FW-PSO Algorithm to Enhance the Invulnerability of Industrial Wireless Sensor Networks Topology
Abstract
:1. Introduction
2. Scale-Free Network and the Cascading Failure Model
2.1. Scale-Free Network
2.2. Establishment of Cascading Failure Model
3. The Process of Optimizing the Scale-Free Network Based on the Fireworks and Particle Swarm Optimization (FW-PSO) Algorithm
3.1. Overview of PSO and Fireworks Algorithms
3.2. Scale-Free Topology Optimization Model of Industrial Wireless Sensor Network (WSN) and Optimization Solution Process
| Algorithm 1. The pseudo code of the solving process of the FW-PSO algorithm |
|
4. The Simulation Experiments and Analysis
4.1. Experimental Simulation of Optimizing Network Topology
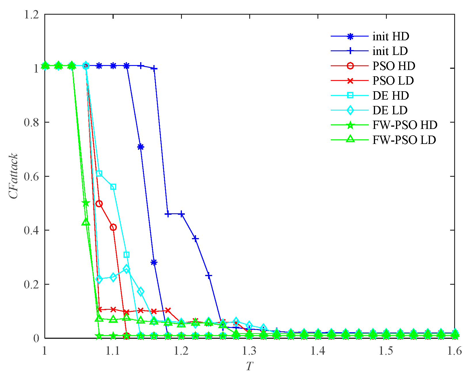
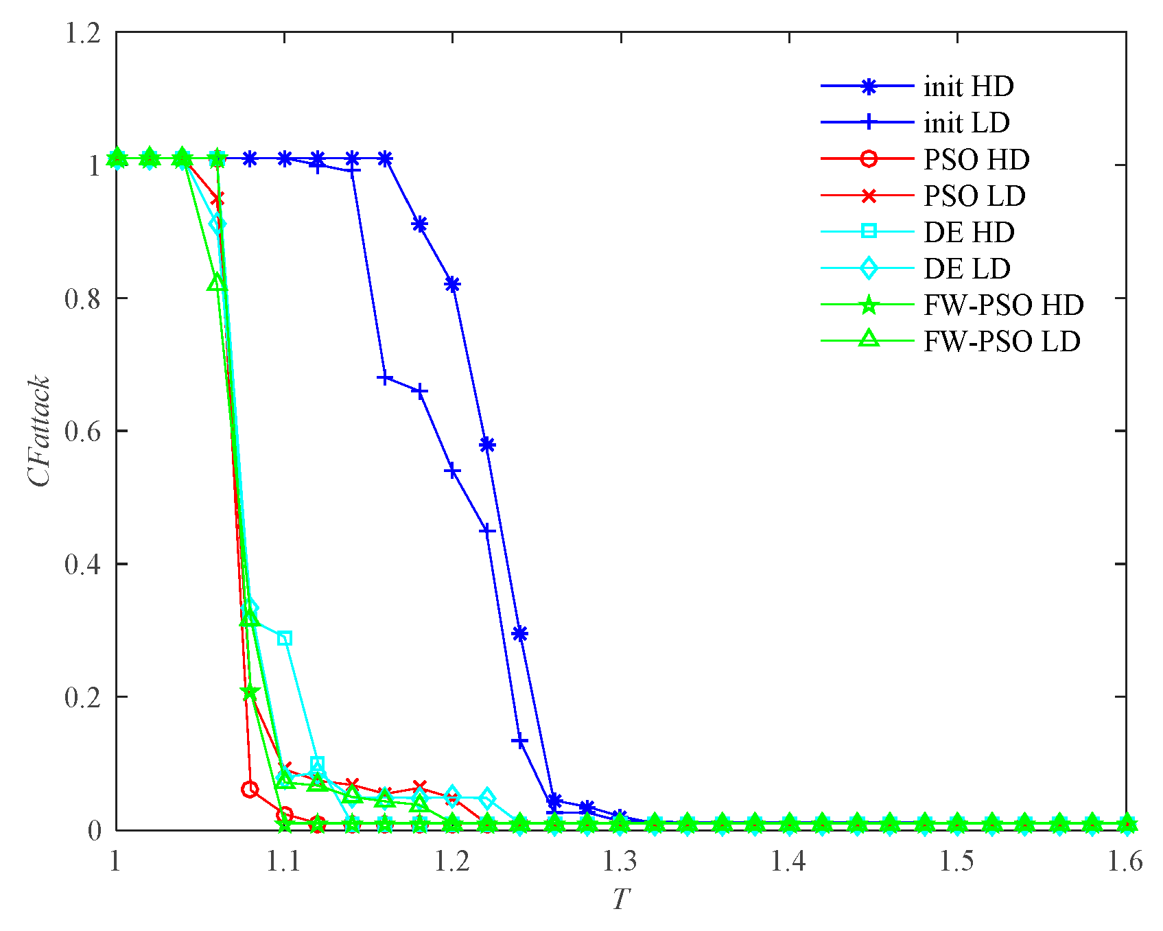
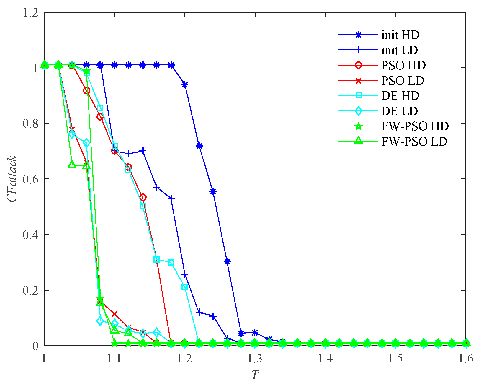
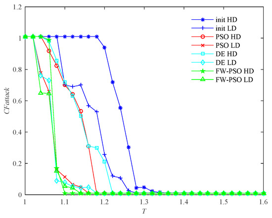
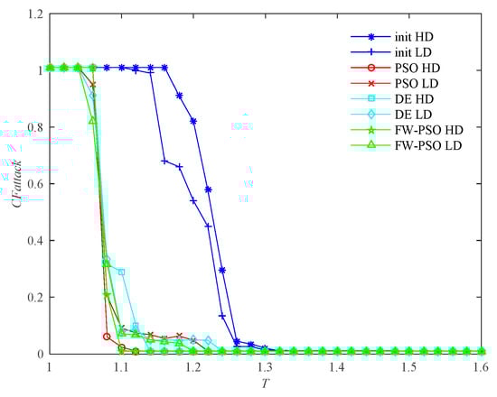
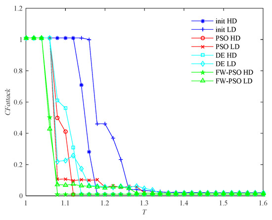
4.2. Invulnerability Analysis
5. Conclusions
Author Contributions
Funding
Conflicts of Interest
References
- Du, Y.W.; Wang, Z.M.; Gong, J.H.; Xu, N.; Hu, X.H. Cross-Layer Optimized Energy-Balanced Topology Control Algorithm for WSNs. J. Sens. 2019, 1–11. [Google Scholar] [CrossRef]
- Zhang, Y.; Gao, L.J. Sensor-Networked Underwater Target Tracking Based on Grubbs Criterion and Improved Particle Filter Algorithm. IEEE Access. 2019, 7, 142894–142906. [Google Scholar] [CrossRef]
- Zhang, B.H.; Wang, Y.M.; Zhang, J.J.; Xu, J. Real-Time Scheduling of Data Flows with Deadlines for Industrial Wireless Sensor Networks. IEICE Trans. Inf. Syst. 2019, E102B, 2218–2225. [Google Scholar] [CrossRef]
- Yue, Y.G.; Li, J.Q.; Fan, H.H.; Qin, Q. An efficient reliability evaluation method for industrial wireless sensor networks. J. Sout. Univ. 2016, 32, 195–200. [Google Scholar] [CrossRef]
- Zhang, Y.; Zhang, Z.M.; Zhang, B. A Novel Hybrid Optimization Scheme on Connectivity Restoration Processes for Large Scale Industrial Wireless Sensor and Actuator Networks. Processes 2019, 7, 939. [Google Scholar] [CrossRef] [Green Version]
- Fu, X.; Fortino, G.; Li, W.; Pace, P.; Yang, Y. WSNs-assisted opportunistic network for low-latency message forwarding in sparse settings(Article). Future Gener. Comp. Syst. 2019, 91, 223–237. [Google Scholar] [CrossRef]
- Li, Q.H.; Zhang, N.; Cheffena, M.; Shen, X.M. Channel-Based Optimal Back-Off Delay Control in Delay-Constrained Industrial WSNs. IEEE Trans. Wirel. Commun. 2020, 19, 696–711. [Google Scholar] [CrossRef]
