A Highly Sensitive Impedimetric DNA Biosensor Based on Hollow Silica Microspheres for Label-Free Determination of E. coli
Abstract
1. Introduction
2. Materials and Methods
2.1. Instrumentation
2.2. Chemicals
2.3. Synthesis of Hollow Silica Microspheres
2.4. Fabrication of Label-Free DNA Biosensor for E. coli Pathogen Detection
2.5. Analytical Performance of Label-Free DNA Biosensor
2.6. Real Samples
3. Results and Discussion
3.1. Morphology and Characterization Studies of Hollow Silica Microspheres
3.2. Electrochemical Biosensor Characterization in Na-Phosphate Buffer
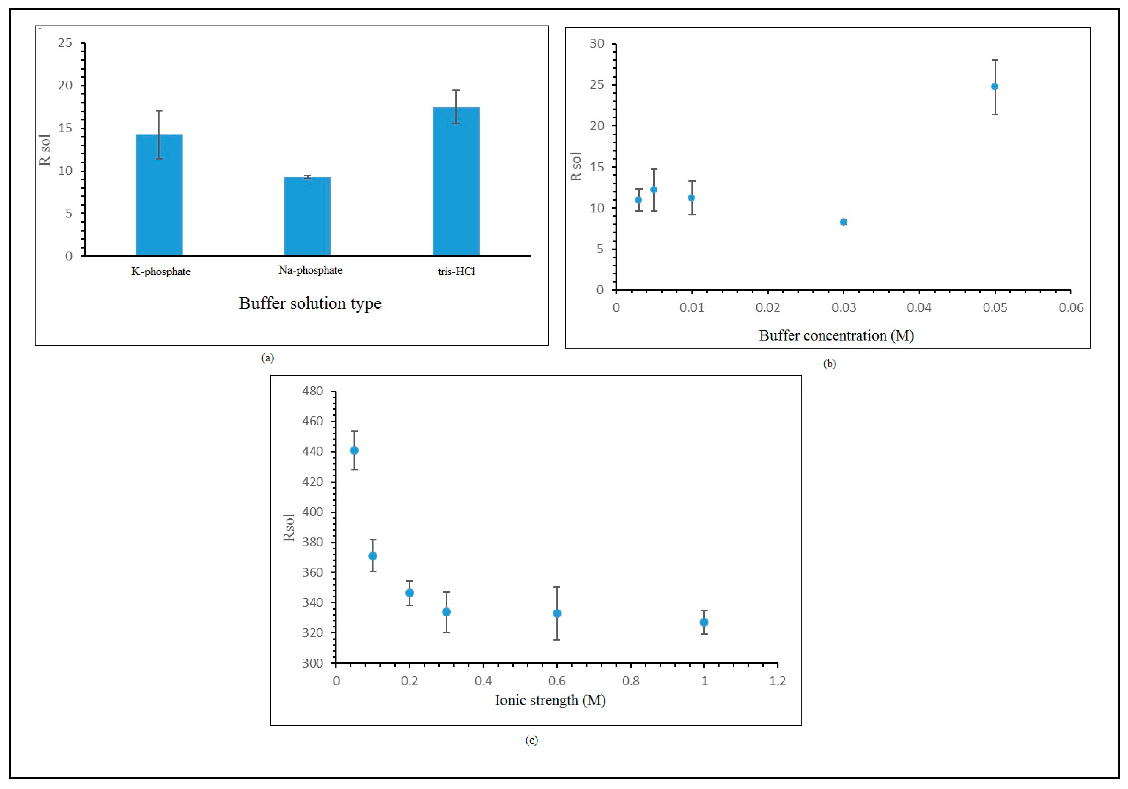
3.3. Effect of Buffer Solution
3.4. Optimization of Label-Free DNA Biosensor Response
3.5. Analytical Performance of Label-Free E. coli DNA Biosensor
3.6. E. coli Detection from Environmental Samples
3.7. Comparison of the Analytical Performance of the Developed Label-Free DNA Biosensor with other Reported DNA Biosensors using Impedimetric Technique
4. Conclusions
Author Contributions
Funding
Conflicts of Interest
References
- Available online: http://water.epa.gov/drink/contaminants/basicinformation/ecoli.cfm (accessed on 27 December 2019).
- Available online: http://www.themalaymailonline.com/malaysia/article/traces-of-E.coli-found-in-batu-ferringhi-waters-says-environment-body (accessed on 27 December 2019).
- Available online: http://www.bbc.com/news/world-asia-30680571 (accessed on 27 December 2019).
