The Synchronization Transceiver Design and Experimental Verification for the LuTan-1 SAR Satellite
Abstract
1. Introduction
2. Phase Synchronization Scheme of LuTan-1
2.1. Synchronization System Model
2.2. Non-Interrupted Synchronization Scheme for LuTan-1
3. Function and Working Principle of Synchronization Transceiver
- Power amplification of the synchronization signal by the master/auxiliary transceiver.
- Switch to a certain SANT according to the control signal from the Control and Timing unit.
- Amplitude limiting and low-noise amplification of the received synchronization signals.
- Obtain effective spatial interference suppression of synchronization signals.
- Switch between the master and auxiliary transceiver link.
- Couple synchronization signal and generate calibration signal.
4. Design of STR
4.1. T-Branch
- Adjust the relative position between the CDBs and the transmission line.
- Adjust the arc height and the number of the bonding gold wires which connect the CDBs and the transmission line.
- Adjust the diameter of the gold wires or the width of the gold belts.
- Adjust the capacitance values of the DC-block capacitors at input and output of the GaN power transistors.
4.2. R-Branch
4.3. Common Branch
4.3.1. Spatial Interference Suppression Design
4.3.2. Calibration
4.4. Switch Module
- During the working period, there is only one power-up circuit, and the other one is not power-up, which can effectively reduce the power consumption of the whole machine.
- Current flows through the switch only at the moment of switching, and the power consumption of switch is zero during normal operation.
- The reliability of REMSL is high, which makes the reliability of the whole machine remarkably improved.
- The power loss of the transmitting signal after passing through the switch is only 0.15 dB.
- The multipaction breakdown power and dissipation breakdown power of the switch are both good, up to 200 W in L band.
- REMSL is an ultra-wideband device, which can realize a universal design of STR.
5. Test Results and Experimental Verification
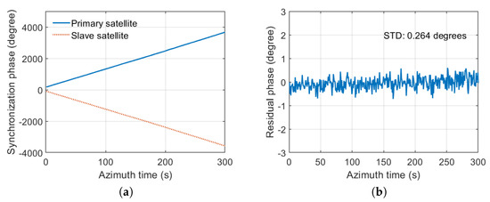
5.1. Test Results of STR
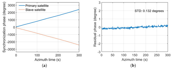
5.2. Accuracy Analysis
6. Conclusions
Author Contributions
Funding
Conflicts of Interest
Abbreviations
| SAR | Synthetic aperture radar |
| BiSAR | Bistatic synthetic aperture radar |
| PRF | Pulse-repetition frequency |
| PRI | Pulse-repetition internal |
| STR | Synchronization transceiver |
| PA | Power amplifier |
| LPF | Low-pass filter |
| LNA | Low-noise amplifier |
| GaN | Gallium nitride |
| SNR | Signal-to-noise ratio |
| LFM | Linear frequency modulation |
| SANT | Synchronization antenna |
| NF | Noise figure |
| CDB | Capacitive debugging blocks |
| WPD | Wilkinson power divider |
| DPDT | Double-pole double-throw |
| SPDT | Single-pole single-throw |
| REMSL | Relays electromagnetic, RF coaxial switch, latching |
| TT&C | Telemetry, tracking, and command |
| T-mode | Transmitting mode |
| R-mode | Receiving mode |
| STD | Standard deviation |
References
