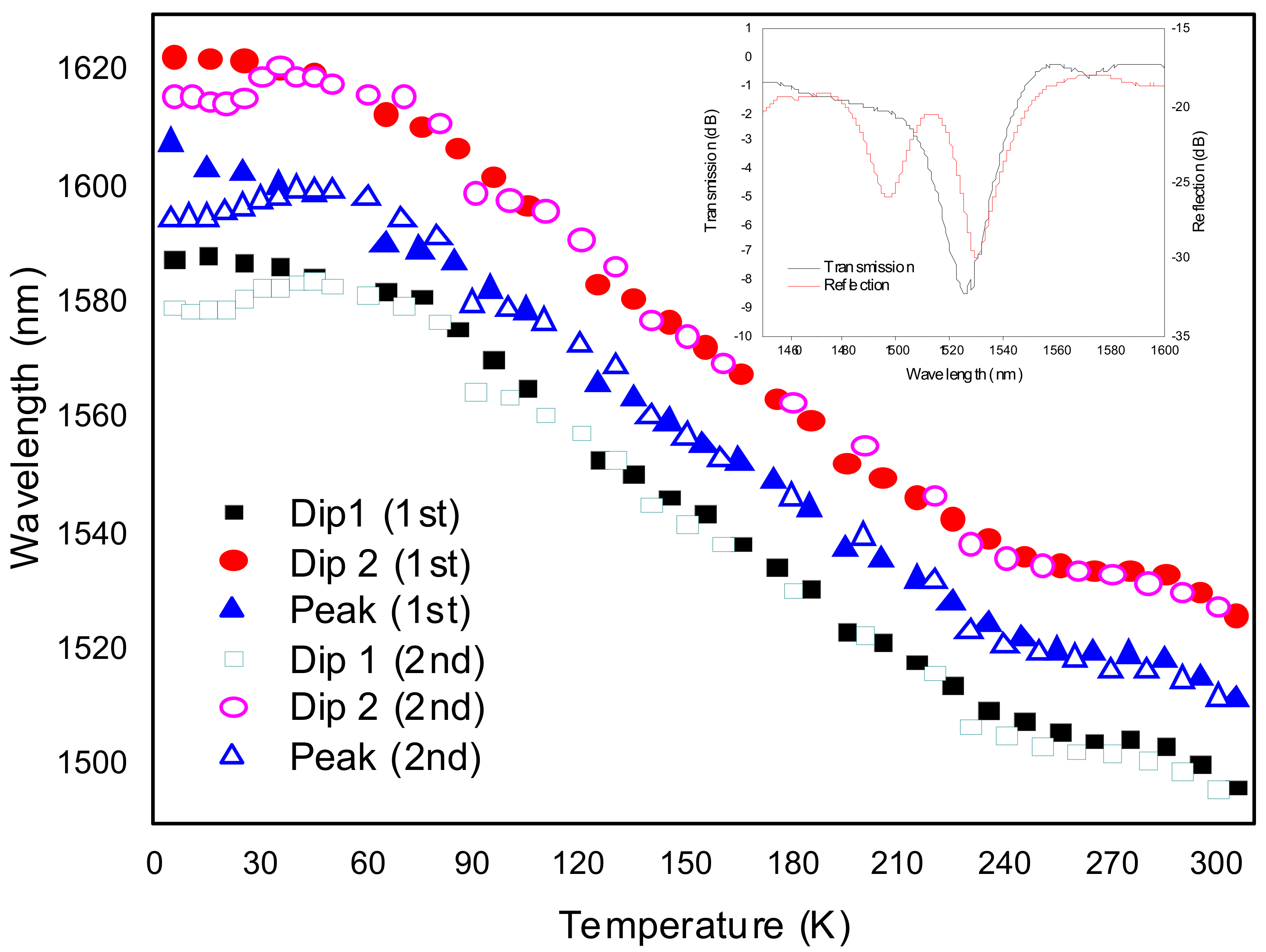
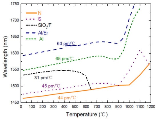
2.3. Heating Cycles and Strain Point
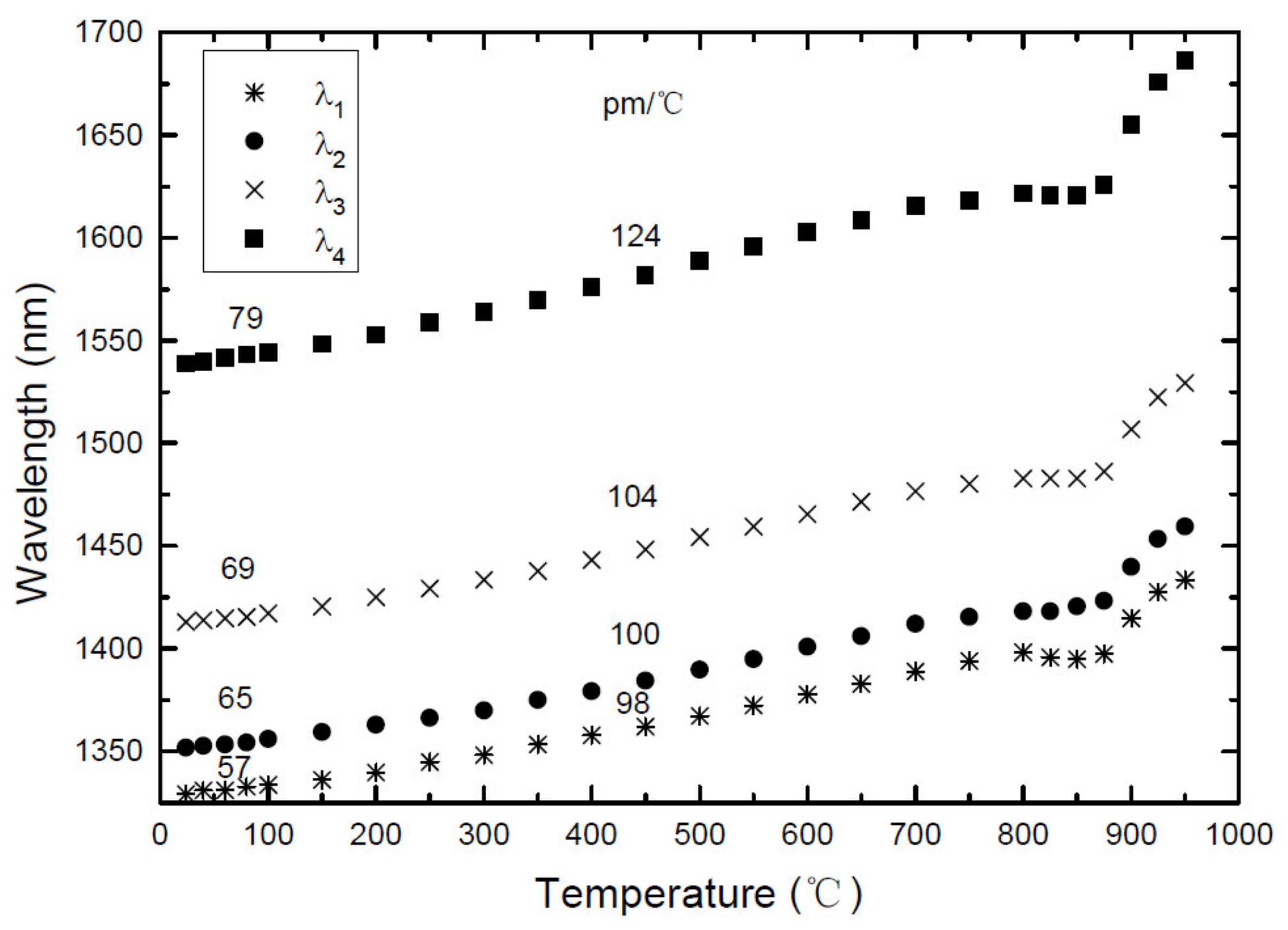
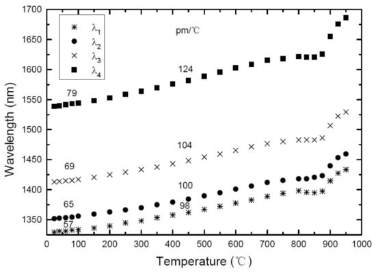
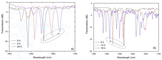
2.4. LPFGs’ Stability at High Temperatures
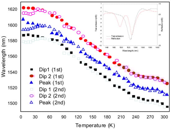
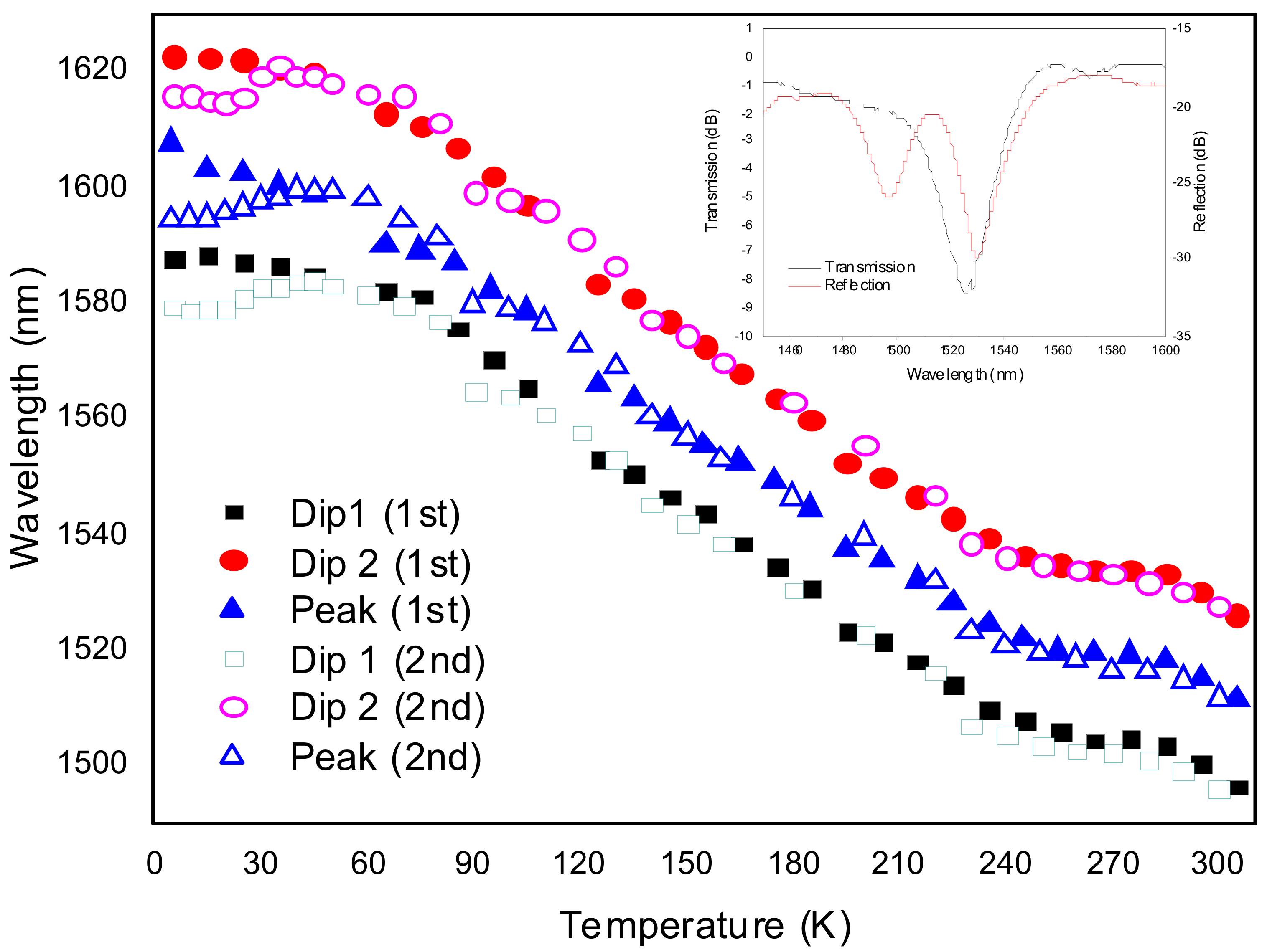
2.5. LPFGs at Cryogenic Temperatures
3. LPFGs’ Sensitivity to Fabrication and Physical Parameters
3.1. Influence of the Fabrication Parameters on the Gratings Sensitivity
3.2. Sensitivity to Other Physical Parameters
3.3. Polarization Dependence Loss
3.4. Interactions with Uv-Radiation
3.5. Exposure to γ-Radiation
4. Long-Period Fiber Gratings as Optical Fiber Sensors
4.1. Sampled Fiber Bragg Grating
4.2. Step-Changed LPFG
4.3. Dual Set of Resonances Corresponding to Different Formation Mechanisms
4.4. Flow Sensor
5. Conclusions
Author Contributions
Funding
Conflicts of Interest
References
- Jiao, K.; Shen, H.; Guan, Z.; Yang, F.; Zhu, R. Suppressing stimulated Raman scattering in kW-level continuous-wave MOPA fiber laser based on long-period fiber gratings. Opt. Express 2020, 28, 6048–6063. [Google Scholar] [CrossRef] [PubMed]
- Rao, Y.; Zhu, T.; Ran, Z.; Wang, Y.; Jiang, J.; Hu, A. Novel long-period fiber gratings written by high-frequency CO2 laser pulses and applications in optical fiber communication. Opt. Commun. 2004, 229, 209–221. [Google Scholar] [CrossRef]
- Vengsarkar, A.M.; Pedrazzani, J.R.; Judkins, J.B.; Lemaire, P.J.; Bergano, N.S.; Davidson, C.R. Long-period fiber-grating-based gain equalizers. Opt. Lett. 1996, 21, 336–338. [Google Scholar] [CrossRef] [PubMed]
- Wysocki, P.F.; Judkins, J.B.; Espindola, R.P.; Andrejco, M.; Vengsarkar, A.M. Broad-band erbium-doped fiber amplifier flattened beyond 40 nm using long-period grating filter. IEEE Photonics Technol. Lett. 1997, 9, 1343–1345. [Google Scholar] [CrossRef]
- Sohn, I.; Song, J. Gain flattened and improved double-pass two-stage EDFA using microbending long-period fiber gratings. Opt. Commun. 2004, 236, 141–144. [Google Scholar] [CrossRef]
- Harumoto, M.; Shigehara, M.; Suganuma, H. Gain-flattening filter using long-period fiber gratings. J. Lightwave Technol. 2002, 20, 1027–1033. [Google Scholar] [CrossRef]
- Rego, G. Optical filters for fiber lasers and amplifiers. Microw. Opt. Technol. Lett. 2008, 50, 890–894. [Google Scholar] [CrossRef]
- Trifanov, I.; Caldas, P.; Neagu, L.; Romero, R.; Berendt, M.O.; Salcedo, J.A.R.; Podoleanu, A.G.; Lobo Ribeiro, A.B. Combined Neodymium—Ytterbium-doped ASE fiber-optic source for optical coherence tomography applications. IEEE Photonics Technol. Lett. 2011, 23, 21–23. [Google Scholar] [CrossRef]
- Patrick, H.J.; Kersey, A.D.; Burns, W.K.; Moeller, R.P. Erbium-doped superfluorescent fibre source with long period fibre grating wavelength stabilisation. Electron. Lett. 1997, 33, 2061–2063. [Google Scholar] [CrossRef]
- Ramachandran, S.; Yan, M.F.; Monberg, E.; Dimarcello, F.V.; Wisk, P.; Ghalmi, S. Record bandwidth, spectrally flat coupling with microbend gratings in dispersion-tailored fibers. IEEE Photonics Technol. Lett. 2003, 15, 1561–1563. [Google Scholar] [CrossRef]
- Veeriah, S.; Faidz, A.R.; Phua, Y.N.; Mishra, V. Broadband spectrum based on mechanically induced cascaded long-period fibre gratings. Microw. Opt. Technol. Lett. 2005, 44, 463–465. [Google Scholar] [CrossRef]
- Lin, C.Y.; Wang, L.A. A wavelength- and loss-tunable band-rejection filter based on corrugated long-period fiber grating. IEEE Photonics Technol. Lett. 2001, 13, 332–334. [Google Scholar] [CrossRef]
- Chung, K.W.; Yin, S.Z. Analysis of a widely tunable long-period grating by use of an ultrathin cladding layer and higher-order cladding mode coupling. Opt. Lett. 2004, 29, 812–814. [Google Scholar] [CrossRef] [PubMed]
- Dong, X.Y.; Yang, X.F.; Shum, P.; Chan, C.C. Tunable WDM filter with 0.8-nm channel spacing using a pair of long-period fiber gratings. IEEE Photonics Technol. Lett. 2005, 17, 795–797. [Google Scholar] [CrossRef]
- Eom, T.J.; Kim, S.J.; Kim, T.Y.; Park, C.S.; Lee, B.H. Optical pulse multiplication and temporal coding using true time delay achieved by long-period fiber gratings in dispersion compensating fiber. Opt. Express 2004, 12, 6410–6420. [Google Scholar] [CrossRef] [PubMed]
- Gu, X. Wavelength-division multiplexing isolation fiber filter and light source using cascaded long-period fiber gratings. Opt. Lett. 1998, 23, 509–510. [Google Scholar] [CrossRef]
- Luo, H.; Sun, C.; Geng, T.; Yuan, L. A dark hollow beam generator based on special optical fiber with long period fiber grating. Opt. Laser Technol. 2021, 134, 106598. [Google Scholar] [CrossRef]
- Zhou, M.; Zhang, Z.; Shao, L.; Liu, S.; Liu, Y.; Pang, Y.; Bai, Z.; Fu, C.; Cui, W.; Qi, L.; et al. Broadband tunable orbital angular momentum mode converter based on a conventional single-mode all-fiber configuration. Opt. Express 2021, 29, 15595–15603. [Google Scholar] [CrossRef]