- Tiwari, I.; Singh, M.; Pandey, C.M.; Sumana, G. Electrochemical detection of a pathogenic Escherichia coli specific DNA sequence based on a graphene oxide–chitosan composite decorated with nickel ferrite nanoparticles. RSC Adv. 2015, 5, 67115–67124. [Google Scholar] [CrossRef]
- Ariffin, E.Y.; Lee, Y.H.; Futra, D.; Tan, L.L.; Karim, N.H.A.; Ibrahim, N.N.N.; Ahmad, A. An ultrasensitive hollow-silica-based biosensor for pathogenic Escherichia coli DNA detection. Anal. Bioanal. Chem. 2018, 410, 2363–2375. [Google Scholar] [CrossRef]
- Khansili, N.; Rattu, G.; Krishna, P.M. Label-free optical biosensors for food and biological sensor applications. Sensors Actuators B Chem. 2018, 265, 35–49. [Google Scholar] [CrossRef]
- Farace, G.; Lillie, G.; Hianik, T.; Payne, P.; Vadgama, P. Reagentless biosensing using electrochemical impedance spectroscopy. Bioelectrochemistry 2002, 55, 1–3. [Google Scholar] [CrossRef]
- Bonanni, A.; Loo, A.H.; Pumera, M. Graphene for impedimetric biosensing. TrAC Trends Anal. Chem. 2012, 37, 12–21. [Google Scholar] [CrossRef]
- Orazem, M.; Tribollet, B. An integrated approach to electrochemical impedance spectroscopy. Electrochimica Acta 2008, 53, 7360–7366. [Google Scholar] [CrossRef]
- Deng, J.; Toh, C.-S. Impedimetric DNA Biosensor Based on a Nanoporous Alumina Membrane for the Detection of the Specific Oligonucleotide Sequence of Dengue Virus. Sensors 2013, 13, 7774–7785. [Google Scholar] [CrossRef]
- Queirós, R.; De-Los-Santos-Álvarez, N.; Noronha, J.P.; Sales, M.G.F. A label-free DNA aptamer-based impedance biosensor for the detection of E. coli outer membrane proteins. Sens. Actuators B. 2013, 181, 766–772. [Google Scholar] [CrossRef]
- Zainudin, N.; Mohd-Hairul, A.R.; Yusoff, M.; Tan, L.L.; Chong, K.F. Impedimetric graphene-based biosensor for the detection of Escherichia coli DNA. Anal. Methods 2014, 6, 7935–7941. [Google Scholar] [CrossRef]
- Brosel, S.; Ferreira, R.; Uria, N.; Abramova, N.; Gargallo, R.; Muñoz-Pascual, F.-X.; Bratov, A. Novel impedimetric aptasensor for label-free detection of Escherichia coli O157:H7. Sens. Actuators B. 2018, 255, 2988–2995. [Google Scholar] [CrossRef]
- Shen, Z.-Q.; Wang, J.-F.; Qiu, Z.; Jin, M.; Wang, X.; Chen, Z.-L.; Li, J.; Cao, F.-H. QCM immunosensor detection of Escherichia coli O157:H7 based on beacon immunomagnetic nanoparticles and catalytic growth of colloidal gold. Biosens. Bioelectron. 2011, 26, 3376–3381. [Google Scholar] [CrossRef] [PubMed]
- Nascimento, H.P.; Oliveira, M.D.; De Melo, C.; Silva, G.J.; Cordeiro, M.T.; De Andrade, C.A.S. An impedimetric biosensor for detection of dengue serotype at picomolar concentration based on gold nanoparticles-polyaniline hybrid composites. Colloids Surf. B 2011, 86, 414–419. [Google Scholar] [CrossRef] [PubMed]
- Fu, Y.; Yuan, R.; Xu, L.; Chai, Y.; Zhong, X.; Tang, D. Indicator free DNA hybridization detection via EIS based on self-assembled gold nanoparticles and bilayer two-dimensional 3-mercaptopropyltrimethoxysilane onto a gold substrate. Biochem. Eng. J. 2005, 23, 37–44. [Google Scholar] [CrossRef]
- Paniel, N.; Baudart, J. Colorimetric and electrochemical genosensors for the detection of Escherichia coli DNA without amplification in seawater. Talanta 2013, 115, 133–142. [Google Scholar] [CrossRef] [PubMed]
- Boissière, C.; Van Der Lee, A.; El Mansouri, A.; Larbot, A.; Prouzet, E. A double step synthesis of mesoporous micrometric spherical MSU-X silica particles. Chem. Commun. 1999, 20, 2047–2048. [Google Scholar] [CrossRef]
