The ‘Ride’ Feeling during Running under Field Conditions—Objectified with a Single Inertial Measurement Unit
Abstract
:1. Introduction
2. Materials and Methods
2.1. Participants
2.2. Experimental Setup and Data Collection with Inertial Measurement Units
2.3. Data Analysis
2.4. Footwear Conditions
2.5. Statistical Analysis
3. Results
3.1. Biomechanical Test: Peak Angular Velocity
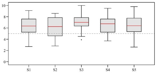
3.2. Subjective Results: ‘Ride’
3.3. Correlation Peak Angular Velocity and ‘Ride’
4. Discussion
5. Conclusions
Author Contributions
Funding
Institutional Review Board Statement
Informed Consent Statement
Data Availability Statement
Acknowledgments
Conflicts of Interest
References
- Michel, F.; Kälin, X.; Metzger, A.; Campe, S. Subjektive Wahrnehmung und Kundennutzen des funktionellen Sportschuhparameters Torsionsfähigkeit in Bezug auf Laufschuhe. Sport-Orthopädie-Sport-Traumatol.-Sports Orthop. Traumatol. 2009, 25, 135–136. [Google Scholar] [CrossRef]
- Sterzing, T.; Schweiger, V.; Ding, R.; Cheung, J.T.-M.; Brauner, T. Influence of rearfoot and forefoot midsole hardness on biomechanical and perception variables during heel-toe running. Footwear Sci. 2013, 5, 71–79. [Google Scholar] [CrossRef]
- Lam, C.K.-Y.; Mohr, M.; Nigg, S.; Nigg, B. Definition and quantification of ‘ride’ during running. Footwear Sci. 2018, 10, 77–82. [Google Scholar] [CrossRef]
- Mally, F.; Hofstätter, O.; Eckelt, M. Influence of Running Shoes and Running Velocity on “Ride” during Running. Proceedings 2020, 49, 54. [Google Scholar] [CrossRef]
- Brauner, T.; Sterzing, T.; Milani, T.L. (Eds.) Ankle Frontal Plane Kinematics Determined by Goniometer, Gyrometer and Motion Analysis System: A Measurement Device Validation. In Proceedings of the XXII Congress of the International Society in Biomechanics, Cape Town, South Africa, 5–9 July 2009. [Google Scholar]
- Liu, T.; Inoue, Y.; Shibata, K. Development of a wearable sensor system for quantitative gait analysis. Measurement 2009, 42, 978–988. [Google Scholar] [CrossRef]
- Fleming, P.; Young, C.; Dixon, S.; Carré, M. Athlete and coach perceptions of technology needs for evaluating running performance. Sports Eng. 2010, 13, 1–18. [Google Scholar] [CrossRef] [Green Version]
- El Kati, R.; Forrester, S.; Fleming, P. Evaluation of pressure insoles during running. Procedia Eng. 2010, 2, 3053–3058. [Google Scholar] [CrossRef] [Green Version]
- Van Hooren, B.; Fuller, J.T.; Buckley, J.D.; Miller, J.R.; Sewell, K.; Rao, G.; Barton, C.; Bishop, C.; Willy, R.W. Is Motorized Treadmill Running Biomechanically Comparable to Overground Running? A Systematic Review and Meta-Analysis of Cross-Over Studies. Sports Med. 2020, 50, 785–813. [Google Scholar] [CrossRef] [PubMed] [Green Version]
- Mayagoitia, R.E.; Nene, A.V.; Veltink, P.H. Accelerometer and rate gyroscope measurement of kinematics: An inexpensive alternative to optical motion analysis systems. J. Biomech. 2002, 35, 537–542. [Google Scholar] [CrossRef]
- Mitschke, C.; Öhmichen, M.; Milani, T. A Single Gyroscope Can Be Used to Accurately Determine Peak Eversion Velocity during Locomotion at Different Speeds and in Various Shoes. Appl. Sci. 2017, 7, 659. [Google Scholar] [CrossRef] [Green Version]
- Cuesta-Vargas, A.I.; Galán-Mercant, A.; Williams, J.M. The use of inertial sensors system for human motion analysis. Phys. Ther. Rev. 2010, 15, 462–473. [Google Scholar] [CrossRef] [PubMed] [Green Version]
- Mitschke, C.; Kiesewetter, P.; Milani, T.L. The Effect of the Accelerometer Operating Range on Biomechanical Parameters: Stride Length, Velocity, and Peak Tibial Acceleration during Running. Sensors 2018, 18, 130. [Google Scholar] [CrossRef] [Green Version]