- Fu, X.W.; Fortino, G.; Pace, P.; Aloi, G.; Li, W.F. Environment-fusion multipath routing protocol for wireless sensor networks. Inform. Fusion 2020, 53, 4–19. [Google Scholar] [CrossRef]
- Chen, Q.; Zhang, X.J.; Lim, W.L.; Kwok, Y.S.; Sun, S.M. High Reliability, Low Latency and Cost Effective Network Planning for Industrial Wireless Mesh Networks. IEEE ACM Trans. Netw. 2019, 27, 2354–2362. [Google Scholar] [CrossRef]
- Lin, C.; Wu, G.; Yu, C.W.; Yao, L. Maximizing destructiveness of node capture attack in wireless sensor networks. J. Supercomput. 2015, 71, 3181–3212. [Google Scholar] [CrossRef]
- Zhang, X.; Moore, C.; Newman, M.E.J. Random graph models for dynamic networks. Eur. Phys. J. B 2017, 90, 200–215. [Google Scholar] [CrossRef]
- Meng, L.; Daqing, L.; Pengju, Q.; Chaoran, L.; Huijuan, W.; Feilong, W. Epidemics in interconnected small-world networks. PLoS ONE 2015, 10, 1–9. [Google Scholar] [CrossRef]
- Alves, C.; Ribeiro, R.; Sanchis, R. Large communities in a scale-free network. J. Stat. Phys. 2017, 166, 137–149. [Google Scholar] [CrossRef] [Green Version]
- Liu, J.G.; Wang, Z.T.; Dang, Y.Z. Optimization of robustness of scale-free network to random and targeted attacks. Mod. Phys. Lett. B 2008, 19, 785–792. [Google Scholar] [CrossRef] [Green Version]
- Qiu, T.; Zhao, A.Y.; Xia, F.; Si, W.S.; Wu, D.O. ROSE: Robustness Strategy for Scale-Free Wireless Sensor Networks. IEEE ACM T Netw. 2017, 25, 2944–2959. [Google Scholar] [CrossRef]
- Motter, A.E.; Lai, Y.C. Cascade-based attacks on complex networks. Phys. Rev. E 2002, 66, 065102. [Google Scholar] [CrossRef] [Green Version]
- Souza, R.M.; Brummitt, C.D. Modeling Interdependent Networks as Random Graphs: Connectivity and Systemic Risk. In Networks of Networks: The Last Frontier of Complexity, 2nd ed.; Gregorio, D., Antonio, S., Eds.; Springer: Cham, Switzerland, 2014; Volume 7, pp. 73–94. [Google Scholar]
- Chen, S.M.; Pang, S.P. An LCOR model for suppressing cascading failure in weighted complex networks. Chin. Phys. B 2013, 22, 626–631. [Google Scholar] [CrossRef]
- Cui, W.Y.; Meng, X.R.; Kang, Q.Y. Optimization of cascading invulnerability on weighted complex networks based on composite edge weight model. J. Syst. Eng. Electron. 2017, 39, 355–361. [Google Scholar] [CrossRef]
- Miguel, M.S.; Johnson, J.H.; Kertesz, J.; Kaski, K.; Díaz-Guilera, A.; Mackay, R.S. Challenges in complex systems science. Eur. Phys. J. Spec. Top. 2012, 214, 245–271. [Google Scholar] [CrossRef]