- Zhang, L.; Foxman, B.; Gilsdorf, J.R.; Marrs, C.F. Bacterial genomic DNA isolation using sonication for microarray analysis. Biotechniques 2005, 39, 640–644. [Google Scholar] [CrossRef]
- Dashti, A.A.; Jadaon, M.M.; Abdulsamad, A.M.; Dashti, H.M. Heat treatment of bacteria: a simple method of DNA extraction for molecular techniques. Kuwait Med. J. 2009, 41, 117–122. [Google Scholar]
- Deng, Y.; Lettmann, C.; Maier, W. Leaching of amorphous V- and Ti-containing porous silica catalysts in liquid phase oxidation reactions. Appl. Catal. A Gen. 2001, 214, 31–46. [Google Scholar] [CrossRef]
- Alqasaimeh, M.; Heng, L.Y.; Ahmad, M.; Raj, A.S.; Ling, T.L. A Large Response Range Reflectometric Urea Biosensor Made from Silica-Gel Nanoparticles. Sensors 2014, 14, 13186–13209. [Google Scholar] [CrossRef]
- Mourhly, A.; Khachani, M.; Kacimi, M.; Halim, M.; El Hamidi, A.; Arsalane, S. The Synthesis and Characterization of Low-Cost Mesoporous Silica SiO 2 from Local Pumice Rock. Nanomater. Nanotechnol. 2015, 5, 35. [Google Scholar] [CrossRef]
- Nakanishi, K.; Tomita, M.; Kato, K. Synthesis of amino-functionalized mesoporous silica sheets and their application for metal ion capture. J. Asian Ceram. Soc. 2015, 3, 70–76. [Google Scholar] [CrossRef]
- Guo, H.; Qian, H.-S.; Sun, S.; Sun, D.; Yin, H.; Cai, X.; Liu, Z.; Wu, J.; Jiang, T.; Liu, X. Hollow mesoporous silica nanoparticles for intracellular delivery of fluorescent dye. Chem. Central J. 2011, 5, 1. [Google Scholar] [CrossRef] [PubMed]
- Zhang, Z.; Dai, S.; Fan, X.; Blom, D.A.; Pennycook, S.J.; Wei, Y. Controlled Synthesis of CdS Nanoparticles inside Ordered Mesoporous Silica Using Ion-Exchange Reaction. J. Phys. Chem. B 2001, 105, 6755–6758. [Google Scholar] [CrossRef]
- Ge, C.; Zhang, D.; Wang, A.; Yin, H.; Ren, M.; Liu, Y.; Jiang, T.; Yu, L. Synthesis of porous hollow silica spheres using polystyrene–methyl acrylic acid latex template at different temperatures. J. Phys. Chem. Solids 2009, 70, 1432–1437. [Google Scholar] [CrossRef]
- Liberman, A.; Mendez, N.; Trogler, W.C.; Kummel, A.C. Synthesis and surface functionalization of silica nanoparticles for nanomedicine. Surf. Sci. Rep. 2014, 69, 132–158. [Google Scholar] [CrossRef]
- Zhang, S.; Wang, N.; Yu, H.; Niu, Y.; Sun, C. Covalent attachment of glucose oxidase to an Au electrode modified with gold nanoparticles for use as glucose biosensor. Bioelectrochemistry 2005, 67, 15–22. [Google Scholar] [CrossRef]
- Pan, J. Voltammetric detection of DNA hybridization using a non-competitive enzyme linked assay. Biochem. Eng. J. 2007, 35, 183–190. [Google Scholar] [CrossRef]
- Kafka, J.; Pänke, O.; Abendroth, B.; Lisdat, F. A label-free DNA sensor based on impedance spectroscopy. Electrochimica Acta 2008, 53, 7467–7474. [Google Scholar] [CrossRef]
- Le, M.H.; Jiménez, C.; Chainet, E.; Stambouli, V. A Label-Free Impedimetric DNA Sensor Based on a Nanoporous SnO2 Film: Fabrication and Detection Performance. Sensors 2015, 15, 10686–10704. [Google Scholar] [CrossRef]
- Tong, Z.; Yuan, R.; Chai, Y.; Chen, S.; Xie, Y. Amperometric biosensor for hydrogen peroxide based on Hemoglobin/DNA/Poly-2,6-pyridinediamine modified gold electrode. Thin Solid Films 2007, 515, 8054–8058. [Google Scholar] [CrossRef]
- Radhakrishnan, R.; Suni, I.I.; Bever, C.; Hammock, B.D. Impedance Biosensors: Applications to Sustainability and Remaining Technical Challenges. ACS Sustain. Chem. Eng. 2014, 2, 1649–1655. [Google Scholar] [CrossRef]