- Poole, C.D.; Presby, H.M.; Meester, J.P. 2-Mode Fiber Spatial-Mode Converter Using Periodic Core Deformation. Electron. Lett. 1994, 30, 1437–1438. [Google Scholar] [CrossRef]
- Lee, K.S.; Erdogan, T. Transmissive tilted gratings for LP0.1-to-LP11 mode coupling. IEEE Photonics Technol. Lett. 1999, 11, 1286–1288. [Google Scholar]
- Ortega, B.; Dong, L.; Liu, W.; deSandro, J.; Reekie, L.; Tsypina, S.; Bagratashvili, V.; Laming, R. High-performance optical fiber polarizers based on long-period gratings in birefringent optical fibers. IEEE Photonics Technol. Lett. 1997, 9, 1370–1372. [Google Scholar] [CrossRef]
- Kopp, V.I.; Churikov, V.M.; Singer, J.; Chao, N.; Neugroschl, D.; Genack, A.Z. Chiral fiber gratings. Science 2004, 305, 74–75. [Google Scholar] [CrossRef]
- Ramachandran, S.; Das, M.; Wang, Z.; Fleming, J.; Yan, M. High extinction, broadband polarisers using long-period fibre gratings in few-mode fibres. Electron. Lett. 2002, 38, 1327–1328. [Google Scholar] [CrossRef]
- Lee, Y.W.; Jung, J.; Lee, B. Polarization-sensitive interference spectrum of long-period fiber grating pair separated by erbium-doped fiber. IEEE Photonics Technol. Lett. 2002, 14, 1312–1314. [Google Scholar]
- Kim, C.S.; Han, Y.G.; Kang, J.U.; Choi, B.; Nelson, J.S. Polarization-insensitive multi-wavelength switching based on polarization-selective long-period fiber gratings. Opt. Express 2004, 12, 6082–6087. [Google Scholar] [CrossRef] [PubMed]
- Kurkov, A.S.; Douay, M.; Duhem, O.; Leleu, B.; Henninot, J.F.; Bayon, J.F.; Rivoallan, L. Long-period fibre grating as a wavelength selective polarisation element. Electron. Lett. 1997, 33, 616–617. [Google Scholar] [CrossRef]
- Bachim, B.L.; Ogunsola, O.O.; Gaylord, T.K. Optical-fiber-to-waveguide coupling using carbon-dioxide-laser-induced long-period fiber gratings. Opt. Lett. 2005, 30, 2080–2082. [Google Scholar] [CrossRef] [PubMed]
- Kim, M.J.; Eom, T.J.; Paek, U.C.; Lee, B.H. Lens-free optical fiber connector having a long working distance assisted by matched long-period fiber gratings. J. Lightwave Technol. 2005, 23, 588–596. [Google Scholar]
- Erdogan, T.; Stegall, D.; Heaney, A. Direct single-mode fiber to free space coupling assisted by a cladding mode. In Proceedings of the 1999 Optical Fiber Communications Conference, San Diego, CA, USA, 21–26 February 1999; pp. 171–173. [Google Scholar]
- Perlin, V.; Winful, H. Nonlinear pulse switching using long-period fiber gratings. J. Lightwave Technol. 2000, 18, 329–333. [Google Scholar] [CrossRef]
- Kutz, J.; Eggleton, B.; Stark, J.; Slusher, R. Nonlinear pulse propagation in long-period fiber gratings: Theory and experiment. IEEE J. Sel. Top. Quantum 1997, 3, 1232–1245. [Google Scholar] [CrossRef]
- Kim, Y.; Kim, N.; Chung, Y.; Paek, U.; Han, W. All-optical switching application based on optical nonlinearity of Yb3+ doped aluminosilicate glass fiber with a long-period fiber gratings pair. Opt. Express 2004, 12, 651–656. [Google Scholar] [CrossRef] [PubMed]
- Chiang, K.S.; Liu, Y.Q.; Ng, M.N.; Li, S.P. Coupling between two parallel long-period fibre gratings. Electron. Lett. 2000, 36, 1408–1409. [Google Scholar] [CrossRef]
- Lauzon, J.; Chandonnet, A.; Xu, C.; Huang, W.P. Grating-assisted fused fibre filter. In Proceedings of the IOCC-ECOC 97—11th International Conference on Integrated Optics and Optical Fibre Communications/23rd European Conference on Optical Communications, Edinburgh, UK, 22–25 September 1997; Volume 2, pp. 169–172. [Google Scholar]
- An, H.; Ashton, B.; Fleming, S. Long-period-grating-assisted optical add–drop filter based on mismatched twin-core photosensitive-cladding fiber. Opt. Lett. 2004, 29, 343–345. [Google Scholar] [CrossRef] [PubMed]
- Kulishov, M.; Azana, J. Long-period fiber gratings as ultrafast optical differentiators. Opt. Lett. 2005, 30, 2700–2702. [Google Scholar] [CrossRef]
- Stegall, D.; Erdogan, T. Dispersion control with use of long-period fiber gratings. J. Opt. Soc. Am. A 2000, 17, 304–312. [Google Scholar] [CrossRef]
- Das, M.; Thyagarajan, K. Dispersion compensation in transmission using uniform long period fiber gratings. Opt. Commun. 2001, 190, 159–163. [Google Scholar] [CrossRef]
- Han, Y.; Kim, C.; Kang, J.; Paek, U.; Chung, Y. Multiwavelength Raman fiber-ring laser based on tunable cascaded long-period fiber gratings. IEEE Photonics Technol. Lett. 2003, 15, 383–385. [Google Scholar]
- Su, C.D.; Wang, L.A. Multiwavelength fiber sources based on double-pass superfluorescent fiber sources. J. Lightwave Technol. 2000, 18, 708–714. [Google Scholar] [CrossRef]
- Romero, R.; Frazão, O.; Rego, G.; Marques, P.V.S.; Salgado, H.M. Sampled Fibre Bragg Gratings Fabrication using an Electric Arc and their Applications. In Proceedings of the 2002 Course on Photosensitivity in Optical Waveguides and Glasses, St. Petersburg, Russia, 17–21 June 2002. [Google Scholar]