- Moreira, A.; Prats-Iraola, P.; Younis, M.; Krieger, G.; Hajnsek, I.; Papathanassiou, K.P. A tutorial on synthetic aperture radar. IEEE Geosci. Remote Sens. Mag. 2013, 1, 6–43. [Google Scholar] [CrossRef]
- Krieger, G.; Moreira, A. Spaceborne bi- and multistatic SAR: Potential and challenges. IEE Proc. Radar Sonar Navig. 2006, 153, 184–198. [Google Scholar] [CrossRef]
- Zhang, H.; Deng, Y.; Wang, R.; Ning, L.; Zhao, S.; Feng, H.; Wu, L.; Loffeld, O. Spaceborne/Stationary Bistatic SAR Imaging with TerraSAR-X as an Illuminator in Staring-Spotlight Mode. IEEE Trans. Geosci. Remote Sens. 2016, 54, 5203–5216. [Google Scholar] [CrossRef]
- He, Z.; He, F.; Chen, J.; Huang, H.; Dong, Z.; Liang, D. Echo-Domain Phase Synchronization Algorithm for Bistatic SAR in Alternating Bistatic Ping-Pong Mode. IEEE Geosci. Remote Sens. Lett. 2012, 9, 604–608. [Google Scholar]
- Krieger, G.; Moreira, A.; Fiedler, H.; Hajnsek, I.; Werner, M.; Younis, M.; Zink, M. TanDEM-X: A satellite formation for high-resolution SAR interferometry. IEEE Trans. Geosci. Remote Sens. 2007, 45, 3317–3341. [Google Scholar] [CrossRef]
- Lopez-Dekker, P.; Mallorqui, J.J.; Serra-Morales, P.; Sanz-Marcos, J. Phase and temporal synchronization in bistatic SAR systems using sources of opportunity. In Proceedings of the 2007 IEEE International Geoscience and Remote Sensing Symposium, Barcelona, Spain, 23–28 July 2007; pp. 97–100. [Google Scholar]
- Krieger, G.; Hajnsek, I.; Papathanassiou, K.; Eineder, M.; Younis, M.; Zan, F.D.; Huber, S.; Lopezdekker, P.; Prats, P.; Werner, M. TanDEM-L: In addition, innovative interferometric and polarimetric SAR mission to monitor earth system dynamics with high resolution. In Proceedings of the 2010 IEEE International Geoscience and Remote Sensing Symposium, Honolulu, HI, USA, 25–30 July 2010. [Google Scholar]
- Gebert, N.; Carnicero Dominguez, B.; Davidson, M.W.J.; Diaz Martin, M.; Silvestrin, P. SAOCOM-CS—A passive companion to SAOCOM for single-pass L-band SAR interferometry. In Proceedings of the EUSAR2014—10th European Conference on Synthetic Aperture Radar, Berlin, Germany, 3–5 June 2014; pp. 1251–1254. [Google Scholar]
- Rott, H.; López-Dekker, P.; Solberg, S.; Ulander, L.; Nagler, T.; Krieger, G.; Prats, P.; Rodriguez, M.; Zonno, M.; Moreira, A. SESAME: A single-pass interferometric Sentinel-1 companion SAR mission for monitoring GEO- and biosphere dynamics. In Proceedings of the IGARSS 2017—2017 IEEE International Geoscience and Remote Sensing Symposium, Fort Worth, TX, USA, 23–28 July 2017; pp. 107–110. [Google Scholar]
- Krieger, G.; Zonno, M.; Mittermayer, J.; Moreira, A.; Huber, S.; Rodriguez-Cassola, M. MirrorSAR: A Fractionated Space Transponder Concept for the Implementation of Low-Cost Multistatic SAR Missions. In Proceedings of the EUSAR 2018—12th European Conference on Synthetic Aperture Radar, Aachen, Germany, 4–7 June 2018; pp. 1359–1364. [Google Scholar]