- Cigoja, S.; Firminger, C.R.; Asmussen, M.J.; Fletcher, J.R.; Edwards, W.B.; Nigg, B.M. Does increased midsole bending stiffness of sport shoes redistribute lower limb joint work during running? J. Sci. Med. Sport 2019, 22, 1272–1277. [Google Scholar] [CrossRef] [PubMed]
- Hoogkamer, W.; Kipp, S.; Frank, J.H.; Farina, E.M.; Luo, G.; Kram, R. A Comparison of the Energetic Cost of Running in Marathon Racing Shoes. Sports Med. 2018, 48, 1009–1019. [Google Scholar] [CrossRef] [Green Version]
- Hoogkamer, W.; Kipp, S.; Kram, R. The Biomechanics of Competitive Male Runners in Three Marathon Racing Shoes: A Randomized Crossover Study. Sports Med. 2019, 49, 133–143. [Google Scholar] [CrossRef]
- Stefanyshyn, D.; Fusco, C. Increased shoe bending stiffness increases sprint performance. Sports Biomech. 2004, 3, 55–66. [Google Scholar] [CrossRef]
- Stefanyshyn, D.J.; Wannop, J.W. The influence of forefoot bending stiffness of footwear on athletic injury and performance. Footwear Sci. 2016, 8, 51–63. [Google Scholar] [CrossRef]
- Roy, J.-P.R.; Stefanyshyn, D.J. Shoe midsole longitudinal bending stiffness and running economy, joint energy, and EMG. Med. Sci. Sports Exerc. 2006, 38, 562–569. [Google Scholar] [CrossRef] [Green Version]
- Mitschke, C.; Zaumseil, F.; Milani, T.L. The influence of inertial sensor sampling frequency on the accuracy of measurement parameters in rearfoot running. Comput. Methods Biomech. Biomed. Eng. 2017, 20, 1502–1511. [Google Scholar] [CrossRef]
- Maiwald, C.; Dannemann, A.; Gaudel, J.; Oriwol, D. A simple method to detect stride intervals in continuous acceleration and gyroscope data recorded during treadmill running. Footwear Sci. 2015, 7, S143–S144. [Google Scholar] [CrossRef]
- Cohen, J. Quantitative Methods in Psychology: A Power Primer. Psychol. Bull. 1992, 112, 155–159. [Google Scholar] [CrossRef] [PubMed]
- Orendurff, M.S.; Kobayashi, T.; Tulchin-Francis, K.; Tullock, A.M.H.; Villarosa, C.; Chan, C.; Kraus, E.; Strike, S. A little bit faster: Lower extremity joint kinematics and kinetics as recreational runners achieve faster speeds. J. Biomech. 2018, 71, 167–175. [Google Scholar] [CrossRef] [PubMed]





| Shoe | S1 | S2 | S3 | S4 | S5 |
|---|---|---|---|---|---|
| Midsole bending stiffness (N) | 71.5 | 63.0 | 76.0 | 84.0 | 98.0 |
Publisher’s Note: MDPI stays neutral with regard to jurisdictional claims in published maps and institutional affiliations. |
© 2021 by the authors. Licensee MDPI, Basel, Switzerland. This article is an open access article distributed under the terms and conditions of the Creative Commons Attribution (CC BY) license (https://creativecommons.org/licenses/by/4.0/).
Share and Cite
Bräuer, S.; Kiesewetter, P.; Milani, T.L.; Mitschke, C. The ‘Ride’ Feeling during Running under Field Conditions—Objectified with a Single Inertial Measurement Unit. Sensors 2021, 21, 5010. https://doi.org/10.3390/s21155010
Bräuer S, Kiesewetter P, Milani TL, Mitschke C. The ‘Ride’ Feeling during Running under Field Conditions—Objectified with a Single Inertial Measurement Unit. Sensors. 2021; 21(15):5010. https://doi.org/10.3390/s21155010
Chicago/Turabian StyleBräuer, Sabrina, Pierre Kiesewetter, Thomas L. Milani, and Christian Mitschke. 2021. "The ‘Ride’ Feeling during Running under Field Conditions—Objectified with a Single Inertial Measurement Unit" Sensors 21, no. 15: 5010. https://doi.org/10.3390/s21155010
APA StyleBräuer, S., Kiesewetter, P., Milani, T. L., & Mitschke, C. (2021). The ‘Ride’ Feeling during Running under Field Conditions—Objectified with a Single Inertial Measurement Unit. Sensors, 21(15), 5010. https://doi.org/10.3390/s21155010

