Highly Sensitive, Calibration-Free WM-DAS Method for Recovering Absorbance—Part I: Theoretical Analysis
Abstract
1. Introduction
- Present the theoretical derivation of the proposed WM-DAS method. First, the non-linear laser frequency response with the high-frequency sinewave modulation is optimized by considering the 3ω components. Then, by introducing the intermediate variable x, the relationship between the light intensity and frequency can be established through the FFT analysis and the extraction of the characteristic frequencies of the light intensity.
- Develop the simultaneous fitting algorithm for the recovery of absorbance. By establishing the relationship between the baseline and variable x based on the sinusoidal current scan, a fitting algorithm is developed to simultaneously infer the baseline and the more important absorbance.
- Summarize the procedure of the proposed WM-DAS method.
- Experimentally validate the main properties of the proposed WM-DAS method. The ability of noise rejection, temporal resolution, and the performance with small scan indexes are checked in a high-temperature tube furnace taking the CO transition at 4300.6999 cm−1 as an example.
- Demonstrate the real experimental applications of the proposed WM-DAS method. Both the high-accuracy measurement of the spectroscopic parameters and the diagnostic of a flat flame on McKenna burner are presented. The collisional broadening and Dicke narrowing coefficient and their corresponding temperature exponents of the CO transition are measured. Further, the CO concentration and temperature of a standard flat flame at different height and stoichiometric ratios are discussed.
2. Materials and Methods
2.1. Relationship between the Laser Wavelength and Variable x
2.2. Relationship between the Laser Intensity and Variable x
2.3. Relationship between Laser Intensity and Wavelength
3. Recovery of the Absorbance
3.1. Description of the Baseline Based on a Sinusoidal Modulation
3.2. Simultaneous Recovery of Both Absorbance and Baseline
4. Overview of the WM-DAS Method
5. Conclusions
- (1).
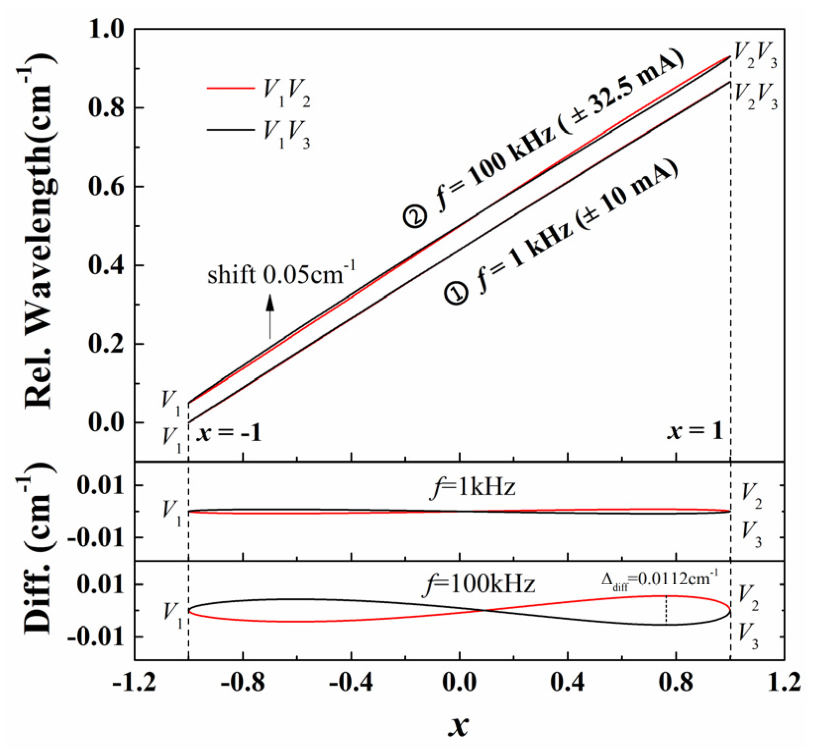
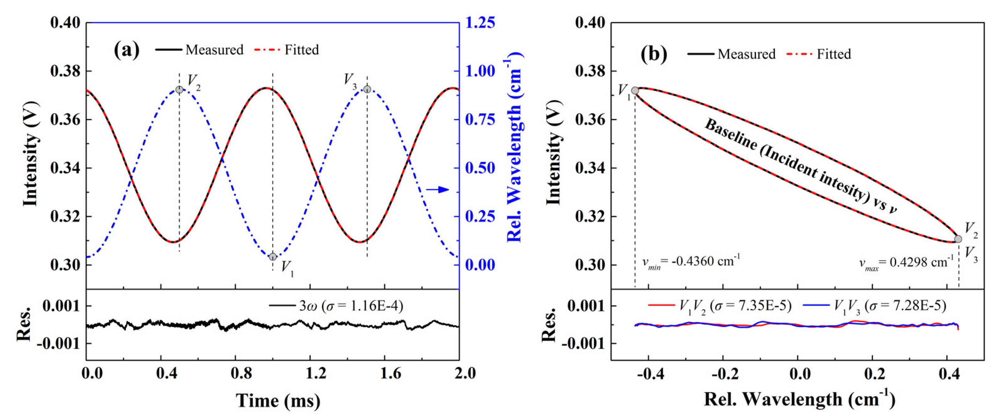
- To improve the accuracy of laser frequency and intensity descriptions, nonlinear components up to 3ω are considered in the description of the FM and IM response. With a scan rate of 1 kHz and a scan range of 0.866 cm−1, the relative best-fit residuals of FM and IM were improved to the order of 1.0 × 10−4.
- (2).
- To enhance the SNR of the absorbance measurement, the characteristic spectra from FFT analysis (kf, k = 0, 1, 2, …) are extracted and used to recover the transmitted intensity. Thus, the interferences at other frequencies (electromagnetic, vibration, etc.) as well as white noise are filtered out effectively.
