Software Sensor to Enhance Online Parametric Identification for Nonlinear Closed-Loop Systems for Robotic Applications
Abstract
1. Introduction
2. Manipulator Modeling and Parameter Identification
2.1. Dynamic Model
2.2. Algorithm for the Proposed Soft Sensor
2.3. Recursive Least Squares Estimator
3. System Application and Implementation of the Identification Procedure
3.1. Application System: Robot SCARA
3.2. Implementation of the Identification Procedure
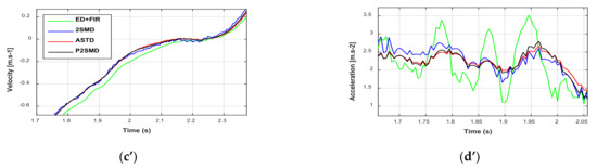
4. Experimental Results and Discussion
4.1. Statistical Analysis and Comparison Criteria
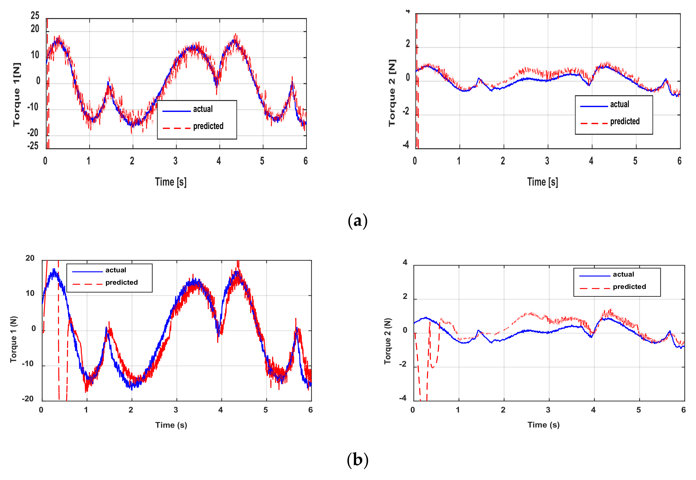
4.2. Results of Direct Validation
4.3. Results of the Cross Validation
5. Discussion
Author Contributions
Funding
Data Availability Statement
Conflicts of Interest
References
- Nelles, O. Nonlinear System Identification, 1st ed.; Springer: Berlin/Heidelberg, Germany, 2001; p. 786. [Google Scholar]
- Khalil, W.; Dombre, E. Modeling, Identification and Control of Robots; Butterworth Heinemann: Oxford, UK, 2004; p. 500. [Google Scholar]
- Jiang, Z.-H.; Ishida, T.; Sunawada, M. Neural Network Aided Dynamic Parameter Identification of Robot Manipulators. In Proceedings of the IEEE International Conference on Systems, Man and Cybernetics, Taipei, Taiwan, 8–11 October 2006; pp. 3298–3303. [Google Scholar]
- Moldovan, L.; Grif, H.; Gligor, A. ANN Based Inverse Dynamic Model of the 6-PGK Parallel Robot Manipulator. Int. J. Comput. Commun. Control 2015, 11, 90–104. [Google Scholar] [CrossRef]
- Hu, J.; Xiong, R. Contact force estimation for robot manipulator using semiparametric model and disturbance Kalman filter. IEEE Trans. Ind. Electron. 2018, 65, 3365–3375. [Google Scholar] [CrossRef]
- Kozlowski, K. Modelling and Identification in Robotics, 1st ed.; Springer: Berlin/Heidelberg, Germany, 1998; p. 261. [Google Scholar]
- Gautier, M.; Poignet, P.H. Extended Kalman filtering and weighted least squares dynamic identification of robot. Control Eng. Pract. 2001, 9, 1361–1372. [Google Scholar] [CrossRef]
- Hammouri, M. High-gain observer based state and parameter estimation in nonlinear systems. In Proceedings of the 6th IFAC Symposium, Stuttgart, Germany, 1–3 September 2004; pp. 327–332. [Google Scholar] [CrossRef]
- Janot, A.; Vandanjon, P.O.; Gautier, M.A. Generic instrumental variable approach for industrial robot identification. IEEE Trans. Control Syst. Technol. 2014, 22, 132–145. [Google Scholar] [CrossRef]
- Floret-Pontet, F.; Lamnabhi-Lagarrigue, F. Parameter identification and state estimation for continuous-time nonlinear systems. Am. Control Conf. 2002, 1, 394–399. [Google Scholar]
- Shao, M.; Deng, Y.; Li, H.; Liu, J.; Fei, Q. Sliding Mode Observer-Based Parameter Identification and Disturbance Compensation for Optimizing the Mode Predictive Control of PMSM. Energies 2019, 12, 1857. [Google Scholar] [CrossRef]
- Al-Hosani, K.; Utkin, V.I. Parameter estimation using sliding mode observer with shift operator. J. Frankl. Inst. 2012, 349, 1509–1525. [Google Scholar] [CrossRef]
- Sidhom, L.; Pham, M.T.; Thevenoux, F.; Gautier, M. Identification of a robot manipulator based on an adaptive higher order sliding modes differentiator. In Proceedings of the IEEE/ASME International Conference on Advanced Intelligent Mechatronics, Montréal, QC, Canada, 6–9 July 2010; pp. 1093–1098. [Google Scholar]
