Computationally Efficient 3D Orientation Tracking Using Gyroscope Measurements
Abstract
1. Introduction
2. Effect of 3D Gyroscope Measurement Interpretation on the Computational Efficiency
2.1. Noiseless Measurements
2.2. Noisy Measurements
3. Effect of the Computational Method on the Computational Efficiency
3.1. DO Computation
3.1.1. Rotation Matrix
3.1.2. Rotation Quaternion
3.2. Computational Efficiency
3.2.1. Common Operations
3.2.2. Rotation Matrix
3.2.3. Rotation Quaternion
3.3. Discussion
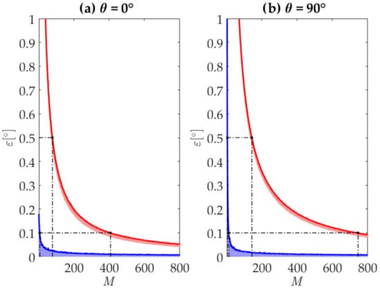
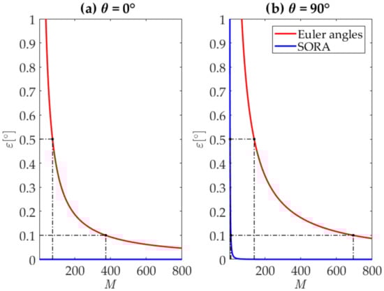
4. Effect of 3DO Tracking Implementation on the Computational Efficiency
5. Experimental Validation
5.1. Experiment
- stepwise 3DO computation, in which we computed the 3DO for each consecutive measurement step, setting so M = 1 and performing 10,000 3DO computations, and
- only the final 3DO computation, in which we combined several consecutive measurements into a single rotation composite, at which point we computed the final 3DO setting so that M = 10,000 and performing a single 3DO computation.
5.2. Results and Discussion
6. Conclusions
Supplementary Materials
Author Contributions
Funding
Conflicts of Interest
References
- Lee, J.; Joo, H.; Lee, J.; Chee, Y. Automatic Classification of Squat Posture Using Inertial Sensors: Deep Learning Approach. Sensors 2020, 20, 361. [Google Scholar] [CrossRef]
- Martínez, A.; Jahnel, R.; Buchecker, M.; Snyder, C.; Brunauer, R.; Stöggl, T. Development of an Automatic Alpine Skiing Turn Detection Algorithm Based on a Simple Sensor Setup. Sensors 2019, 19, 902. [Google Scholar] [CrossRef] [PubMed]
- Benages Pardo, L.; Buldain Perez, D.; Orrite Uruñuela, C. Detection of Tennis Activities with Wearable Sensors. Sensors 2019, 19, 5004. [Google Scholar] [CrossRef] [PubMed]
- Stančin, S.; Tomažič, S. Early improper motion detection in golf swings using wearable motion sensors: The first approach. Sensors 2013, 13, 7505–7521. [Google Scholar] [CrossRef] [PubMed]
- Umek, A.; Kos, A. Validation of smartphone gyroscopes for mobile biofeedback applications. Pers. Ubiquit. Comput. 2016, 20, 657–666. [Google Scholar] [CrossRef]
- Formento, P.C.; Acevedo, R.; Ghoussayni, S.; Ewins, D. Gait Event Detection during Stair Walking Using a Rate Gyroscope. Sensors 2014, 14, 5470–5485. [Google Scholar] [CrossRef] [PubMed]
- Seel, T.; Raisch, J.; Schauer, T. IMU-Based joint angle measurement for gait analysis. Sensors 2014, 14, 6891–6969. [Google Scholar] [CrossRef]
- Allseits, E.; Kim, K.J.; Bennett, C.; Gailey, R.; Gaunaurd, I.; Agrawal, V. A Novel Method for Estimating Knee Angle Using Two Leg-Mounted Gyroscopes for Continuous Monitoring with Mobile Health Devices. Sensors 2018, 18, 2759. [Google Scholar] [CrossRef]
- Umek, A.; Kos, A.; Tomažič, S. Validation of smartphone gyroscopes for angular tracking in biofeedback applications. In Proceedings of the 2015 International Conference on Identification, Information, and Knowledge in the Internet of Things, Beijing, China, 22–23 October 2015. [Google Scholar]
- Sabatini, A.M. Estimating three-dimensional orientation of human body parts by inertial/magnetic sensing. Sensors 2011, 11, 1489–1525. [Google Scholar] [CrossRef]
- Luinge, H.J.; Veltink, P.H. Measuring orientation of human body segments using miniature gyroscopes and accelerometers. Med. Biol. Eng. Comput. 2005, 43, 273–282. [Google Scholar] [CrossRef]
- Fong, D.T.P.; Chan, Y.Y. The use of wearable inertial motion sensors in human lower limb biomechanics studies: A systematic review. Sensors 2010, 10, 11556–11565. [Google Scholar] [CrossRef] [PubMed]