- Guo, B.; Guo, X.; Tang, L.; Yang, W.; Chen, Q.; Ren, Z. Ultra-long-period grating-based multi-wavelength ultrafast fiber laser [Invited]. Chin. Opt. Lett. 2021, 19, 071405. [Google Scholar] [CrossRef]
- Silva-Alvarado, E.C.; Martinez-Rios, A.; Ledesma-Carrillo, L.M.; Jauregui-Vazquez, D.; Salceda-Delgado, G.; Porraz-Culebro, T.E.; Martin Vela, J.A.; Sierra-Hernandez, J.M. Switchable Ytterbium Fiber Laser Based on a Symmetrical Long-Period Fiber Grating. IEEE Photonics J. 2021, 13. [Google Scholar] [CrossRef]
- Jiao, K.; Shen, H.; Yang, F.; Wu, X.; Bian, Y.; Zhu, R. Optimizing output spectral linewidth of fiber laser utilizing phase-shifted long-period fiber grating. Opt. Laser Technol. 2021, 142, 107221. [Google Scholar] [CrossRef]
- Humbert, G.; Malki, A. High performance bandpass filters based on electric arc-induced pi-shifted long-period fibre gratings. Electron. Lett. 2003, 39, 1506–1507. [Google Scholar] [CrossRef]
- Chen, L. Phase-shifted long-period gratings by refractive index-shifting. Opt. Commun. 2001, 200, 187–191. [Google Scholar] [CrossRef]
- Starodubov, D.S.; Grubsky, V.; Feinberg, J. All-fiber bandpass filter with adjustable transmission using cladding-mode coupling. IEEE Photonics Technol. Lett. 1998, 10, 1590–1592. [Google Scholar] [CrossRef]
- Choi, S.; Eom, T.J.; Jung, Y.; Lee, B.H.; Lee, J.W.; Oh, K. Broad-band tunable all-fiber bandpass filter based on hollow optical fiber and long-period grating pair. IEEE Photonics Technol. Lett. 2005, 17, 115–117. [Google Scholar] [CrossRef]
- Han, Y.G.; Kim, S.H.; Lee, S.B.; Paek, U.C.; Chung, Y. Development of core mode blocker with H-2-loaded Ge-B codoped fibres. Electron. Lett. 2003, 39, 1107–1108. [Google Scholar] [CrossRef]
- Dimmick, T.E.; Satorius, D.A.; Burdge, G.L. All-fiber acousto-optic tunable bandpass filter. In Proceedings of the 2001 Optical Fiber Communications Conference, Anaheim, CA, USA, 17–22 March 2001; p. Paper WJ3. [Google Scholar]
- Bhatia, V. Applications of long-period gratings to single and multi-parameter sensing. Opt. Express 1999, 4, 457–466. [Google Scholar] [CrossRef]
- Bhatia, V.; Campbell, D.; Claus, R.O.; Vengsarkar, A.M. Simultaneous strain and temperature measurement with long-period gratings. Opt. Lett. 1997, 22, 648–650. [Google Scholar] [CrossRef]
- Bhatia, V.; Campbell, D.K.; Sherr, D.; DAlberto, T.G.; Zabaronick, N.A.; TenEyck, G.A.; Murphy, K.A.; Claus, R.O. Temperature-insensitive and strain-insensitive long-period grating sensors for smart structures. Opt. Eng. 1997, 36, 1872–1876. [Google Scholar] [CrossRef]
- Liu, Y.; Zhang, L.; Bennion, I. Fibre optic load sensors with high transverse strain sensitivity based on long-period gratings in B/Ge co-doped fibre. Electron. Lett. 1999, 35, 661–663. [Google Scholar] [CrossRef]
- Patrick, H.J.; Chang, C.C.; Vohra, S.T. Long period fibre gratings for structural bend sensing. Electron. Lett. 1998, 34, 1773–1775. [Google Scholar] [CrossRef]
- Wang, L.A.; Lin, C.Y.; Chern, G.W. A torsion sensor made of a corrugated long period fibre grating. Meas. Sci. Technol. 2001, 12, 793–799. [Google Scholar] [CrossRef]
- Lee, B.H.; Liu, Y.; Lee, S.B.; Choi, S.S.; Jang, J.N. Displacements of the resonant peaks of a long-period fiber grating induced by a change of ambient refractive index. Opt. Lett. 1997, 22, 1769–1771. [Google Scholar] [CrossRef] [PubMed]
- Shu, X.W.; Zhu, X.M.; Jiang, S.; Shi, W.; Huang, D.X. High sensitivity of dual resonant peaks of long-period fibre grating to surrounding refractive index changes. Electron. Lett. 1999, 35, 1580–1581. [Google Scholar] [CrossRef]
- Patrick, H.; Kersey, A.; Bucholtz, F. Analysis of the response of long period fiber gratings to external index of refraction. J. Lightwave Technol. 1998, 16, 1606–1612. [Google Scholar] [CrossRef]
- Kristensen, M.; Russell, J.; Gao, S.; Cook, K.; Canning, J. Improved Spectral Resolution of Long-Period Fiber Grating Sensors for Ultra-High Temperature Environments Using Narrow Interferences between Regenerated Gratings. In Proceedings of the Bragg Gratings, Photosensitivity, and Poling in Glass Waveguides, Barcelona, Spain, 27–31 July 2014. [Google Scholar]
- Davis, D.D.; Gaylord, T.K.; Glytsis, E.N.; Mettler, S.C. Very-high-temperature stable CO2-laser-induced long-period fibre gratings. Electron. Lett. 1999, 35, 740–742. [Google Scholar] [CrossRef]
- Zhu, T.; Rao, Y.J.; Song, Y.; Chiang, K.S.; Liu, M. Highly sensitive temperature-independent strain sensor based on a long-period fiber grating with a CO2-laser engraved rotary structure. IEEE Photonics Technol. Lett. 2009, 21, 543–545. [Google Scholar] [CrossRef]
- Zhao, D.; Zhou, K.; Chen, X.; Zhang, L.; Bennion, I.; Flockhart, G.; MacPherson, W.; Barton, J.; Jones, J. Implementation of vectorial bend sensors using long-period gratings UV-inscribed in special shape fibres. Meas. Sci. Technol. 2004, 15, 1647–1650. [Google Scholar] [CrossRef]