- (3).
- To eliminate the uncertainty of the baseline determination, a simultaneous fitting strategy for both baseline and absorbance are performed. Since the “non-absorption” zone is not required, the laser scan range can be reduced to a great extent, which helps a lot when using high scan rate (narrow wavelength scan range) or under high-pressure condition (large spectral line collisional broadening).
Author Contributions
Funding
Conflicts of Interest
References
- Hanson, R.K.; Davidson, D.F. Recent advances in laser absorption and shock tube methods for studies of combustion chemistry. Prog. Energ. Combust. 2014, 44, 103–114. [Google Scholar] [CrossRef]
- Goldenstein, C.S.; Spearrin, R.M.; Jeffries, J.B.; Hanson, R.K. Infrared laser-absorption sensing for combustion gases. Prog. Energ. Combust. 2017, 60, 132–176. [Google Scholar] [CrossRef]
- Allen, M.G. Diode laser absorption sensors for gas-dynamic and combustion flows. Meas. Sci. Technol. 1998, 9, 545–562. [Google Scholar] [CrossRef] [PubMed]
- Deng, H.; Sun, J.; Yu, B.L.; Li, J.S. Near infrared diode laser absorption spectroscopy of acetylene between 6523 and 6587 cm−1. J. Mol. Spectrosc. 2015, 314, 1–5. [Google Scholar] [CrossRef]
- Cai, T.D.; Wang, G.S.; Cao, Z.S.; Zhang, W.J.; Gao, X.M. Sensor for headspace pressure and H2O concentration measurements in closed vials by tunable diode laser absorption spectroscopy. Opt. Laser Eng. 2014, 58, 48–53. [Google Scholar] [CrossRef]
- Zheng, S.; Liang, W.K.; Chu, H.Q.; Zhou, H.C. Effect of radiation reabsorption of C1-C6 hydrocarbon flames at normal and elevated pressures. Fuel 2020, 266, 117061. [Google Scholar] [CrossRef]
- Tabib-Azar, M.; Sutapun, B.; Petrick, R.; Kazemi, A. Highly sensitive hydrogen sensors using palladium coated fiber optics with exposed cores and evanescent field interactions. Sensor Actuat. B-Chem. 1999, 56, 158–163. [Google Scholar] [CrossRef]
- Reuter, S.; Sousa, J.S.; Stancu, G.D.; Hubertus Van Helden, J. Review on VUV to MIR absorption spectroscopy of atmospheric pressure plasma jets. Plasma Sources Sci. Technol. 2015, 24, 054001. [Google Scholar] [CrossRef]
- Hanson, R.K. Applications of quantitative laser sensors to kinetics, propulsion and practical energy systems. Proc. Combust. Inst. 2011, 33, 1–40. [Google Scholar] [CrossRef]
- Stewart, G.; Johnstone, W.; Bain, J.; Ruxton, K.; Duffin, K. Recovery of absolute gas absorption line shapes using tunable diode laser spectroscopy with wavelength modulation—Part I, theoretical analysis. J. Lightwave Technol. 2011, 29, 811–821. [Google Scholar] [CrossRef]