- López-Dekker, P.; Rott, H.; Prats-Iraola, P.; Chapron, B.; Scipal, K.; De Witte, E. Harmony: An Earth explorer 10 mission candidate to observe land, ice, and ocean surface dynamics. In Proceedings of the IGARSS 2019—2019 IEEE International Geoscience and Remote Sensing Symposium, Yokohama, Japan, 28 July–2 August 2019; pp. 8381–8384. [Google Scholar]
- Krieger, G.; De Zan, F. Relativistic effects in bistatic SAR processing and system synchronization. In Proceedings of the EUSAR 2012—9th European Conference on Synthetic Aperture Radar, Nuremberg, Germany, 23–26 April 2012; pp. 231–234. [Google Scholar]
- Krieger, G.; Younis, M. Impact of oscillator noise in bistatic and multistatic SAR. IEEE Geosci. Remote Sens. Lett. 2006, 3, 424–428. [Google Scholar] [CrossRef]
- Younis, M.; Metzig, R.; Krieger, G.; Bachmann, M.; Klein, R. Performance prediction and verification for the synchronization link of TanDEM-X. In Proceedings of the 2007 IEEE International Geoscience and Remote Sensing Symposium, Barcelona, Spain, 23–28 July 2007; pp. 5206–5209. [Google Scholar]
- Lopez-Dekker, P.; Mallorqui, J.J.; Serra-Morales, P.; Sanz-Marcos, J. Phase synchronization and doppler centroid estimation in fixed receiver bistatic SAR systems. IEEE Trans. Geosci. Remote Sens. 2008, 46, 3459–3471. [Google Scholar] [CrossRef]
- Azcueta, M.; Tebaldini, S. Potential for Absolute Ionosphere and Clock Correction in Noncooperative Bistatic SAR. IEEE Trans. Geosci. Remote Sens. 2020, 58, 363–377. [Google Scholar] [CrossRef]
- Feng, H.; Robert, W.; Zhimin, Z.; Pingping, L.; Timo, B. Integrated Time and Phase Synchronization Strategy for a Multichannel Spaceborne-Stationary Bistatic SAR System. Remote Sensing 2016, 8, 628. [Google Scholar]
- Liang, D.; Liu, K.; Zhang, H.; Deng, Y.; Liu, D.; Chen, Y.; Li, C.; Yue, H.; Wang, R. A High-Accuracy Synchronization Phase-Compensation Method Based on Kalman Filter for Bistatic Synthetic Aperture Radar. IEEE Geosci. Remote Sens. Lett. 2019, 1–5. [Google Scholar] [CrossRef]
- Eineder, M. Ocillator clock drift compensation in bistatic interferometric SAR. In Proceedings of the IGARSS 2003—2003 IEEE International Geoscience and Remote Sensing Symposium, Proceedings (IEEE Cat. No.03CH37477), Toulouse, France, 21–25 July 2003; Volume 3, pp. 1449–1451. [Google Scholar]
- Younis, M.; Metzig, R.; Krieger, G. Performance prediction of a phase synchronization link for bistatic SAR. IEEE Geosci. Remote Sens. Lett. 2006, 3, 429–433. [Google Scholar] [CrossRef]
- Pinheiro, M.; Rodriguez-Cassola, M.; Prats-Iraola, P.; Reigber, A.; Krieger, G.; Moreira, A. Reconstruction of Coherent Pairs of Synthetic Aperture Radar Data Acquired in Interrupted Mode. IEEE Trans. Geosci. Remote Sens. 2015, 53, 1876–1893. [Google Scholar] [CrossRef]
- Li, C.; Zhang, H.; Deng, Y.; Wang, R.; Liu, K.; Liu, D.; Jin, G.; Zhang, Y. Focusing the L-Band Spaceborne Bistatic SAR Mission Data Using a Modified RD Algorithm. IEEE Trans. Geosci. Remote Sens. 2020, 58, 294–306. [Google Scholar] [CrossRef]
- Liang, D.; Liu, K.; Yue, H.; Chen, Y.; Deng, Y.; Zhang, H.; Li, C.; Jin, G.; Wang, R. An advanced non-interrupted synchronization scheme for bistatic synthetic aperture radar. In Proceedings of the IGARSS 2019—2019 IEEE International Geoscience and Remote Sensing Symposium, Yokohama, Japan, 28 July–2 August 2019; pp. 1116–1119. [Google Scholar]