- Zhang, L.; Liu, Y.; Zhao, Y.; Wang, T. High Sensitivity Twist Sensor Based on Helical Long-Period Grating Written in Two-Mode Fiber. IEEE Photonics Technol. Lett. 2016, 28, 1629–1632. [Google Scholar] [CrossRef]
- Pilla, P.; Trono, C.; Baldini, F.; Chiavaioli, F.; Giordano, M.; Cusano, A. Giant sensitivity of long period gratings in transition mode near the dispersion turning point: An integrated design approach. Opt. Lett. 2012, 37, 4152–4154. [Google Scholar] [CrossRef] [PubMed]
- Villar, I.D.; Matías, I.R.; Arregui, F.J.; Lalanne, P. Optimization of sensitivity in Long Period Fiber Gratings with overlay deposition. Opt. Express 2005, 13, 56–69. [Google Scholar] [CrossRef]
- Rees, N.; James, S.; Tatam, R.; Ashwell, G. Optical fiber long-period gratings with Langmuir-Blodgett thin-film overlays. Opt. Lett. 2002, 27, 686–688. [Google Scholar] [CrossRef] [PubMed]
- Rego, G. A Review of Refractometric Sensors Based on Long Period Fibre Gratings. Sci. World J. 2013, 2013, 913418. [Google Scholar] [CrossRef] [PubMed]
- Esposito, F.; Srivastava, A.; Sansone, L.; Giordano, M.; Campopiano, S.; Iadicicco, A. Label-Free Biosensors Based on Long Period Fiber Gratings: A Review. IEEE Sens. J. 2021, 21, 12692–12705. [Google Scholar] [CrossRef]
- Falciai, R.; Mignani, A.; Vannini, A. Long period gratings as solution concentration sensors. Sens. Actuators B-Chem. 2001, 74, 74–77. [Google Scholar] [CrossRef]
- Wang, Y.; Liu, Y.; Zou, F.; Jiang, C.; Mou, C.; Wang, T. Humidity Sensor Based on a Long-Period Fiber Grating Coated with Polymer Composite Film. Sensors 2019, 19, 2263. [Google Scholar] [CrossRef]
- Wang, J. Surface plasmon resonance humidity sensor based on twisted long period fiber grating coated with tungsten disulfide film. Optik 2021, 236, 166616. [Google Scholar] [CrossRef]
- Corres, J.M.; Matias, I.R.; Villar, I.d.; Arregui, F.J. Design of pH Sensors in Long-Period Fiber Gratings Using Polymeric Nanocoatings. IEEE Sens. J. 2007, 7, 455–463. [Google Scholar] [CrossRef]
- Wei, X.T.; Wei, T.; Xiao, H.; Lin, Y.S. Terbium doped strontium cerate enabled long period fiber gratings for high temperature sensing of hydrogen. Sens. Actuators B Chem. 2011, 152, 214–219. [Google Scholar] [CrossRef]
- Korposh, S.; Selyanchyn, R.; Yasukochi, W.; Lee, S.-W.; James, S.W.; Tatam, R.P. Optical fibre long period grating with a nanoporous coating formed from silica nanoparticles for ammonia sensing in water. Mater. Chem. Phys. 2012, 133, 784–792. [Google Scholar] [CrossRef]
- DeLisa, M.P.; Zhang, Z.; Shiloach, M.; Pilevar, S.; Davis, C.C.; Sirkis, J.S.; Bentley, W.E. Evanescent wave long period fiber Bragg grating as an immobilized antibody biosensor. Anal. Chem. 2000, 72, 2895–2900. [Google Scholar] [CrossRef]
- Tripathi, S.M.; Bock, W.J.; Mikulic, P.; Chinnappan, R.; Ng, A.; Tolba, M.; Zourob, M. Long period grating based biosensor for the detection of Escherichia coli bacteria. Biosens. Bioelectron. 2012, 35, 308–312. [Google Scholar] [CrossRef]
- Chiavaioli, F.; Baldini, F.; Tombelli, S.; Trono, C.; Giannetti, A. Biosensing with optical fiber gratings. Nanophotonics 2017, 6, 663–679. [Google Scholar] [CrossRef]
- Esposito, F.; Sansone, L.; Srivastava, A.; Baldini, F.; Campopiano, S.; Chiavaioli, F.; Giordano, M.; Giannetti, A.; Iadicicco, A. Long period grating in double cladding fiber coated with graphene oxide as high-performance optical platform for biosensing. Biosens. Bioelectron. 2021, 172, 112747. [Google Scholar] [CrossRef] [PubMed]
- Bandyopadhyay, S.; Biswas, P.; Chiavaioli, F.; Dey, T.K.; Basumallick, N.; Trono, C.; Giannetti, A.; Tombelli, S.; Baldini, F.; Bandyopadhyay, S. Long-period fiber grating: A specific design for biosensing applications. Appl. Opt. 2017, 56, 9846–9853. [Google Scholar] [CrossRef]
- Rego, G.M.; Santos, J.L.; Salgado, H.M. Polarization dependent loss of arc-induced long-period fibre gratings. Opt. Commun. 2006, 262, 152–156. [Google Scholar] [CrossRef]
- Frazao, O.; Rego, G.; Araujo, F.; Ferreira, L.; Salgado, H.; Santos, J. Simultaneous Measurement of Strain and Temperature Based on Polarization Loss Properties of Arc-Induced Long-Period Gratings; SPIE: Santander, Spain, 2004; Volume 5502. [Google Scholar]
- Vengsarkar, A.; Lemaire, P.; Judkins, J.; Bhatia, V.; Erdogan, T.; Sipe, J. Long-period fiber gratings as band-rejection filters. J. Lightwave Technol. 1996, 14, 58–65. [Google Scholar] [CrossRef]
- Shu, X.; Zhang, L.; Bennion, I. Sensitivity characteristics of long-period fiber gratings. J. Lightwave Technol. 2002, 20, 255–266. [Google Scholar]
- Rego, G.; Marques, P.V.S.; Santos, J.L.; Salgado, H.M. Arc-induced long-period gratings. Fiber Integr. Opt. 2005, 24, 245–259. [Google Scholar] [CrossRef]
- Rego, G.M. Arc-Induced Long-Period Fibre Gratings: Fabrication and Their Applications in Optical Communications and Sensing; Porto University: Porto, Portugal, 2006. [Google Scholar]