- De Andrade, C.A.S.; Oliveira, M.D.; De Melo, C.; Coelho, L.C.; Correia, M.T.; Nogueira, M.L.; Singh, P.R.; Zeng, X. Diagnosis of dengue infection using a modified gold electrode with hybrid organic–inorganic nanocomposite and Bauhinia monandra lectin. J. Colloid Interface Sci. 2011, 362, 517–523. [Google Scholar] [CrossRef] [PubMed]
- Ulianas, A.; Heng, L.Y.; Abu Hanifah, S.; Ling, T.L. An Electrochemical DNA Microbiosensor Based on Succinimide-Modified Acrylic Microspheres. Sensors 2012, 12, 5445–5460. [Google Scholar] [CrossRef] [PubMed]
- Keighley, S.D.; Li, P.; Estrela, P.; Migliorato, P. Optimization of DNA immobilization on gold electrodes for label-free detection by electrochemical impedance spectroscopy. Biosens. Bioelectron. 2008, 23, 1291–1297. [Google Scholar] [CrossRef] [PubMed]
- Laureyn, W.; Nelis, D.; Van Gerwen, P.; Baert, K.; Hermans, L.; Magnée, R.; Pireaux, J.-J.; Maes, G. Nanoscaled interdigitated titanium electrodes for impedimetric biosensing. Sensors Actuators B Chem. 2000, 68, 360–370. [Google Scholar] [CrossRef]
- Watterson, J.H.; Piunno, P.A.; Krull, U.J. Towards the optimization of an optical DNA sensor: control of selectivity coefficients and relative surface affinities. Anal. Chim. Acta 2002, 457, 29–38. [Google Scholar] [CrossRef]
- Wong, E.L.S.; Gooding, J.J. Charge Transfer through DNA: A Selective Electrochemical DNA Biosensor. Anal. Chem. 2006, 78, 2138–2144. [Google Scholar] [CrossRef]
- Chang, S.P.; Yang, T.H. Sensing performance of EGFET pH sensors with CuO nanowires fabricated on glass substrate. Int. J. Electrochem. Sci. 2012, 7, 5020–5027. [Google Scholar]
- Hames, B.B.; Higgins, S.J. Nucleic Acid Hybridisation-A Practical Approach; Oxford University Press: New York, NY, USA, 1985. [Google Scholar]
- Okahata, Y.; Kawase, M.; Niikura, K.; Ohtake, F.; Furusawa, H.; Ebara, Y. Kinetic Measurements of DNA Hybridization on an Oligonucleotide-Immobilized 27-MHz Quartz Crystal Microbalance. Anal. Chem. 1998, 70, 1288–1296. [Google Scholar] [CrossRef]
- Perrin, D.; Boyd, D. Buffers for pH and Metal Ion Control (Chapman and Hall Laboratory Manuals in Physical Chemistry and Biochemistry); Chapman and Hall: Boca Raton, FL, USA, 1974. [Google Scholar]
- Ma, Y.; Jiao, K.; Yang, T.; Sun, D. Sensitive PAT gene sequence detection by nano-SiO2/p-aminothiophenol self-assembled films DNA electrochemical biosensor based on impedance measurement. Sens. Actuators B 2008, 131, 565–571. [Google Scholar] [CrossRef]
- Lucarelli, F.; Marrazza, G.; Turner, A.; Mascini, M. Carbon and gold electrodes as electrochemical transducers for DNA hybridisation sensors. Biosens. Bioelectron. 2004, 19, 515–530. [Google Scholar] [CrossRef]
- Teles, F.; Fonseca, L.P. Trends in DNA biosensors. Talanta 2008, 77, 606–623. [Google Scholar] [CrossRef]
- Rahman, T.; Ramana, C.V. Impedance spectroscopic characterization of gadolinium substituted cobalt ferrite ceramics. J. Appl. Phys. 2014, 116, 164108. [Google Scholar] [CrossRef]
- Park, J.-Y.; Park, S.-M. DNA Hybridization Sensors Based on Electrochemical Impedance Spectroscopy as a Detection Tool. Sensors 2009, 9, 9513–9532. [Google Scholar] [CrossRef] [PubMed]
- Diyana, N.M.S.; Yuhana Ariffin, E.; Sheryn, W.; Shamsuddin, M.A.; Heng, L.Y.; Latip, J.; Hasbullah, S.A.; Hassan, N.I. Electrochemical DNA Biosensor For Evaluating The Carcinogenicity of Anticancer Compounds. Sensors 2019, 19, 5111–5126. [Google Scholar]
- Kang, J.; Li, X.; Wu, G.; Wang, Z.; Lu, X. A new scheme of hybridization based on the Aunano–DNA modified glassy carbon electrode. Anal. Biochem. 2007, 364, 165–170. [Google Scholar] [CrossRef] [PubMed]