- Bain, J.R.P.; Johnstone, W.; Ruxton, K.; Stewart, G.; Lengden, M.; Duffin, K. Recovery of absolute gas absorption line shapes using tunable diode laser spectroscopy with wavelength modulation—Part II: Experimental investigation. J. Lightwave Technol. 2011, 29, 987–996. [Google Scholar] [CrossRef]
- Pogány, A.; Klein, A.; Ebert, V. Measurement of water vapor line strengths in the 1.4–2.7 µm range by tunable diode laser absorption spectroscopy. J. Quant. Spectrosc. Radiat. 2015, 165, 108–122. [Google Scholar] [CrossRef]
- Goldenstein, C.S.; Hanson, R.K. Diode-laser measurements of linestrength and temperature-dependent lineshape parameters for H2O transitions near 1.4 µm using Voigt, Rautian, Galatry, and speed-dependent Voigt profiles. J. Quant. Spectrosc. Radiat. 2015, 152, 127–139. [Google Scholar] [CrossRef]
- Goldenstein, C.S.; Jeffries, J.B.; Hanson, R.K. Diode laser measurements of linestrength and temperature-dependent lineshape parameters of H2O-, CO2-, and N2-perturbed H2O transitions near 2474 and 2482 nm. J. Quant. Spectrosc. Radiat. 2013, 130, 100–111. [Google Scholar] [CrossRef]
- Li, H.; Farooq, A.; Jeffries, J.B.; Hanson, R.K. Diode laser measurements of temperature-dependent collisional-narrowing and broadening parameters of Ar-perturbed H2O transitions at 1391.7 and 1397.8 nm. J. Quant. Spectrosc. Radiat. 2008, 109, 132–143. [Google Scholar] [CrossRef]
- Liu, J.T.C.; Jeffries, J.B.; Hanson, R.K. Wavelength modulation absorption spectroscopy with 2f detection using multiplexed diode lasers for rapid temperature measurements in gaseous flows. Appl. Phys. B-Lasers Opt. 2004, 78, 503–511. [Google Scholar] [CrossRef]
- Witzel, O.; Klein, A.; Meffert, C.; Wagner, S.; Kaiser, S.; Schulz, C.; Ebert, V. VCSEL-based, high-speed, in situ TDLAS for in-cylinder water vapor measurements in IC engines. Opt. Express 2013, 21, 19951–19965. [Google Scholar] [CrossRef]
- Ray, A.; Bandyopadhyay, A.; Ray, B.; Biswas, D.; Ghosh, P.N. Line-shape study of water vapor by tunable diode laser spectrometer in the 822-832 nm wavelength region. Appl. Phys. B-Lasers Opt. 2004, 79, 915–921. [Google Scholar] [CrossRef]
- Du, Y.J.; Peng, Z.M.; Ding, Y.J. High-accuracy sinewave-scanned direct absorption spectroscopy. Opt. Express 2018, 26, 29550–29560. [Google Scholar] [CrossRef]
- Hangauer, A.; Chen, J.; Strzoda, R.; Ortsiefer, M.; Amann, M. Wavelength modulation spectroscopy with a widely tunable InP-based 2.3 µm vertical-cavity surface-emitting laser. Opt. Lett. 2008, 33, 1566–1568. [Google Scholar] [CrossRef]
- Schilt, S.; Thevenaz, L.; Robert, P. Wavelength modulation spectroscopy: Combined frequency and intensity laser modulation. Appl. Opt. 2003, 42, 6728–6738. [Google Scholar] [CrossRef] [PubMed]