- Esposito, F.; Campopiano, S.; Iadicicco, A. Arc-Induced Long Period Gratings in Erbium-Doped Fiber. IEEE Photonics J. 2019, 11. [Google Scholar] [CrossRef]
- Ranjan, R.; Esposito, F.; Iadicicco, A.; Campopiano, S. Arc-Induced Long Period Gratings in Phosphorus-Doped Fiber. IEEE Photonics Technol. Lett. 2017, 29, 611–614. [Google Scholar] [CrossRef]
- Ranjan, R.; Esposito, F.; Iadicicco, A.; StǍncǍlie, A.; Sporea, D.; Campopiano, S. Comparative Study of Long-Period Gratings Written in Standard and Fluorine-Doped Fibers by Electric Arc Discharge. IEEE Sens. J. 2016, 16, 4265–4273. [Google Scholar] [CrossRef]
- Humbert, G.; Malki, A. Characterizations at very high temperature of electric arc-induced long-period fiber gratings. Opt. Commun. 2002, 208, 329–335. [Google Scholar] [CrossRef]
- Humbert, G.; Malki, A. Annealing time dependence at very high temperature of electric arc-induced long-period fibre gratings. Electron. Lett. 2002, 38, 449–450. [Google Scholar] [CrossRef]
- Rego, G.; Okhotnikov, O.; Dianov, E.; Sulimov, V. High-temperature stability of long-period fiber gratings produced using an electric arc. J. Lightwave Technol. 2001, 19, 1574–1579. [Google Scholar] [CrossRef]
- Rego, G.; Santos, J.L.; Marques, P.V.S.; Salgado, H.M. Study of the properties of arc-induced long-period gratings and Bragg Gratings in B/Ge doped fibers. In Proceedings of the Bragg Gratings, Photosensitivity and Poling in Glass Waveguides Conference, Monterey, CA, USA, 1–3 September 2003; pp. 121–123. [Google Scholar]
- Rego, G.; Fernandez, A.F.; Gusarov, A.; Brichard, B.; Berghmans, F.; Santos, J.L.; Salgado, H.M. Effect of ionizing radiation on the properties of arc-induced long-period fiber gratings. Appl. Opt. 2005, 44, 6258–6263. [Google Scholar] [CrossRef] [PubMed]
- Fleming, J.W. Sub Glass Transition Relaxation in Optical Fibers. In Proceedings of the Optical Fiber Communication Conference, Los Angeles, CA, USA, 22 February 2004. [Google Scholar]
- Rego, G. Long-period gratings ARC-induced in B/Ge codoped fibers: Thermal behavior and uniform exposure to UV-radiation. Microw. Opt. Technol. Lett. 2008, 50, 68–71. [Google Scholar] [CrossRef]
- Rego, G. Annealing of arc-induced gratings at high temperatures. Electron. Lett. 2009, 45, 972–974. [Google Scholar] [CrossRef]
- Morishita, K.; Kaino, A. Adjusting resonance wavelengths of long-period fiber gratings by the glass-structure change. Appl. Opt. 2005, 44, 5018–5023. [Google Scholar] [CrossRef]
- Rego, G.; Caldas, P.; Ivanov, O.; Santos, J.L. Investigation of the long-term stability of arc-induced gratings heat treated at high temperatures. Opt. Commun. 2011, 284, 169–171. [Google Scholar] [CrossRef]
- Martins, R.; Caldas, P.; Teixeira, B.; Azevedo, J.; Monteiro, J.; Belo, J.H.; Araújo, J.P.; Santos, J.L.; Rego, G. Cryogenic Temperature Response of Reflection-Based Phase-Shifted Long-Period Fiber Gratings. J. Lightwave Technol. 2015, 33, 2511–2517. [Google Scholar] [CrossRef]
- James, S.W.; Tatam, R.P.; Twin, A.; Bateman, R.; Noonan, P. Cryogenic temperature response of fibre optic long period gratings. Meas. Sci. Technol. 2003, 14, 1409–1411. [Google Scholar] [CrossRef]
- Choi, D.; Kim, J.; Roh, S.; Lee, B.; Lee, Y.W. Highly-Sensitive and -Linear Cryogenic Temperature Response of Long-Period Fiber Gratings Written on B–Ge-Codoped Photosensitive Fiber. Jpn. J. Appl. Phys. 2012, 51, 092501. [Google Scholar] [CrossRef]
- Rego, G.; Marques, P.V.S.; Salgado, H.M.; Santos, J.L. Simultaneous measurement of temperature and strain based on arc-induced long-period fibre gratings. Electron. Lett. 2005, 41, 60–62. [Google Scholar] [CrossRef]
- Rego, G.; Caldas, P.; Ivanov, O.V.V. Arc-Induced Long-Period Fiber Gratings at INESC TEC. Part I: Fabrication, Characterization and Mechanisms of Formation. Sensors 2021, 21, 4914. [Google Scholar] [CrossRef] [PubMed]
- Rego, G.; Falate, R.; Kalinowski, H.J.; Fabris, J.L.; Marques, P.V.S.; Salgado, H.M.; Santos, J.L. Simultaneous temperature and strain measurement based on arc-induced long-period fiber gratings. In Proceedings of the 17th International Conference on Optical Fibre Sensors. International Society for Optics and Photonics, Bruges, Belgium, 23–27 May 2005; pp. 679–682. [Google Scholar]
- Rego, G. Simultaneous measurement of temperature and strain based on ARC-induced long-period fiber gratings. A case study. Microw. Opt. Technol. Lett. 2008, 50, 2472–2474. [Google Scholar] [CrossRef][Green Version]
- Zhang, Y.; Zhang, Y.; Wang, Z.; Fan, L.; Zhuo, Q. High Sensitivity Strain Sensor Based on Curved LPG Fabricated in Eccentric Hollow-core Fiber; SPIE: Kunming, China, 2021; Volume 11763. [Google Scholar]
- Esposito, F.; Ranjan, R.; Campopiano, S.; Iadicicco, A. Arc-Induced Long Period Gratings from Standard to Polarization-Maintaining and Photonic Crystal Fibers. Sensors 2018, 18, 918. [Google Scholar] [CrossRef] [PubMed]