- Wang, J.W.; Rong, L.L. A model for cascading failures in scale-free networks with a breakdown probability. Physica A 2009, 388, 1289–1298. [Google Scholar] [CrossRef]
- Ren, W.; Wu, J.; Zhang, X.; Lai, R.; Chen, L. A stochastic model of cascading failure dynamics in communication networks. IEEE Trans. Circuits Syst. II Express Briefs 2018, 65, 632–636. [Google Scholar] [CrossRef]
- Yin, R.R.; Liu, B.; Liu, H.R.; Li, Y.Q. Research on invulnerability of the random scale-free network against cascading failure. Physica A 2016, 444, 458–465. [Google Scholar] [CrossRef]
- Li, L.; Zheng, Q.H.; Guan, X.H. A topological reconfiguration method for enhancing networks survivability with limited resources. Acta Phys. Sin-Ch Ed. 2014, 63, 1–11. [Google Scholar] [CrossRef]
- Hu, S.H.; Li, G.H. Fault-Tolerant Clustering Topology Evolution Mechanism of Wireless Sensor Networks. IEEE Access. 2018, 6, 28085–28096. [Google Scholar] [CrossRef]
- Qiu, T.; Liu, J.; Si, W.; Wu, D.O. Robustness Optimization Scheme with Multi-Population Co-Evolution for Scale-Free Wireless Sensor Networks(Article). IEEE ACM Trans. Netw. 2019, 27, 1028–1042. [Google Scholar] [CrossRef]
- Fu, X.W.; Yang, Y.S.; Postolache, O. Invulnerability of Clustering Wireless Sensor Networks Against Cascading Failures. IEEE Syst. J. 2019, 13, 1431–1442. [Google Scholar] [CrossRef]
- Peng, X.; Yao, H.; Du, J.; Wang, Z.; Ding, C. Invulnerability of scale-free network against critical node failures based on a renewed cascading failure model. Physica A 2015, 421, 69–77. [Google Scholar] [CrossRef]
- Fan, W.L.; Liu, Z.G.; Hu, P.; Mei, S.W. Cascading failure model in power grids using the complex network theory. IET Gener. Trans. Dis. 2016, 10, 3940–3949. [Google Scholar] [CrossRef]
- Zhao, L.; Park, K.; Lai, Y.C.; Ye, N. Tolerance of scale-free networks against attack-induced cascades. Phys. Rev. E 2005, 72, 025104. [Google Scholar] [CrossRef] [Green Version]
- Min, Z.; Jie, Y. Simulation and optimization of invulnerability based on collaborative network attack. Comput. Sim. 2017, 34, 320–323. [Google Scholar] [CrossRef]
- Sharma, S.; Sur, C.; Shukla, A.; Tiwari, R. Multi-robot Area Exploration Using Particle Swarm Optimization with the Help of CBDF-based Robot Scattering. Comput. Vis. Robot. 2015, 332, 113–123. [Google Scholar] [CrossRef]
- Yang, B.; Zhang, Q.L. Parallelizing a modified particle swarm optimizer (pso). Adv. Mater. Res. 2010, 163–167, 2404–2409. [Google Scholar] [CrossRef]