- Jin, G.; Liu, K.; Liu, D.; Liang, D.; Zhang, H.; Ou, N.; Zhang, Y.; Deng, Y.; Li, C.; Wang, R. An Advanced Phase Synchronization Scheme for LT-1. IEEE Trans. Geosci. Remote Sens. 2019, 58, 1735–1746. [Google Scholar] [CrossRef]
- Feng, W.; Friedt, J.; Nico, G.; Wang, S.; Martin, G.; Sato, M. Passive Bistatic Ground-Based Synthetic Aperture Radar: Concept, System, and Experiment Results. Remote Sens. 2019, 11, 1753. [Google Scholar] [CrossRef]
- Horst, M.J.; Ghasr, M.T.; Zoughi, R. Design of a Compact V -Band Transceiver and Antenna for Millimeter-Wave Imaging Systems. IEEE Trans. Instrum. Meas. 2019, 68, 4400–4411. [Google Scholar] [CrossRef]
- Shi, J.; Gaojing, W.; Xianquan, H.; Jiming, G. Impacts of Satellite Orbit and Clock on Real-Time GPS Point and Relative Positioning. Sensors 2017, 17, 1363. [Google Scholar] [CrossRef]
- Maciuk, K. Advantages of combined gnss processing involving a limited number of visible satellites. Sci. J. Silesian Univ. Technol. Ser. Transp. 2018, 98, 89–99. [Google Scholar] [CrossRef]
- Acosta, N.; Toloza, J. Techniques to improve the GPS precision. Int. J. Adv. Comput. Sci. Appl. 2012, 3, 125–130. [Google Scholar] [CrossRef][Green Version]
- Liu, J.; Gu, D.; Ju, B.; Yao, J.; Duan, X.; Yi, D. Basic performance of BeiDou-2 navigation satellite system used in LEO satellites precise orbit determination. Chin. J. Aeronaut. 2014, 27, 1251–1258. [Google Scholar] [CrossRef]
- Wang, Y.; Lou, L.; Chen, B.; Zhang, Y.; Tang, K.; Qiu, L.; Liu, S.; Zheng, Y. A 260-mW Ku-Band FMCW Transceiver for Synthetic Aperture Radar Sensor With 1.48-GHz Bandwidth in 65-nm CMOS Technology. IEEE Trans. Microw. Theory Tech. 2017, 65, 4385–4399. [Google Scholar] [CrossRef]
- Xiao, W.; Yao, B. Design of an anti-irradiation beam-steering unit based on ASIC circuit. J. Eng. 2019, 2019, 5810–5812. [Google Scholar] [CrossRef]
- Liang, Z.; Li, B.; Huang, M.; Zheng, Y.; Ye, H.; Xu, K.; Deng, F. A Low Cost BLE Transceiver with RX Matching Network Reusing PA Load Inductor for WSNs Applications. Sensors 2017, 17, 895. [Google Scholar] [CrossRef] [PubMed]
- Chang, K. RF and Microwave Wireless Systems; John Wiley & Sons: Hoboken, NJ, USA, 2004; Volume 161. [Google Scholar]














| Parameter | Value |
|---|---|
| Orbit height (km) | 607 |
| Carrier frequency (GHz) | 1.26 |
| Channel number | 4 |
| Maximum synchronization frequency | PRF/2 |
| Polarization | quad/compact/single |
| Parameter | Value |
|---|---|
| Swath width (km) | 50 |
| Resolution (m) | 3 × 3 |
| Look angle (deg.) | 18–22.40 |
| Radar pulse width (μs) | 110 |
| Echo receiving window width (μs) | 250 |
| Synchronization pulse width (μs) | 10 |
| PRF (Hz) | 1723 |
| Maximum synchronization frequency (Hz) | 861.5 |
| Parameter | Requirement |
|---|---|
| Operation bandwidth (MHz) | ≥150 |
| Peak power of transmitting signal (dBm) | 37–39 |
| In-band flatness of amplitude of transmitting signal (dB) | ≤1 |
| In-band nonlinear phase error of transmitting signal (deg.) | ≤5 |