- Falate, R.; Frazão, O.; Rego, G.; Ivanov, O.; Kalinowski, H.J.; Fabris, J.L.; Santos, J.L. Bend and Temperature Sensing with Arc-Induced Phase-Shifted Long-Period Fiber Grating. In Proceedings of the Optical Fiber Sensors, Cancun, Mexico, 23–27 October 2006; p. TuE43. [Google Scholar]
- Ouyang, Y.; Guo, H.; Ouyang, X.; Xu, X.; Zhou, C.; Zhou, A. Highly Sensitive Two-Axis Bending Sensor Based on Arc-Induced Long Period Fiber Grating in Dual Side-Hole Fiber. IEEE Photonics J. 2018, 10, 1–9. [Google Scholar] [CrossRef]
- Sunduck, K.; Gil Hwan, K.; Kyu-Jin, H.; Olena, M.; Kwanil, L.; Sang Hyuck, K.; Je-Myung, J.; Sang Bae, L. Investigation of curvature sensitivity of arc-induced long-period fiber gratings inscribed in a pure silica photonic crystal fiber with two large air holes in the outer cladding region. In Proceedings of the 2009 14th OptoElectronics and Communications Conference, Hong Kong, China, 13–17 July 2009; pp. 1–2. [Google Scholar]
- Delgado, F.; Bessa, A. Torsion-dependent spectral response of long-period fiber grating based on electric arc technique with axial rotation of the fiber. Microw. Opt. Technol. Lett. 2019, 61, 178–181. [Google Scholar] [CrossRef]
- Caldas, P.; Rego, G.; Ivanov, O.V.; Santos, J.L. Characterization of the response of a dual resonance of an arc-induced long-period grating to various physical parameters. Appl. Opt. 2010, 49, 2994–2999. [Google Scholar] [CrossRef]
- Sun, B.; Wei, W.; Liao, C.; Zhang, L.; Zhang, Z.; Chen, M.; Wang, Y. Automatic Arc Discharge-Induced Helical Long Period Fiber Gratings and Its Sensing Applications. IEEE Photonics Technol. Lett. 2017, 29, 873–876. [Google Scholar] [CrossRef]
- Bock, W.J.; Chen, J.; Mikulic, P.; Eftimov, T.; Korwin-Pawlowski, M. Pressure sensing using periodically tapered long-period gratings written in photonic crystal fibres. Meas. Sci. Technol. 2007, 18, 3098–3102. [Google Scholar] [CrossRef]
- Smietana, M.; Bock, W.J.; Chen, J.; Mikulic, P. Highly sensitive pressure sensor based on long-period gratings written in a boron co-doped optical fiber. Meas. Sci. Technol. 2010, 21, 5. [Google Scholar] [CrossRef]
- Smietana, M.; Bock, W.J.; Mikulic, P.; Chen, J. Increasing sensitivity of arc-induced long-period gratings—pushing the fabrication technique toward its limits. Meas. Sci. Technol. 2010, 22, 015201. [Google Scholar] [CrossRef]
- Rego, G.M.; Santos, J.L.; Salgado, H.M. Refractive index measurement with long-period gratings arc-induced in pure-silica-core fibres. Opt. Commun. 2006, 259, 598–602. [Google Scholar] [CrossRef]
- Falate, R.; Frazao, O.; Rego, G.; Fabris, J.L.; Santos, J.L. Refractometric Sensor Based on a Phase-Shifted Long Period Fiber Grating. Appl. Opt. 2006, 45, 5066–5072. [Google Scholar] [CrossRef]
- Esposito, F.; Ranjan, R.; Campopiano, S.; Iadicicco, A. Experimental Study of the Refractive Index Sensitivity in Arc-induced Long Period Gratings. IEEE Photonics J. 2017, 9, 1–10. [Google Scholar] [CrossRef]
- Esposito, F.; Srivastava, A.; Sansone, L.; Giordano, M.; Campopiano, S.; Iadicicco, A. Sensitivity Enhancement in Long Period Gratings by Mode Transition in Uncoated Double Cladding Fibers. IEEE Sens. J. 2020, 20, 234–241. [Google Scholar] [CrossRef]
- Martinez-Rios, A.; Monzon-Hernandez, D.; Torres-Gomez, I. Highly sensitive cladding-etched arc-induced long-period fiber gratings for refractive index sensing. Opt. Commun. 2010, 283, 958–962. [Google Scholar] [CrossRef]
- Silva, C.; Coelho, J.M.P.; Caldas, P.; Frazão, O.; Jorge, P.A.S.; Santos, J.L. Optical fiber sensing system based on long-period gratings for remote refractive index measurement in aqueous environments. Fiber Integr. Opt. 2010, 29, 160–169. [Google Scholar] [CrossRef]
- Esposito, F.; Srivastava, A.; Iadicicco, A.; Campopiano, S. Multi-parameter sensor based on single Long Period Grating in Panda fiber for the simultaneous measurement of SRI, temperature and strain. Opt. Laser Technol. 2019, 113, 198–203. [Google Scholar] [CrossRef]
- Caldas, P.; Jorge, P.A.S.; Araújo, F.M.; Ferreira, L.A.; Rego, G.; Santos, J.L. Geometrical effects on the refractive index sensitivity of Mach-Zehnder fibre modal interferometers based on long-period gratings. Meas. Sci. Technol. 2009, 20. [Google Scholar] [CrossRef]
- Caldas, P.; Jorge, P.; Araujo, F.M.; Ferreira, L.; Marques, M.; Rego, G.; Santos, J. Fiber modal Michelson interferometers with coherence addressing and heterodyne interrogation. Opt. Eng. 2008, 47, 044401. [Google Scholar]
- Colaço, C.; Caldas, P.; Villar, I.D.; Chibante, R.; Rego, G. Arc-Induced Long-Period Fiber Gratings in the Dispersion Turning Points. J. Lightwave Technol. 2016, 34, 4584–4590. [Google Scholar] [CrossRef]
- Smietana, M.; Szmidt, J.; Korwin-Pawlowski, M.L.; Bock, W.J.; Grabarczyk, J. Application of diamond-like carbon films in optical fibre sensors based on long-period gratings. Diam. Relat. Mater. 2007, 16, 1374–1377. [Google Scholar] [CrossRef]