- Jia, J.; Zhang, M.; Zang, X.; Zhang, H.; Zhao, J. Dynamic Parameter Identification for a Manipulator with Joint Torque Sensors Based on an Improved Experimental Design. Sensors 2019, 19, 2248. [Google Scholar] [CrossRef] [PubMed]
- Ljung, L. System Identification; Prentice Hall: Hoboken, NJ, USA, 1987. [Google Scholar]
- Albu, F. Improved Variable Forgetting Factor Recursive Least Square Algorithm. In Proceedings of the 2nd International Conference on Control, Automation, Robotics & Vision, Guangzhou, China, 5–7 December 2012; pp. 1789–1793. [Google Scholar]
- Mayeda, H.; Yoshida, K.; Osuka, K. Base parameters of manipulator dynamic models. IEEE Trans. Robot. Autom. 1990, 6, 312–321. [Google Scholar] [CrossRef]
- Floquet, T.; Barbot, J.P. Hierarchical second-order sliding-mode observer for linear time invariant systems with unknown inputs. Int. J. Syst. Sci. 2007, 38, 793–802. [Google Scholar]
- Gautier, M. Numerical calculation of the base inertial parameters of robots. J. Robot. Syst. 1991, 8, 485–506. [Google Scholar] [CrossRef]
- Chwa, D.; Dani, A.P.; Dixon, W.E. Range and Motion Estimation of a Monocular Camera Using Static and Moving Objects. IEEE Trans. Control Syst. Technol. 2016, 24, 1174–1183. [Google Scholar] [CrossRef]
- Dani, A.; Fisher, N.; Dixon, W.E. Single Camera Structure and Motion. IEEE Trans. Autom. Control 2012, 57, 241–246. [Google Scholar] [CrossRef]
- Gautier, M.; Janot, A.; Vandanjon, P.O. A new closed loop output error method for parameter identification of robot dynamics. IEEE Trans. Control Syst. Technol. 2013, 21, 428–444. [Google Scholar] [CrossRef]
- Briot, S.; Gautier, M. Global identification of joint drive gains and dynamic parameters of parallel robots. Multibody Syst. Dyn. 2015, 33, 3–26. [Google Scholar] [CrossRef]
- Miranda-Colorado, R.; Moreno-Valenzuela, J. An efficient on-line parameter identification algorithm for nonlinear servomechanisms with an algebraic technique for state estimation. Asian J. Control 2017, 19, 2127–2142. [Google Scholar] [CrossRef]
- Fliess, M.; Sira-Ramírez, H. Closed-loop parametric identification for continuous-time linear systems via new algebraic techniques. In Identification of Continuous-time Models from Sampled Data; Springer: Berlin/Heidelberg, Germany, 2007; pp. 363–391. [Google Scholar]
- Baev, S.; Shkolnikov, I.; Shtessel, Y.; Poznyak, A. Parameter identification of nonlinear systems using traditional and high order sliding modes. In Proceedings of the 2006 American Control. Conference, Minneapolis, MN, USA, 14–16 June 2006; pp. 2634–2639. [Google Scholar]
- Levant, A. Robust exact differentiation via sliding mode technique. Automatica 1998, 34, 379–384. [Google Scholar] [CrossRef]
- Levant, A. Higher order sliding modes, differentiation and output feedback control. Int. J. Control 2003, 76, 924–941. [Google Scholar] [CrossRef]
- Vázquez, C.; Aranovskiy, S.; Freidovich, L.B.; Fridman, L.M. Time-Varying Gain Differentiator: A Mobile Hydraulic System Case Study. IEEE Trans. Control Syst. Technol. 2016, 24, 1740–1750. [Google Scholar] [CrossRef]
- Obeid, H.; Fridman, L.; Laghrouche, S.; Harmouche, M.; Golkani, M.A. Adaptation of Levant’s Differentiator Based on Barrier Function. Int. J. Control 2018, 91, 2019–2027. [Google Scholar] [CrossRef]