| Parameters | Optimum Amount |
|---|---|
| Amount of gold nanoparticles (AuNPs) | 0.08 mg |
| Amount of hollow silica microspheres (HSMs) | 0.04 mg |
| DNA probe concentration | 2 µM |
| Types of buffer | Sodium phosphate |
| Sodium phosphate buffer pH | pH 7 |
| Sodium phosphate buffer concentration | 0.06 M |
| Ionic strength | 0.6 M |
| DNA probe immobilization time | 5 h |
| Hybridization time | 1 h |
| Sample | Biochemical Test | Impedance Signal, RCT | Conventional Method | ||||
|---|---|---|---|---|---|---|---|
| Gramstaining | Catalase | Oxidase | Indole | (Average) (n = 3) | Chromocult Coliform Agar | Eosin Methylene Blue Agar (n = 3) | |
| E. coli ATCC 25922 | Negative Rod | Positive | Negative | Positive | Blue and purple colored “coliform” | Green metallic colored coliform | |
| Water from factory surroundings | Negative Rod | Positive | Negative | Positive | 343.62 Ω | Blue, purple, and red colored “coliform” | Green metallic colored coliform 75–80 cfu/100 ml |
| Water from wet market surroundings | Negative Rod | Positive | Negative | Positive | 302.38 Ω | Blue and purple colored “coliform” (TMTC) | Green metallic colored coliform >80 cfu/100 ml |
| Water from café surroundings | Negative Rod | Positive | Negative | Positive | 369.85 Ω | Blue, purple, and red colored “coliform” | Green metallic colored coliform 60–70 cfu/100 ml |
| DNA Immobilization Matrix | Virus/Bacteria | Linear Range (M) | Sensitivity (Ω/log M) | LOD (M) | R2 | Reference |
|---|---|---|---|---|---|---|
| Gold nanoparticles and hollow silica particles | E. coli | 1 × 10−16–1 × 10−11 | 10.994 | 1.95 × 10−21 | 0.9821 | This study |
| Graphene | E. coli | 1 × 10−14–1 × 10−10 | 2238.6 | 0.7 × 10−15 | 0.9938 | [12] |
| Nanoporous alumina membrane | Dengue | 1 × 10−12–1 × 10−6 | 31.75 | 2.7 × 10−12 | 0.96 | [10] |
| Gold nanoparticles | Chitin enzyme gene | 1.52 × 10−10–4.05 × 10−8 | nA | 1.0 × 10−10 | 0.9956 | [51] |
| Gold nanoparticles and dual-layer, two-dimensional 3-mercaptopropyltrimetoxilane | oligonucleotide | 1 × 10−6–1 × 10−8 | nA | 5 × 10−9 | 0.9962 | [16] |
© 2020 by the authors. Licensee MDPI, Basel, Switzerland. This article is an open access article distributed under the terms and conditions of the Creative Commons Attribution (CC BY) license (http://creativecommons.org/licenses/by/4.0/).
Share and Cite
Yuhana Ariffin, E.; Heng, L.Y.; Tan, L.L.; Abd Karim, N.H.; Hasbullah, S.A. A Highly Sensitive Impedimetric DNA Biosensor Based on Hollow Silica Microspheres for Label-Free Determination of E. coli. Sensors 2020, 20, 1279. https://doi.org/10.3390/s20051279
Yuhana Ariffin E, Heng LY, Tan LL, Abd Karim NH, Hasbullah SA. A Highly Sensitive Impedimetric DNA Biosensor Based on Hollow Silica Microspheres for Label-Free Determination of E. coli. Sensors. 2020; 20(5):1279. https://doi.org/10.3390/s20051279
Chicago/Turabian StyleYuhana Ariffin, Eda, Lee Yook Heng, Ling Ling Tan, Nurul Huda Abd Karim, and Siti Aishah Hasbullah. 2020. "A Highly Sensitive Impedimetric DNA Biosensor Based on Hollow Silica Microspheres for Label-Free Determination of E. coli" Sensors 20, no. 5: 1279. https://doi.org/10.3390/s20051279
APA StyleYuhana Ariffin, E., Heng, L. Y., Tan, L. L., Abd Karim, N. H., & Hasbullah, S. A. (2020). A Highly Sensitive Impedimetric DNA Biosensor Based on Hollow Silica Microspheres for Label-Free Determination of E. coli. Sensors, 20(5), 1279. https://doi.org/10.3390/s20051279