- Smietana, M.; Korwin-Pawlowski, M.L.; Bock, W.J.; Pickrell, G.R.; Szmidt, J. Refractive index sensing of fiber optic long-period grating structures coated with a plasma deposited diamond-like carbon thin film. Meas. Sci. Technol. 2008, 19, 085301. [Google Scholar] [CrossRef]
- Śmietana, M.; Myśliwiec, M.; Mikulic, P.; Witkowski, B.S.; Bock, W.J. Capability for fine tuning of the refractive index sensing properties of long-period gratings by atomic layer deposited Al2O3 overlays. Sensors 2013, 13, 16372–16383. [Google Scholar] [CrossRef]
- Śmietana, M.; Koba, M.; Mikulic, P.; Bock, W.J. Combined plasma-based fiber etching and diamond-like carbon nanooverlay deposition for enhancing sensitivity of long-period gratings. J. Lightwave Technol. 2016, 34, 4615–4619. [Google Scholar] [CrossRef]
- Smietana, M.; Bock, W.J.; Mikulic, P. Effect of high-temperature plasma-deposited nano-overlays on the properties of long-period gratings written with UV and electric arc in non-hydrogenated fibers. Meas. Sci. Technol. 2013, 24. [Google Scholar] [CrossRef]
- Debowska, A.K.; Smietana, M.; Mikulic, P.; Bock, W.J. High temperature nano-coated electric-arc-induced long-period gratings working at the dispersion turning point for refractive index sensing. Jpn. J. Appl. Phys. 2014, 53. [Google Scholar] [CrossRef]
- Pilla, P.; Giordano, M.; Korwin-Pawlowski, M.L.; Bock, W.J.; Cusano, A. Sensitivity Characteristics Tuning in Tapered Long-Period Gratings by Nanocoatings. IEEE Photonics Technol. Lett. 2007, 19, 1517–1519. [Google Scholar] [CrossRef]
- Smietana, M.; Bock, W.J.; Mikulic, P. Temperature sensitivity of silicon nitride nanocoated long-period gratings working in various surrounding media. Meas. Sci. Technol. 2011, 22, 115203. [Google Scholar] [CrossRef]
- Simões, E.; Abe, I.; Oliveira, J.; Frazão, O.; Caldas, P.; Pinto, J.L. Characterization of optical fiber long period grating refractometer with nanocoating. Sens. Actuators B Chem. 2011, 153, 335–339. [Google Scholar] [CrossRef]
- Coelho, L.; Viegas, D.; Santos, J.L.; Almeida, J.M.M.M.D. Enhanced refractive index sensing characteristics of optical fibre long period grating coated with titanium dioxide thin films. Sens. Actuators B Chem. 2014, 202, 929–934. [Google Scholar] [CrossRef]
- Coelho, L.; Viegas, D.; Santos, J.L.; de Almeida, J.M.M.M. Detection of Extra Virgin Olive Oil Thermal Deterioration Using a Long Period Fibre Grating Sensor Coated with Titanium Dioxide. Food Bioprocess Technol. 2015, 8, 1211–1217. [Google Scholar] [CrossRef]
- Coelho, L.; Viegas, D.; Santos, J.L.; de Almeida, J.M.M.M. Characterization of zinc oxide coated optical fiber long period gratings with improved refractive index sensing properties. Sens. Actuators B Chem. 2016, 223, 45–51. [Google Scholar] [CrossRef]
- Coelho, L.; de Almeida, J.M.M.M.; Santos, J.L.; da Silva Jorge, P.A.; Martins, M.C.L.; Viegas, D.; Queirós, R. Aptamer-based fiber sensor for thrombin detection. J. Biomed. Opt. 2016, 21, 087005. [Google Scholar] [CrossRef] [PubMed]
- Coelho, L.; Santos, J.L.; Viegas, D.; De Almeida, J.M.M.M. Fabrication and Characterization of Metal Oxide-Coated Long-Period Fiber Gratings. J. Lightwave Technol. 2016, 34, 2533–2539. [Google Scholar] [CrossRef]
- Coelho, L.; Viegas, D.; Santos, J.L.; De Almeida, J.M.M.M. Optical sensor based on hybrid FBG/titanium dioxide coated LPFG for monitoring organic solvents in edible oils. Talanta 2016, 148, 170–176. [Google Scholar] [CrossRef] [PubMed]
- Coelho, L.; Moreira, J.A.; Tavares, P.B.; Santos, J.L.; Viegas, D.; de Almeida, J.M.M.M. Monitoring of oxidation phases of copper thin films using long period fiber gratings. Sens. Actuators A Phys. 2017, 253, 69–74. [Google Scholar] [CrossRef]
- Monteiro-Silva, F.; Santos, J.L.; De Almeida, J.M.M.M.; Coelho, L. Quantification of Ethanol Concentration in Gasoline Using Cuprous Oxide Coated Long Period Fiber Gratings. IEEE Sens. J. 2018, 18, 1493–1500. [Google Scholar] [CrossRef]
- Coelho, L.C.C.; Dos Santos, P.S.S.; Jorge, P.A.D.S.; Santos, J.L.; De Almeida, J.M.M.M. Real-Time Early Warning Strategies for Corrosion Mitigation in Harsh Environments. J. Lightwave Technol. 2018, 36, 1152–1158. [Google Scholar] [CrossRef]
- Kim, M.; Lee, D.; Hong, B.; Chung, H. Performance characteristics of long-period fiber-gratings made from periodic tapers induced by electric-arc discharge. J. Korean Phys. Soc. 2002, 40, 369–373. [Google Scholar]
- Son, J.; Lee, M.-K.; Jeong, M.Y.; Kim, C.-S. Polarization Dependence Suppression of Optical Fiber Grating Sensor in a π-Shifted Sagnac Loop Interferometer. Sensors 2010, 10, 4373–4380. [Google Scholar] [CrossRef] [PubMed]
- Delgado, F.d.S.; dos Santos, A.B. Reduction of intrinsic polarization dependence in arc-induced long-period fiber gratings. J. Opt. Eng. 2018, 57, 067105. [Google Scholar] [CrossRef]