- Moreno, J.A. Exact Differentiator with Varying Gains. Int. J. Control 2018, 91, 1983–1993. [Google Scholar] [CrossRef]
- Lochan, K.; Singh, J.P.; Roy, B.K.; Subudhi, B. Adaptive global super-twisting sliding mode control-based filter for trajectory synchronization of two-link flexible manipulators. Int. J. Syst. Sci. 2020, 51, 2410–2428. [Google Scholar] [CrossRef]
- Gao, G.; Zhang, S.; Ye, M. Global robust super-twisting algorithm with adaptive switching gains for a hybrid robot. Int. J. Adv. Robot. Syst. 2020, 17. [Google Scholar] [CrossRef]
- Yang, F.; Zhang, K.; Yu, L. Adaptive Super-Twisting Algorithm-Based Nonsingular Terminal Sliding Mode Guidance Law. J. Control Sci. Eng. 2020, 2020, 11. [Google Scholar] [CrossRef]
- Sidhom, L.; Smaoui, M.; Brun, X.; Bideaux, E. Robust Estimator Design for Control of Electropneumatic System. IETE J. Res. 2018, 64, 689–701. [Google Scholar] [CrossRef]
- Gautier, M.; Khalil, W.; Restrepo, P. Identification of the dynamic parameters of a closed loop robot. In Proceedings of the IEEE International Conference on Robotics and Automation, Nagoya, Japan, 21–27 May 1995; pp. 3045–3050. [Google Scholar]
- Agüero, J.C.; Goodwin, G.C. Choosing between open- and closed-loop experiments in linear system identification. IEEE Trans. Autom. Control. 2007, 52, 1475–1480. [Google Scholar] [CrossRef]
- Bombois, X.; Gevers, M.; Scorletti, G. Open-loop versus closed-loop identification of Box-Jenkins models: A new variance analysis. In Proceedings of the Proceedings of the 44th IEEE Conference on Decision and Control, Seville, Spain, 15 December 2005; pp. 3117–3122. [Google Scholar]
- Fliess, M.; Lévine, J.; Martin, P.; Rouchon, P. Flatness and defect of nonlinear systems: Introductory theory and examples. Int. J. Control 1995, 61, 1327–1361. [Google Scholar] [CrossRef]
- Gautier, M.; Khalil, W. Direct calculation of minimum set of inertial parameters of serial robots. IEEE Trans. Robot. Autom 1990, 6, 368–373. [Google Scholar] [CrossRef]
- Davila, J.; Pisano, A.; Usai, E. Continuous and discrete state reconstruction for nonlinear switched systems via high-order sliding-mode observers. Int. J. Syst. Sci. 2011, 2, 725–735. [Google Scholar] [CrossRef]
- Emalyanov, S.V.; Korovin, S.V.; Levantovsky, L.V. Higher order sliding modes in control. Differ. Eq. 1993, 29, 1627–1647. [Google Scholar]
- Davila, J.; Fridman, L.; Levant, A. Second-order sliding mode observer for mechanical systems. IEEE Trans. Autom. Control 2005, 50, 1785–1789. [Google Scholar] [CrossRef]
- Levant, A. Homogeneity approach to high-order sliding mode design. Automatica 2005, 41, 823–830. [Google Scholar] [CrossRef]
- Gautier, M. Optimal motion planning for robot’s inertial parameters. In Proceedings of the 31 Conference on Decision and Control, Tucson, AZ, USA, 16–18 December 1992; pp. 70–73. [Google Scholar]
- Hashemi, S.M.; Werner, H. Parameter identification of a robot arm using separable least squares technique. In Proceedings of the 2009 European Control Conference (ECC), Budapest, Hungary, 23–26 August 2009; pp. 7418–7423. [Google Scholar]