- Pratt, K.A.; Sigward, S.M. Inertial Sensor Angular Velocities Reflect Dynamic Knee Loading during Single Limb Loading in Individuals Following Anterior Cruciate Ligament Reconstruction. Sensors 2018, 18, 3460. [Google Scholar] [CrossRef] [PubMed]
- Tunçel, O.; Altun, K.; Barshan, B. Classifying human leg motions with uniaxial piezoelectric gyroscopes. Sensors 2009, 9, 8508–8546. [Google Scholar] [CrossRef] [PubMed]
- Ayrulu-Erdem, B.; Barshan, B. Leg motion classification with artificial neural networks using wavelet-based features of gyroscope signals. Sensors 2011, 11, 1721–1743. [Google Scholar] [CrossRef] [PubMed]
- Herrera-Alcántara, O.; Barrera-Animas, A.Y.; González-Mendoza, M.; Castro-Espinoza, F. Monitoring Student Activities with Smartwatches: On the Academic Performance Enhancement. Sensors 2019, 19, 1605. [Google Scholar] [CrossRef] [PubMed]
- Gallego, J.A.; Rocon, E.; Roa, J.O.; Moreno, J.C.; Pons, J.L. Real-Time Estimation of Pathological Tremor Parameters from Gyroscope Data. Sensors 2010, 10, 2129–2149. [Google Scholar] [CrossRef]
- Ali, A.; El-Sheimy, N. Low-Cost MEMS-Based Pedestrian Navigation Technique for GPS-Denied Areas. J. Sens. 2013, 2013. [Google Scholar] [CrossRef]
- Giansanti, D.; Maccioni, G.; Macellari, V. The development and test of a device for the reconstruction of 3-D position and orientation by means of a kinematic sensor assembly with rate gyroscopes and accelerometers. IEEE Trans. Biomed. Eng. 2005, 52, 1271–1277. [Google Scholar] [CrossRef]
- Wang, J.H.; Gao, Y. Land vehicle dynamics-aided inertial navigation. IEEE Trans. Aerosp. Electron. Syst. 2010, 46, 1638–1653. [Google Scholar] [CrossRef]
- Antonello, R.; Oboe, R. Exploring the potential of MEMS gyroscopes: Successfully using sensors in typical industrial motion control applications. IEEE Ind. Electron. Mag. 2012, 6, 14–24. [Google Scholar] [CrossRef]
- Stančin, S.; Tomažič, S. Angle estimation of simultaneous orthogonal rotations from 3D gyroscope measurements. Sensors 2011, 11, 8536–8549. [Google Scholar] [CrossRef] [PubMed]
- Tomažič, S.; Stančin, S. Simultaneous orthogonal rotation angle. Electrotech. Rev. 2011, 78, 7–11. [Google Scholar]
- Stančin, S.; Tomažič, S. On the interpretation of 3D gyroscope measurements. J. Sens. 2018, 2018. [Google Scholar] [CrossRef]
- Stančin, S.; Tomažič, S. Time- and computation-efficient calibration of MEMS 3D accelerometers and gyroscopes. Sensors 2014, 14, 14885–14915. [Google Scholar] [CrossRef] [PubMed]
- Kok, M.; Hol, J.D.; Schön, T.B. Using Inertial Sensors for Position and Orientation Estimation. Found. Trends® Signal Process. 2017, 11, 1–153. [Google Scholar] [CrossRef]
- Karamat, T.B.; Atia, M.M.; Noureldin, A. Performance Analysis of Code-Phase-Based Relative GPS Positioning and Its Integration with Land Vehicle’s Motion Sensors. IEEE Sens. J. 2014, 14, 3084–3100. [Google Scholar] [CrossRef]
- Martinelli, A. Vision and IMU Data Fusion: Closed-Form Solutions for Attitude, Speed, Absolute Scale, and Bias Determination. IEEE Trans. Robot. 2012, 28, 44–60. [Google Scholar] [CrossRef]
- Mirzaei, F.M.; Roumeliotis, S.I. A Kalman Filter-Based Algorithm for IMU-Camera Calibration: Observability Analysis and Performance Evaluation. IEEE Trans. Robot. 2008, 24, 1143–1156. [Google Scholar] [CrossRef]
- InvenSense MPU-6500 Product Specification. Available online: https://43zrtwysvxb2gf29r5o0athu-wpengine.netdna-ssl.com/wp-content/uploads/2015/02/MPU-6500-Datasheet2.pdf (accessed on 11 December 2019).