- Li, H.J.; Rieker, G.B.; Liu, X.; Jeffries, J.B.; Hanson, R.K. Extension of wavelength-modulation spectroscopy to large modulation depth for diode laser absorption measurements in high-pressure gases. Appl. Opt. 2006, 45, 1052–1061. [Google Scholar] [CrossRef] [PubMed]
- Du, Y.J.; Lan, L.J.; Ding, Y.J.; Peng, Z.M. Measurement of the absolute absorbance based on wavelength modulation spectroscopy. Appl. Phys. B-Lasers Opt. 2017, 123, 205. [Google Scholar] [CrossRef]
- Wainner, R.T.; Green, B.D.; Allen, M.G.; White, M.A.; Stafford-Evans, J.; Naper, R. Handheld, battery-powered near-IR TDL sensor for stand-off detection of gas and vapor plumes. Appl. Phys. B-Lasers Opt. 2002, 75, 249–254. [Google Scholar] [CrossRef]
- Du, Y.J.; Peng, Z.M.; Ding, Y.J. A high-accurate and universal method to characterize the relative wavelength response (RWR) in wavelength modulation spectroscopy (WMS). Opt. Express 2020, 28, 3482–3494. [Google Scholar] [CrossRef]
- Gustafsson, J.; Chekalin, N.; Axner, O. Improved detectability of wavelength modulation diode laser absorption spectrometry applied to window-equipped graphite furnaces by 4th and 6th harmonic detection. Spectrochim. Acta B 2003, 58, 111–122. [Google Scholar] [CrossRef]
- Peng, Z.M.; Ding, Y.J.; Che, L.; Li, X.H.; Zheng, K.J. Calibration-free wavelength modulated TDLAS under high absorbance conditions. Opt. Express 2011, 19, 23104–23110. [Google Scholar] [CrossRef]
- Goldenstein, C.S.; Strand, C.L.; Schultz, I.A.; Sun, K.; Jeffries, J.B.; Hanson, R.K. Fitting of calibration-free scanned-wavelength-modulation spectroscopy spectra for determination of gas properties and absorption lineshapes. Appl. Opt. 2014, 53, 356–367. [Google Scholar] [CrossRef]
- Sun, K.; Chao, X.; Sur, R.; Goldenstein, C.S.; Jeffries, J.B.; Hanson, R.K. Analysis of calibration-free wavelength-scanned wavelength modulation spectroscopy for practical gas sensing using tunable diode lasers. Meas. Sci. Technol. 2013, 24, 125203. [Google Scholar] [CrossRef]
- Rieker, G.B.; Jeffries, J.B.; Hanson, R.K. Calibration-free wavelength-modulation spectroscopy for measurements of gas temperature and concentration in harsh environments. Appl. Opt. 2009, 48, 5546–5560. [Google Scholar] [CrossRef]
- Kuai, S.L.; Meldrum, A. High-speed color-switching silicon LEDs. Adv. Mater. 2008, 20, 2844–3847. [Google Scholar] [CrossRef]
- McGettrick, A.J.; Duffin, K.; Johnstone, W.; Stewart, G.; Moodie, D.G. Tunable diode laser spectroscopy with wavelength modulation: A phasor decomposition method for calibration-free measurements of gas concentration and pressure. J. Lightwave Technol. 2008, 26, 432–440. [Google Scholar] [CrossRef]
