Design of Substrate-Integrated Waveguide Loading Multiple Complementary Open Resonant Rings (CSRRs) for Dielectric Constant Measurement
Abstract
1. Introduction
2. Theoretical Analysis
3. Sensor Design
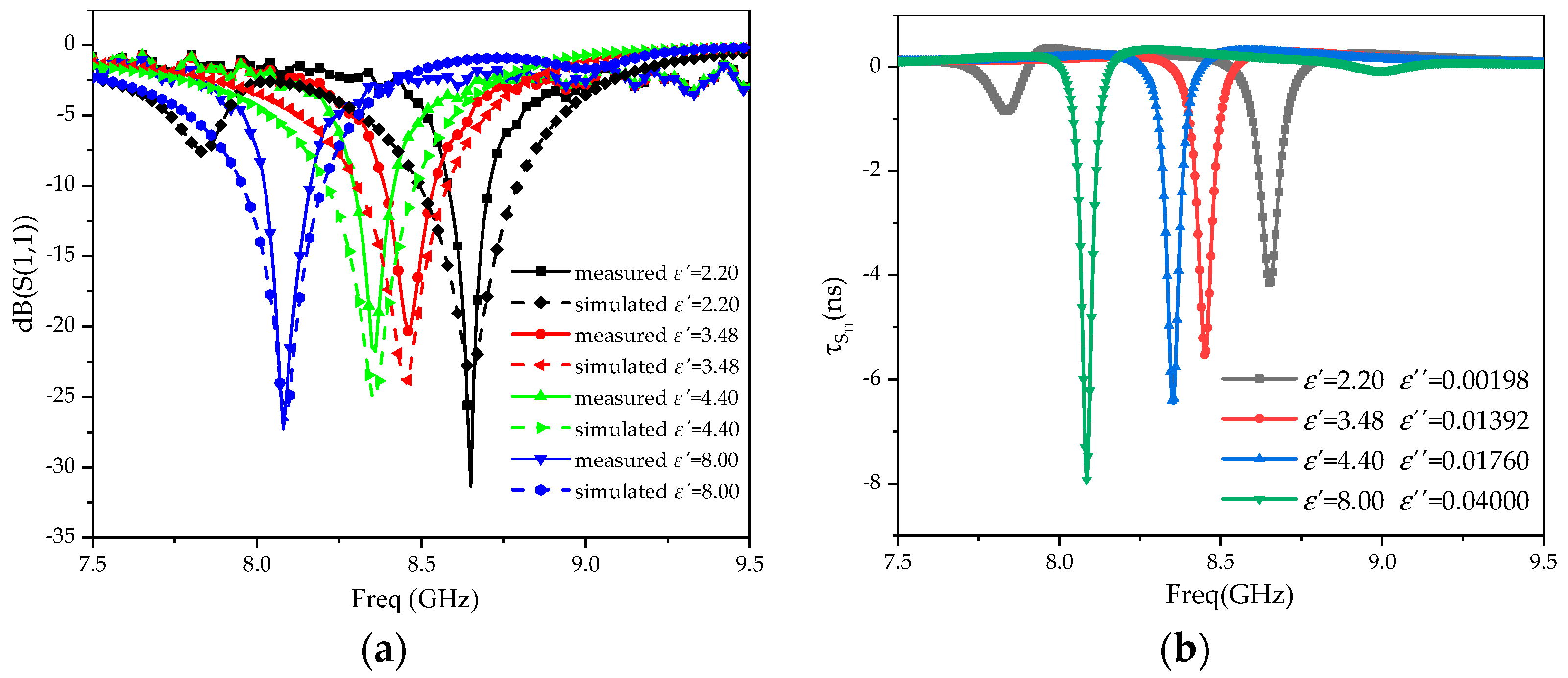
4. Experiment and Discussion
5. Conclusions
Author Contributions
Funding
Conflicts of Interest
References
- Zhou, H.; Hu, D.; Yang, C.; Chen, J.; Chen, M.; Chen, Y.; Yang, Y.; Mu, X. Multi-Band Sensing for Dielectric Property of Chemicals Using Metamaterial Integrated Microfluidic Sensor. Sci. Rep. 2018, 8, 14801. [Google Scholar] [CrossRef]
- Salim, A.; Memon, M.U.; Lim, S. Simultaneous Detection of Two Chemicals Using a TE20-Mode Substrate-Integrated Waveguide Resonator. Sensors 2018, 18, 811. [Google Scholar] [CrossRef]
- Singh, R.; Lee, H.J.; Singh, A.K.; Kim, D.P. Recent advances for serial processes of hazardous chemicals in fully integrated microfluidic systems. Korean J. Chem. Eng. 2016, 33, 2253–2267. [Google Scholar] [CrossRef]
- Amir, E.; James, S.; Kamran, G. Differential Sensors Using Microstrip Lines Loaded with Two Split Ring Resonators. IEEE Sens. J. 2018, 18, 5786–5793. [Google Scholar]
- Boybay, M.S.; Ramahi, O.M. Material Characterization Using Complementary Split-Ring Resonators. IEEE Trans. Instrum. Meas. 2012, 61, 3039–3046. [Google Scholar] [CrossRef]
- Yang, C.L.; Lee, C.S.; Chen, K.W.; Chen, K.Z. Noncontact measurement of complex permittivity and thickness by using planar resonators. IEEE Trans. Microw. Theory Tech. 2016, 64, 247–257. [Google Scholar] [CrossRef]
- Reyes-Vera, E.; Acevedo-Osorio, G.; Arias-Correa, M.; Senior, D.E. A Submersible Printed Sensor Based on a Monopole-Coupled Split Ring Resonator for Permittivity Characterization. Sensors 2019, 19, 1936. [Google Scholar] [CrossRef]
- Vanzura, E.J.; Baker-Jarvis, J.R.; Grosvenor, J.H.; Janezic, M.D. Intercomparison of Permittivity Measurements Using the Transmission/Refleflection Method in 7-mm Coaxial Transmission Lines. IEEE Trans. Microw. Theory Tech. 1994, 42, 2063–2070. [Google Scholar] [CrossRef]
- Panda, S.; Tiwari, N.K.; Akhtar, M.J. Neural Network based System for RF Testing of Thin Samples. In Proceedings of the 2015 IEEE MTT-S International Microwave and RF Conference (IMaRC 2015), Hyderabad, India, 10–12 December 2015. [Google Scholar]
- Varadan, V.V.; Hollinger, R.D.; Ghodgaonkar, D.K.; Varadan, V.K. Free-space, broadband measurements of high-temperature, complex dielectric properties at microwave frequencies. IEEE Trans. Instrum. Meas. 1991, 40, 842–846. [Google Scholar] [CrossRef]