- Brunot, M.; Janot, A.; Young, P.; Carrillo, F. An instrumental variable method for robot identification based on time variable parameter estimation. Kybern. J. 2018, 5, 202–220. [Google Scholar] [CrossRef]











| Algorithm | Settings |
|---|---|
| ED+FIR | The cutoff frequency of the FIR low-pass filter is a 10th-order FIR tuned to 5 Hz |
| 2SMD | |
| ASTD | |
| P2SMD (proposed) |
| a Priori Values | ED+FIR | 2SMD | ASTD | P2SMD Proposed | |||||
|---|---|---|---|---|---|---|---|---|---|
| ZZ1R1 | 3.42 | 3.13 | 1.01 | 3.02 | 0.82 | 2.90 | 0.88 | 3.34 | 0.28 |
| Fv1 | 0.07 | 0.255 | 38.79 | 0.50 | 15.94 | 14.14 | 0.08 | 13.92 | |
| Fs1 | 0.58 | 0.45 | 34.56 | 0.16 | 76.98 | 1.67 | 7.10 | 0.59 | 7.29 |
| ZZ2 | 0.064 | 0.058 | 1.44 | 0.061 | 1.25 | 0.05 | 2.82 | 0.063 | 0.81 |
| L1MX2 | 0.131 | 0.169 | 1.02 | 0.15 | 1.00 | 0.03 | 9.50 | 0.14 | 0.72 |
| L1MY2 | 0 | 0.038 | 4.33 | 0.031 | 4.88 | −0.06 | 4.03 | 0.018 | 5.2 |
| Fv2 | 0.015 | 0.0156 | 26.62 | 0.04 | 9.27 | 0.0099 | 70.09 | 0.028 | 7.88 |
| Fs2 | 0.156 | 0.0583 | 11.40 | 0.05 | 11.27 | 0.23 | 4.80 | 0.0789 | 5.0 |
| ZZ1R1 | Fv1 | Fs1 | ZZ2 | L1MX2 | L1MY2 | Fv2 | Fs2 | |
|---|---|---|---|---|---|---|---|---|
| ED+FIR | 1.3285 | 0.9907 | 1.5776 | 0.0627 | 0.2754 | 0.2203 | 0.7456 | 0.2356 |
| 2SMD | 1.1709 | 0.8036 | 1.1709 | 0.0479 | 0.2127 | 0.1559 | 0.5724 | 0.1981 |
| ASTD | 2.1080 | 2.9089 | 5.3328 | 0.1763 | 0.5272 | 0.2034 | 1.8056 | 0.2949 |
| P2SMD(proposed) | 0.2797 | 0.2291 | 0.3270 | 0.017 | 0.0703 | 0.0430 | 0.1683 | 0.0795 |
| Torque 1 | Torque 2 | |||
|---|---|---|---|---|
| R2 | RMSE | R2 | RMSE | |
| ED+FIR | 0. 9122 | 2.9766 | 0. 8135 | 0.1770 |
| 2SMD | 0.9140 | 2.9510 | 0.8519 | 0.1672 |
| ASTD | 0.9182 | 2.9018 | 0.7250 | 0.2207 |
| P2SMD(proposed) | 0.9604 | 1.9776 | 0.9215 | 0.1093 |
| Torque 1 | Torque 2 | |||
|---|---|---|---|---|
| R2 | RMSE | R2 | RMSE | |
| ED+FIR | 0.9099 | 2.8556 | 0.6014 | 0.2758 |
| 2SMD | 0.8693 | 3.0320 | 0.5014 | 0.2976 |
| ASTD | 0.8934 | 4.0341 | 0.0888 | 0.4553 |
| P2SMD(proposed) | 0.9552 | 2.2530 | 0.8537 | 0.1862 |
Publisher’s Note: MDPI stays neutral with regard to jurisdictional claims in published maps and institutional affiliations. |
© 2021 by the authors. Licensee MDPI, Basel, Switzerland. This article is an open access article distributed under the terms and conditions of the Creative Commons Attribution (CC BY) license (https://creativecommons.org/licenses/by/4.0/).
Share and Cite
Sidhom, L.; Chihi, I.; Kamavuako, E.N. Software Sensor to Enhance Online Parametric Identification for Nonlinear Closed-Loop Systems for Robotic Applications. Sensors 2021, 21, 3653. https://doi.org/10.3390/s21113653
Sidhom L, Chihi I, Kamavuako EN. Software Sensor to Enhance Online Parametric Identification for Nonlinear Closed-Loop Systems for Robotic Applications. Sensors. 2021; 21(11):3653. https://doi.org/10.3390/s21113653
Chicago/Turabian StyleSidhom, Lilia, Ines Chihi, and Ernest Nlandu Kamavuako. 2021. "Software Sensor to Enhance Online Parametric Identification for Nonlinear Closed-Loop Systems for Robotic Applications" Sensors 21, no. 11: 3653. https://doi.org/10.3390/s21113653
APA StyleSidhom, L., Chihi, I., & Kamavuako, E. N. (2021). Software Sensor to Enhance Online Parametric Identification for Nonlinear Closed-Loop Systems for Robotic Applications. Sensors, 21(11), 3653. https://doi.org/10.3390/s21113653