- Erdogan, T.; Sipe, J.E. Tilted fiber phase gratings. J. Opt. Soc. Am. A 1996, 13, 296–313. [Google Scholar] [CrossRef]
- Dong, X.; Zhang, H.; Liu, B.; Miao, Y. Tilted fiber Bragg gratings: Principle and sensing applications. Photonic Sens. 2011, 1, 6–30. [Google Scholar] [CrossRef]
- Frazão, O.; Romero, R.; Rego, G.; Marques, P.V.S.; Salgado, H.M.; Santos, J.L. Sampled fibre Bragg grating sensors for simultaneous strain and temperature measurement. Electron. Lett. 2002, 38, 693–695. [Google Scholar] [CrossRef]
- Rego, G. Fibre optic devices produced by arc discharges. J. Opt. 2010, 12, 113002. [Google Scholar] [CrossRef]
- Mesonero-Santos, P.; Fernández-Medina, A.; Coelho, L.C.C.; Viveiros, D.; Jorge, P.A.; Belenguer, T.; López Heredero, R. Effect of Low-Doses of Gamma Radiation on Electric Arc-Induced Long Period Fiber Gratings. Sensors 2021, 21, 2318. [Google Scholar] [CrossRef]
- Stăncălie, A.; Sporea, D.; Neguţ, D.; Esposito, F.; Ranjan, R.; Campopiano, S.; Iadicicco, A. Long Period Gratings in unconventional fibers for possible use as radiation dosimeter in high-dose applications. Sens. Actuators A Phys. 2018, 271, 223–229. [Google Scholar] [CrossRef]
- Esposito, F.; Stăncălie, A.; Neguţ, C.D.; Campopiano, S.; Sporea, D.; Iadicicco, A. Comparative Investigation of Gamma Radiation Effects on Long Period Gratings and Optical Power in Different Optical Fibers. J. Lightwave Technol. 2019, 37, 4560–4566. [Google Scholar] [CrossRef]
- Stancalie, A.; Esposito, F.; Neguț, C.D.; Ghena, M.; Mihalcea, R.; Srivastava, A.; Campopiano, S.; Iadicicco, A. A new setup for real-time investigations of optical fiber sensors subjected to gamma-rays: Case study on long period gratings. Sensors 2020, 20, 4129. [Google Scholar] [CrossRef] [PubMed]
- Esposito, F.; Srivastava, A.; Campopiano, S.; Iadicicco, A. Radiation effects on long period fiber gratings: A review. Sensors 2020, 20, 2729. [Google Scholar] [CrossRef]
- Guan, B.O.; Tam, H.Y.; Tao, X.M.; Dong, X.Y. Simultaneous strain and temperature measurement using a superstructure fiber Bragg grating. IEEE Photonics Technol. Lett. 2000, 12, 675–677. [Google Scholar] [CrossRef]
- Rego, G.; Falate, R.; Ivanov, O.; Santos, J.L. Simultaneous temperature and strain measurements performed by a step-changed arc-induced long-period fiber grating. Appl. Opt. 2007, 46, 1392–1396. [Google Scholar] [CrossRef]
- Rego, G.; Ivanov, O.V. Two types of resonances in long-period gratings induced by arc discharges in boron/ germanium co-doped fibers. Opt. Lett. 2007, 32, 2984–2986. [Google Scholar] [CrossRef]
- Caldas, P.; Jorge, P.A.S.; Rego, G.; Frazão, O.; Santos, J.L.; Ferreira, L.A.; Araújo, F. Fiber optic hot-wire flowmeter based on a metallic coated hybrid long period grating/fiber Bragg grating structure. Appl. Opt. 2011, 50, 2738–2743. [Google Scholar] [CrossRef]
























| Fiber (mol% GeO2) | Dcore/μm | Λ/μm | Mode Order | Temperature Sensitivity (pm °C−1) |
|---|---|---|---|---|
| Sumitomo_1.5 | 8.3 | 540 | 4 | 58.1 + 0.125 T |
| SMF-28_3 | 8.6 | 540 | 4 | 72.3 + 0.12 T |
| Siecor_6 | 8.3 | 540 | 4 | 76.7 + 0.11 T |
| HI-980 | ~4 | 540 | 5 | 56.2 + 0.09 T |
| Corning_DSF_12 | 5.1 | 540 | 3 | 39.4 + 0.13 T |
| Al | 4.25 | 400 | 4 | 64.7 T ≤ 700 |
| Al/Er | 4.55 | 400 | 4 | 60.1 T ≤ 700 |
| S | not available | 540 | 4 | 50 T ≤ 700 |
| Oxford_SiO2/F | 9 | 730 | 2 | 47.1 T ≤ 300 |
| ACREO_SiO2/F | not available | 730 | 3 | 40.1 T ≤ 300 |
| N’94 | 2 | 240 | 6 | 45 T ≤ 900 |
| N’96 | 4.5 | 540 | 5 | 43 T ≤ 900 |
| N1905 | 6.2 | 400 | 4 | 67 T ≤ 400 |
| N1940 | 5.8 | 400 | 4 | 51.9 T ≤ 400 |
Publisher’s Note: MDPI stays neutral with regard to jurisdictional claims in published maps and institutional affiliations. |
© 2021 by the authors. Licensee MDPI, Basel, Switzerland. This article is an open access article distributed under the terms and conditions of the Creative Commons Attribution (CC BY) license (https://creativecommons.org/licenses/by/4.0/).
Share and Cite
Rego, G.; Caldas, P.; Ivanov, O.V. Arc-Induced Long-Period Fiber Gratings at INESC TEC. Part II: Properties and Applications in Optical Communications and Sensing. Sensors 2021, 21, 5914. https://doi.org/10.3390/s21175914
Rego G, Caldas P, Ivanov OV. Arc-Induced Long-Period Fiber Gratings at INESC TEC. Part II: Properties and Applications in Optical Communications and Sensing. Sensors. 2021; 21(17):5914. https://doi.org/10.3390/s21175914
Chicago/Turabian StyleRego, Gaspar, Paulo Caldas, and Oleg V. Ivanov. 2021. "Arc-Induced Long-Period Fiber Gratings at INESC TEC. Part II: Properties and Applications in Optical Communications and Sensing" Sensors 21, no. 17: 5914. https://doi.org/10.3390/s21175914
APA StyleRego, G., Caldas, P., & Ivanov, O. V. (2021). Arc-Induced Long-Period Fiber Gratings at INESC TEC. Part II: Properties and Applications in Optical Communications and Sensing. Sensors, 21(17), 5914. https://doi.org/10.3390/s21175914