- Lee, C.S.; Yang, C.L. Complementary split-ring resonators for measuring dielectric constants and loss tangents. IEEE Microw. Wireless Compon. Lett. 2014, 24, 563–565. [Google Scholar] [CrossRef]
- Vélez, P.; Muñoz-Enano, J.; Gil, M.; Mata-Contreras, J.; Martín, F. Differential microfluidic sensors based on dumbbell-shaped defect ground structures in microstrip technology: Analysis, optimization, and applications. Sensors 2019, 19, 3189. [Google Scholar] [CrossRef] [PubMed]
- Vélez, P.; Muñoz-Enano, J.; Grenier, K.; Mata-Contreras, J.; Dubuc, D.; Martín, F. Split ring resonator (SRR) based microwave fluidic sensor for electrolyte concentration measurements. IEEE Sensors J. 2019, 19, 2562–2569. [Google Scholar] [CrossRef]
- Vélez, P.; Su, L.; Grenier, K.; Mata-Contreras, J.; Dubuc, D.; Martín, F. Microwave microfluidic sensor based on a microstrip splitter/combiner configuration and split ring resonators (SRR) for dielectric characterization of liquids. IEEE Sensors J. 2017, 17, 6589–6598. [Google Scholar] [CrossRef]
- Abdolrazzaghi, M.; Daneshmand, M.; Iyer, A.K. Strongly Enhanced Sensitivity in Planar Microwave Sensors Based on Metamaterial Coupling. IEEE Trans. Microw. Theory Tech. 2018, 66, 1843–1855. [Google Scholar] [CrossRef]
- Abdolrazzaghi, M.; Khan, S.; Daneshmand, M. A Dual-Mode Split-Ring Resonator to Eliminate Relative Humidity Impact. IEEE Microw. Wireless Compon. Lett. 2018, 28, 939–941. [Google Scholar] [CrossRef]
- Jafari, F.S.; Ahmadi-Shokouh, J. Industrial liquid characterization enhancement using microwave sensor equipped with electronic band gap structure. AEU-Int. J. Electron. Common 2017, 82, 152–159. [Google Scholar] [CrossRef]
- Xu, K.; Liu, F.; Peng, L.; Zhao, W.-S.; Ran, L.; Wang, G. Multi-mode and Wideband Printed Loop Antenna Based on Degraded Split-Ring Resonators. IEEE Access 2017, 5, 17124315. [Google Scholar]
- Lobato-Morales, H.; Corona-Chávez, A.; Murthy, D.V.B.; Olvera-Cervantes, J.L. Complex permittivity measurements using cavity perturbation technique with substrate integrated waveguide cavities. Rev. Sci. Instrum. 2010, 81, 064704. [Google Scholar] [CrossRef]
- Alahnomi, R.A.; Zakaria, Z.; Ruslan, E.; Ab Rashid, S.R.; Mohd Bahar, A.A. High-Q Sensor Based on Symmetrical Split Ring Resonator With Spurlines for Solids Material Detection. IEEE Sens. J. 2017, 17, 2766–2775. [Google Scholar] [CrossRef]