- Kuipers, J.B. Quaternions & Rotation Sequences: A Primer with Applications to Orbits, Aerospace and Virtual Reality, 2nd ed.; Princeton University Press: Princeton, NJ, USA, 1999. [Google Scholar]
- Eberly, D. Rotation Representations and Performance Issues. Geometric Tools, LLC. Available online: http://www.geometrictools.com/Documentation/RotationIssues.pdf (accessed on 28 October 2019).
- Arduino Zero Technical Specification. Available online: https://store.arduino.cc/genuino-zero (accessed on 28 October 2019).
- SMART ARM-based Microcontroller Datasheet. Available online: https://cdn.sparkfun.com/datasheets/Dev/Arduino/Boards/Atmel-42181-SAM-D21_Datasheet.pdf (accessed on 28 October 2019).
- Stančin, S. Computationally Efficient 3DO Tracking. GitHub Repositorty. Available online: https://github.com/s-sara-a/ComputationallyEfficient3DOTracking (accessed on 26 February 2020).



| Interpretation | Computational Method | Computational Efficiency 1 | |||
|---|---|---|---|---|---|
| (A) | (M) | (VN) | (F) | ||
| simultaneous 2 | rotation matrix | 30 M | 43 M | 1 M | 3 M |
| rotation quaternion | 14 M + 39 | 23 M + 56 | 1 M | 3 M | |
| sequential 3 | rotation matrix | 22 M | 42 M | 0 | 6 M |
| rotation quaternion | 16 M + 39 | 31 M + 56 | 0 | 6 M | |
| Computational Scenario | Computational Method | Execution Time T [ms] | Gain Factor 3 |
|---|---|---|---|
| Stepwise 1 | Rotation matrix | 304.2 | 1.85 |
| Rotation quaternion | 561.4 | 1.00 | |
| Only final 2 | Rotation matrix | 304.2 | 1.00 |
| Rotation quaternion | 173.7 | 1.75 |
© 2020 by the authors. Licensee MDPI, Basel, Switzerland. This article is an open access article distributed under the terms and conditions of the Creative Commons Attribution (CC BY) license (http://creativecommons.org/licenses/by/4.0/).
Share and Cite
Stančin, S.; Tomažič, S. Computationally Efficient 3D Orientation Tracking Using Gyroscope Measurements. Sensors 2020, 20, 2240. https://doi.org/10.3390/s20082240
Stančin S, Tomažič S. Computationally Efficient 3D Orientation Tracking Using Gyroscope Measurements. Sensors. 2020; 20(8):2240. https://doi.org/10.3390/s20082240
Chicago/Turabian StyleStančin, Sara, and Sašo Tomažič. 2020. "Computationally Efficient 3D Orientation Tracking Using Gyroscope Measurements" Sensors 20, no. 8: 2240. https://doi.org/10.3390/s20082240
APA StyleStančin, S., & Tomažič, S. (2020). Computationally Efficient 3D Orientation Tracking Using Gyroscope Measurements. Sensors, 20(8), 2240. https://doi.org/10.3390/s20082240