Infrared Temperature Measurement Sensors of Overhead Power Conductors
Abstract
1. Introduction
2. Material and Methods
2.1. Standards Implementation
- m: is the conductor mass per unit length
- c: is the conductor specific heat capacity
- : is the temperature increment
- : is the time increment
- : is the Joule heat gain
- : is the magnetic heat gain
- : is the solar heat gain
- : is the convection heat loss
- : is the radiation heat loss
2.2. Numerical Simulation
- To recreate all the electrical and environmental conditions and obtain a realistic model of the behavior of the conductor and the sphere under operating conditions.
- To validate the results of the modelled conductor temperature with values obtained from the estimation of the temperature of the conductor under different conditions according to the Standards.
- To confirm and obtain a first approximation of the cooling effect of the sphere acting as a fin.
- The alternating current and the electromagnetic field associated with the conductor.
- Heat transfer effects resulting from conduction inside the cable and the sphere, natural and forced convection with the air surrounding both solids, solar heating, and cooling radiation to the atmosphere.
2.3. Infrared System Build Up
- : The samples were introduced into a dewar with ice and waited until stabilization.
- : Laboratory controlled temperature was used .
- and : A heating wire rolled over the samples was used.
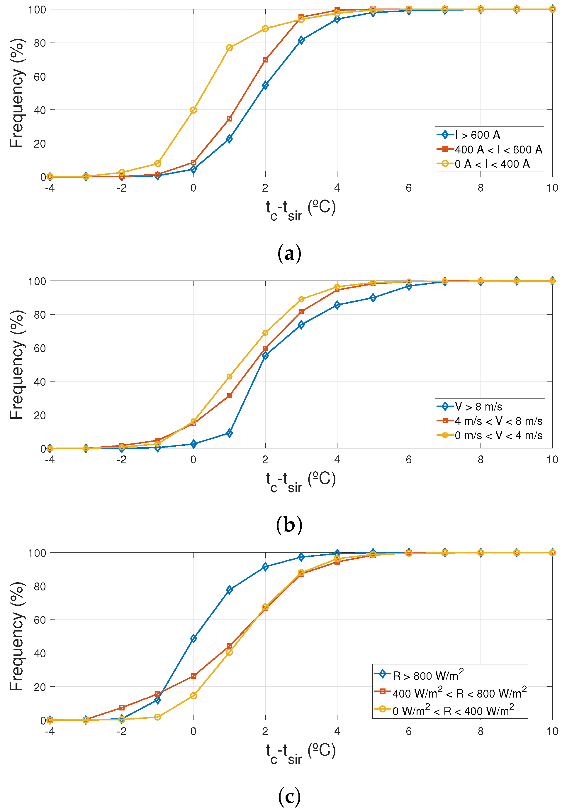
3. Results and Discussion
4. Conclusions
5. Patents
Author Contributions
Funding
Conflicts of Interest
References
- CIGRE. TB 601. Guide for Thermal Rating Calculations of Overhead Lines. In CIGRE:TB601; CIGRE: Paris, France, 2014. [Google Scholar]
- IEEE. IEEE Standard for Calculating the Current-Temperature of Bare Overhead Conductors (Revision of IEEE STD 738-1993). In IEEE Std 738-2012 Draft 10 (Revision of IEEE Std 738-2006); IEEE: New York, NY, USA, 2012; pp. 1–67. [Google Scholar]
- CIGRE. TB 324 Sag-Tension calculation methods for overheads lines. In CIGRE:TB324; CIGRE: Paris, France, 2016; Volume 31. [Google Scholar]
- Fernandez, E.; Albizu, I.; Bedialauneta, M.; Mazon, A.; Leite, P. Review of dynamic line rating systems for wind power integration. Renew. Sustain. Energy Rev. 2016, 53, 80–92. [Google Scholar] [CrossRef]
- Wydra, M.; Kisala, P. Overhead Transmission Line Sag Estimation Using a Simple Optomechanical System with Chirped Fiber Bragg Gratings. Part 1: Preliminary Measurements. Sensors 2018, 18, 309. [Google Scholar] [CrossRef]
- Kumar, P.; Singh, A.K. Optimal mechanical sag estimator for leveled span overhead transmission line conductor. Measurement 2019, 137, 691–699. [Google Scholar] [CrossRef]
- CIGRE. TB 498. Guide for Application of Direct Real-Time Monitoring Systems. In CIGRE:TB498; CIGRE: Paris, France, 2012. [Google Scholar]
- Azevedo, F.; Dias, A. LiDAR-Based Real-Time Detection and Modeling of Power Lines for Unmanned Aerial Vehicles. Sensors 2019, 19, 1812. [Google Scholar] [CrossRef] [PubMed]
- Qin, X.; Wu, G. Detecting Inspection Objects of Power Line from Cable Inspection Robot LiDAR Data. Sensors 2018, 18, 1284. [Google Scholar] [CrossRef] [PubMed]