- Jafari, F.S.; Ahmadi-Shokouh, J. Reconfigurable microwave SIW sensor based on PBG structure for high accuracy permittivity characterization of industrial liquids. Sens. Actuators A: Phys. 2018, 283, 386–395. [Google Scholar] [CrossRef]
- Jha, A.K.; Akhtar, M.J. SIW cavity based RF sensor for dielectric characterization of liquids. In Proceedings of the International Conference On Antenna Measurements & Applications (CAMA 2014), Antibes, France, 16–19 November 2014. [Google Scholar]
- Lobato-Morales, H.; Corona-Chávez, A.; Olvera-Cervantes, J.L.; Chavez-Perez, R.A.; Medina-Monroy, J.L. Wireless sensing of complex dielectric permittivity of liquids based on the RFID. IEEE Trans. Microw. Theory Tech. 2014, 62, 2160–2167. [Google Scholar] [CrossRef]
- Yun, T.; Lim, S. High-Q and miniaturized complementary split ring resonator-loaded substrate integrated waveguide microwave sensor for crack detection in metallic materials. Sens. Actuators A: Phys. 2014, 214, 25–30. [Google Scholar] [CrossRef]
- Salim, A.; Lim, S. Complementary Split-Ring Resonator-Loaded Microfluidic Ethanol Chemical Sensor. Sensors 2016, 16, 1802. [Google Scholar] [CrossRef] [PubMed]
- Su, L.; Mata-Contreras, J.; Vélez, P.; Martín, F. Splitter/combiner microstrip sections loaded with pairs of complementary split ring resonators (CSRRs): Modeling and optimization for differential sensing applications. IEEE Trans. Microw. Theory Techn. 2016, 64, 4362–4370. [Google Scholar] [CrossRef]
- Su, L.; Mata-Contreras, J.; Vélez, P.; Fernández-Prieto, A.; Martín, F. Analytical method to estimate the complex permittivity of oil Samples. Sensors 2018, 18, 984. [Google Scholar] [CrossRef]
- Ebrahimi, A.; Scott, J.; Ghorbani, K. Transmission Lines Terminated With LC Resonators for Differential Permittivity Sensing. IEEE Microw. Wireless Compon. Lett. 2018, 28, 1149–1151. [Google Scholar] [CrossRef]
- Ansari, M.A.H.; Jha, A.K.; Akhtar, M.J. Design and Application of the CSRR-Based Planar Sensor for Noninvasive Measurement of Complex Permittivity. IEEE Sens. J. 2015, 15, 7181–7189. [Google Scholar] [CrossRef]
- Peng, L.; Chen, P.; Wu, A.; Wang, G. Efficient Radiation by Electrically Small Antennas made of Coupled Split-ring Resonators. Sci. Rep. 2016, 6, 33501. [Google Scholar] [CrossRef]
- Marques, R.; Medina, F.; Rafii-El-Idrissi, R. Role of bianisotropy in negative permeability and left-handed metamaterials. Phys. Rev. B. 2002, 65, 144440. [Google Scholar] [CrossRef]