- Niknam, T.; Mojarrad, H.D.; Nayeripour, M. A new fuzzy adaptive particle swarm optimization for non-smooth economic dispatch. Energy 2010, 35, 1764–1778. [Google Scholar] [CrossRef]
- Zhang, B.; Zheng, Y.J.; Zhang, M.X.; Chen, S. Fireworks Algorithm with Enhanced Fireworks Interaction. IEEE/ACM Trans. Comput. Biol. Bioinform. 2017, 14, 42–55. [Google Scholar] [CrossRef]
- Estrada, E.; Hatano, N.; Benzi, M. The physics of communicability in complex networks. Phys. Rep. 2012, 514, 89–119. [Google Scholar] [CrossRef] [Green Version]
- Wu, J.; Tan, S.Y.; Tan, Y.J.; Deng, H.Z. Analysis of invulnerability in complex networks based on natural connectivity. Complex. Syst. Complex. Sci. 2014, 11, 77–86. [Google Scholar] [CrossRef]
- Zhang, X.; Godsil, C. Connectivity and minimal distance spectral radius of graphs. Linear Multilinear A 2011, 59, 745–754. [Google Scholar] [CrossRef] [Green Version]
















| Items | Value |
|---|---|
| Node distribution area | 100 × 100 m2 |
| Number of network nodes (popsize) | 100 |
| Number of network edges (W) | 191 |
| Acceleration factor (, ) | 1.49445 |
| Minimum inertia weight () | 0.4 |
| Maximum inertia weight () | 0.9 |
| Explosion number adjustment factor A | 5 |
| Explosion number adjustment factor M | 6 |
| Explosion number limit factor a | 0.3 |
| Explosion number limit factor b | 0.6 |
| Total number of iterations | 100 |
| PSO iterations maxgen | 300 |
© 2020 by the authors. Licensee MDPI, Basel, Switzerland. This article is an open access article distributed under the terms and conditions of the Creative Commons Attribution (CC BY) license (http://creativecommons.org/licenses/by/4.0/).
Share and Cite
Zhang, Y.; Yang, G.; Zhang, B. FW-PSO Algorithm to Enhance the Invulnerability of Industrial Wireless Sensor Networks Topology. Sensors 2020, 20, 1114. https://doi.org/10.3390/s20041114
Zhang Y, Yang G, Zhang B. FW-PSO Algorithm to Enhance the Invulnerability of Industrial Wireless Sensor Networks Topology. Sensors. 2020; 20(4):1114. https://doi.org/10.3390/s20041114
Chicago/Turabian StyleZhang, Ying, Guangyuan Yang, and Bin Zhang. 2020. "FW-PSO Algorithm to Enhance the Invulnerability of Industrial Wireless Sensor Networks Topology" Sensors 20, no. 4: 1114. https://doi.org/10.3390/s20041114
APA StyleZhang, Y., Yang, G., & Zhang, B. (2020). FW-PSO Algorithm to Enhance the Invulnerability of Industrial Wireless Sensor Networks Topology. Sensors, 20(4), 1114. https://doi.org/10.3390/s20041114