- Chen, Y.X.; Xu, D.L.; Xu, K.K.; Zhang, N.; Liu, S.Y.; Zhao, J.M.; Luo, Q.; Snyman, L.W.; Swart, J.W. Optoelectronic properties analysis of silicon light-emitting diode monolithically integrated in standard CMOS IC. Chin. Phys. B 2018, 28, 107801. [Google Scholar] [CrossRef]
- Peng, Z.M.; Ding, Y.J.; Che, L.; Yang, Q.S. Odd harmonics with wavelength modulation spectroscopy for recovering gas absorbance shape. Opt. Express 2012, 20, 11976–11985. [Google Scholar] [CrossRef]
- Peng, Z.M.; Ding, Y.J.; Jia, J.W.; Lan, L.J.; Du, Y.J.; Li, Z. First harmonic with wavelength modulation spectroscopy to measure integrated absorbance under low absorption. Opt. Express 2013, 21, 23724–23735. [Google Scholar]
- Lan, L.J.; Ding, Y.J.; Peng, Z.M.; Du, Y.J.; Liu, Y.F.; Li, Z. Multi-harmonic measurements of line shape under low absorption conditions. Appl. Phys. B-Lasers Opt. 2014, 117, 543–547. [Google Scholar] [CrossRef]
- Du, Y.J.; Peng, Z.M.; Ding, Y.J. Wavelength modulation spectroscopy for recovering absolute absorbance. Opt. Express 2018, 26, 9263–9272. [Google Scholar] [CrossRef] [PubMed]
- Gordon, I.E.; Rothman, L.S.; Hill, C.; Kochanov, R.V.; Tan, Y.; Bernath, P.F.; Birk, M.; Boudon, V.; Campargue, A.; Chance, K.V.; et al. The HITRAN2016 molecular spectroscopic database. J. Quant. Spectrosc. Radiat. 2017, 203, 3–69. [Google Scholar] [CrossRef]
- VMalathy Devi DChris Benner Smith, M.A.H.; Mantz, A.W.; Sung, K.; Brown, L.R. A Predoi-Cross. Spectral line parameters including temperature dependences of self- and air-broadening in the 2←0 band of CO at 2.3 µm. J. Quant. Spectrosc. Radiat. 2012, 113, 1013–1033. [Google Scholar] [CrossRef]








© 2020 by the authors. Licensee MDPI, Basel, Switzerland. This article is an open access article distributed under the terms and conditions of the Creative Commons Attribution (CC BY) license (http://creativecommons.org/licenses/by/4.0/).
Share and Cite
Peng, Z.; Du, Y.; Ding, Y. Highly Sensitive, Calibration-Free WM-DAS Method for Recovering Absorbance—Part I: Theoretical Analysis. Sensors 2020, 20, 681. https://doi.org/10.3390/s20030681
Peng Z, Du Y, Ding Y. Highly Sensitive, Calibration-Free WM-DAS Method for Recovering Absorbance—Part I: Theoretical Analysis. Sensors. 2020; 20(3):681. https://doi.org/10.3390/s20030681
Chicago/Turabian StylePeng, Zhimin, Yanjun Du, and Yanjun Ding. 2020. "Highly Sensitive, Calibration-Free WM-DAS Method for Recovering Absorbance—Part I: Theoretical Analysis" Sensors 20, no. 3: 681. https://doi.org/10.3390/s20030681
APA StylePeng, Z., Du, Y., & Ding, Y. (2020). Highly Sensitive, Calibration-Free WM-DAS Method for Recovering Absorbance—Part I: Theoretical Analysis. Sensors, 20(3), 681. https://doi.org/10.3390/s20030681