- Marques, R.; Mesa, F.; Martel, J.; Medina, F. Comparative analysis of edge- and broadside-coupled split ring resonators for metamaterial design-Theory and experiments. IEEE Trans. Antennas Propag. 2003, 51, 2572–2581. [Google Scholar] [CrossRef]
- He, S.; Simovski, C.R. Frequency range and explicit expressions for negative permittivity and permeability for an isotropic medium formed by a lattice of perfectly conducting omega particles. Phys. Lett. A 2003, 311, 254–263. [Google Scholar]
- Bose, S.; Vinoy, K.J. Group delay engineering using cascaded all pass filters for wideband chirp waveform generation. In Proceedings of the IEEE International Conference on Electronics, Bangalore, India, 17–19 January 2013. [Google Scholar]
- Szentirmai, G. Electronic filter design handbook. Proc. IEEE 1982, 70, 317. [Google Scholar] [CrossRef]

















| Lumped Parameters | CSRR |
|---|---|
| L (pH) | 12.86 |
| C (PF) | 60.99 |
| Lc (pH) | 128.75 |
| Cc (PF) | 2.66 |
| R (Ω) | 490.03 |
| The MUT | ε′ | ε″ | ||||
|---|---|---|---|---|---|---|
| Standard [12] | Measured | Relative Error | Standard | Measured | Error | |
| Rogers 5880 | 2.20 | 2.19 | 0.45% | 0.00198 | 0.0027896 | 0.00081 |
| Rogers 4350 | 3.48 | 3.53 | 1.44% | 0.01392 | 0.005156 | 0.00876 |
| FR4 | 4.40 | 4.34 | 1.36% | 0.0176 | 0.027454 | 0.00985 |
| PVC | 8.00 | 8.13 | 1.63% | 0.04 | 0.049995 | 0.00999 |
© 2020 by the authors. Licensee MDPI, Basel, Switzerland. This article is an open access article distributed under the terms and conditions of the Creative Commons Attribution (CC BY) license (http://creativecommons.org/licenses/by/4.0/).
Share and Cite
Hao, H.; Wang, D.; Wang, Z. Design of Substrate-Integrated Waveguide Loading Multiple Complementary Open Resonant Rings (CSRRs) for Dielectric Constant Measurement. Sensors 2020, 20, 857. https://doi.org/10.3390/s20030857
Hao H, Wang D, Wang Z. Design of Substrate-Integrated Waveguide Loading Multiple Complementary Open Resonant Rings (CSRRs) for Dielectric Constant Measurement. Sensors. 2020; 20(3):857. https://doi.org/10.3390/s20030857
Chicago/Turabian StyleHao, Honggang, Dexu Wang, and Zhu Wang. 2020. "Design of Substrate-Integrated Waveguide Loading Multiple Complementary Open Resonant Rings (CSRRs) for Dielectric Constant Measurement" Sensors 20, no. 3: 857. https://doi.org/10.3390/s20030857
APA StyleHao, H., Wang, D., & Wang, Z. (2020). Design of Substrate-Integrated Waveguide Loading Multiple Complementary Open Resonant Rings (CSRRs) for Dielectric Constant Measurement. Sensors, 20(3), 857. https://doi.org/10.3390/s20030857