| Noise figure (NF) of receiving channel (dB) | ≤3.7 |
| Gain of receiving channel (dB) | 24–26 |
| In-band flatness of amplitude of receiving signal (dB) | ≤0.5 |
| In-band nonlinear phase error of receiving signal (deg.) | ≤5 |
| Isolation of switches (dB) | ≥60 |
| Power consumption (W) | ≤4.0 |
| Weight (kg) | ≤3.5 |
| Size (mm3) | ≤200 × 239 × 91 |
| Device | Microwave Switch | LPF & Coupler | Circulator & Limiter | LNA1 | Fixed Attenuator | LNA2 |
|---|---|---|---|---|---|---|
| Gain (dB) | −1.6 | −0.7 | −1.4 | 18.5 | −3 | 12.3 |
| NF (dB) | 1.6 | 0.7 | 1.4 | 0.6 | 3 | 5.2 |
| System gain (dB) | −1.6 | −2.3 | −3.7 | 14.8 | 11.8 | 24.1 |
| System NF (dB) | 1.6 | 2.3 | 3.7 | 4.3 | 4.35 | 4.59 |
| Device | Microwave Switch | LPF & Coupler | Circulator & Limiter | LNA1 | Fixed Attenuator | LNA2 |
|---|---|---|---|---|---|---|
| Gain (dB) | −0.4 | −0.7 | −1.4 | 18.5 | −3 | 12.3 |
| NF (dB) | 0.4 | 0.7 | 1.4 | 0.6 | 3 | 5.2 |
| System gain (dB) | −0.4 | −1.1 | −2.5 | 16 | 13 | 25.3 |
| System NF (dB) | 0.4 | 1.1 | 2.50 | 3.10 | 3.15 | 3.39 |
| Parameter | SANT1 | SANT2 | SANT3 | SANT4 |
|---|---|---|---|---|
| Peak power of transmitting signal (dBm) | 37.9–38.8 | 37.9–38.8 | 37.9–38.8 | 37.9–38.8 |
| In-band flatness of amplitude of transmitting signal (dB) | 0.89 | 0.83 | 0.91 | 0.88 |
| In-band nonlinear phase error of transmitting signal (deg.) | 3.5 | 3.5 | 3.4 | 3.5 |
| NF of receiving channel (dB) | 3.5 | 3.5 | 3.5 | 3.5 |
| Gain of receiving channel (dB) | 24.9–25.3 | 24.9–25.3 | 24.9–25.3 | 24.9–25.3 |
| In-band flatness of amplitude of receiving signal (dB) | 0.4 | 0.4 | 0.4 | 0.4 |
| In-band nonlinear phase error of receiving signal (deg.) | 3.2 | 3.2 | 3.2 | 3.2 |
| Isolation of switches (dB) | 65.0 | 65.0 | 65.0 | 65.0 |
| Power consumption (W) | 3.9 | |||
| Weight (kg) | 3.45 | |||
| Size (mm3) | 199.6×238.7×90.7 | |||
© 2020 by the authors. Licensee MDPI, Basel, Switzerland. This article is an open access article distributed under the terms and conditions of the Creative Commons Attribution (CC BY) license (http://creativecommons.org/licenses/by/4.0/).
Share and Cite
Jiao, Y.; Liang, D.; Liu, K.; Chen, Y.; Wang, H.; Wang, R. The Synchronization Transceiver Design and Experimental Verification for the LuTan-1 SAR Satellite. Sensors 2020, 20, 1463. https://doi.org/10.3390/s20051463
Jiao Y, Liang D, Liu K, Chen Y, Wang H, Wang R. The Synchronization Transceiver Design and Experimental Verification for the LuTan-1 SAR Satellite. Sensors. 2020; 20(5):1463. https://doi.org/10.3390/s20051463
Chicago/Turabian StyleJiao, Yuanbo, Da Liang, Kaiyu Liu, Yafeng Chen, Huaizu Wang, and Robert Wang. 2020. "The Synchronization Transceiver Design and Experimental Verification for the LuTan-1 SAR Satellite" Sensors 20, no. 5: 1463. https://doi.org/10.3390/s20051463
APA StyleJiao, Y., Liang, D., Liu, K., Chen, Y., Wang, H., & Wang, R. (2020). The Synchronization Transceiver Design and Experimental Verification for the LuTan-1 SAR Satellite. Sensors, 20(5), 1463. https://doi.org/10.3390/s20051463