- Xie, X.; Liu, Z. A Multiple Sensors Platform Method for Power Line Inspection Based on a Large Unmanned Helicopter. Sensors 2017, 17, 1222. [Google Scholar] [CrossRef] [PubMed]
- Mañana Canteli, M.; Arroyo Gutiérrez, A.; Castro Alonso, P.B.; Madrazo Maza, A.; Valli, C.A.; González Diego, A.; Sierra Molleda, A. Método y Sistema para la Medición Directa y sin Contacto de la Temperatura Superficial en un Cable; Oficina Española de Patentes y Marcas: Madrid, Spain, 2015. [Google Scholar]
- Lecuna, R.; Castro, P.; Manana, M.; Laso, A.; Domingo, R.; Arroyo, A.; Martinez, R. Non-contact temperature measurement method for dynamic rating of overhead power lines. Electr. Power Syst. Res. 2020, 185, 106392. [Google Scholar] [CrossRef]
- Xu, Z.; Hu, Z.; Zhao, L.; Zhang, Y.; Yang, Z.; Hu, S.; Li, Y. Application of temperature field modeling in monitoring of optic-electric composite submarine cable with insulation degradation. Measurement 2019, 133, 479–494. [Google Scholar] [CrossRef]
- Fassarela, J.; Fortes, M.; Sotelo, G. Measurement, evaluation and proposed solution for power distribution arrangements with electrical cables in parallel. Measurement 2018, 119, 196–204. [Google Scholar] [CrossRef]
- CIGRE. TB 299. Guide for Selection of Weather Parameters for Bare Overhead Conductor Ratings. In CIGRE:TB299; CIGRE: Paris, France, 2006. [Google Scholar]
- Aras, F.; Oysu, C.; Yilmaz, G. An Assessment of the Methods for Calculating Ampacity of Underground Power Cables. Electr. Power Compon. Syst. 2005, 33, 1385–1402. [Google Scholar] [CrossRef]
- de Lieto Vollaro, R.; Fontana, L.; Vallati, A. Thermal analysis of underground electrical power cables buried in non-homogeneous soils. Appl. Ther. Eng. 2011, 31, 772–778. [Google Scholar] [CrossRef]
- Castro, P. Study of different mathematical approaches in determining the dynamic rating of overhead power lines and a comparison with real time monitoring data. Appl. Ther. Eng. 2017, 111, 95–102. [Google Scholar] [CrossRef]
- Karimi, S.; Musilek, P.; Knight, A.M. Dynamic thermal rating of transmission lines: A review. Renew. Sustain. Energy Rev. 2018, 91, 600–612. [Google Scholar] [CrossRef]










| Case | Direct Rad. | Diffuse Rad. | Current (A) | Ambient t | Perp. Wind Speed (m/s) | Simulated Sphere t (6 cm Diameter) | Simulated Sphere t (9 cm Diameter) | Simulated Sphere t (12 cm Diameter) |
|---|---|---|---|---|---|---|---|---|
| 1 | 931 | 109 | 677 | 20 | 1.7 | 41.2 | 31 | 28.4 |
| 2 | 896 | 115 | 681 | 22 | 2.8 | 41.1 | 30.5 | 27.1 |
| 3 | 671 | 73 | 687 | 21 | 4.4 | 43.4 | 27.5 | 25.5 |
| 4 | 0 | 0 | 678 | 18 | 0.1 | 63.5 | 25.4 | 19.1 |
| Sample | |||||||||||
|---|---|---|---|---|---|---|---|---|---|---|---|
| 5 | 3.89 | 0.06 | 1.70 | 0.07 | 4.10 | 0.14 | 2.19 | −0.21 | −2.40 | 1.40 | |
| New conductor | 22 | 21.84 | 0.03 | 20.90 | 0.04 | 20.00 | 0.04 | 0.94 | 0.84 | −0.10 | 0.70 |
| 50 | 49.92 | 0.03 | 50.00 | 0.05 | 28.70 | 0.03 | −0.08 | 21.22 | 21.30 | 0.50 | |
| 80 | 85.12 | 0.10 | 86.70 | 0.08 | 39.90 | 0.05 | −1.58 | 45.22 | 46.80 | 1.10 | |
| 5 | 7.55 | 0.16 | 5.70 | 0.10 | 6.50 | 0.05 | 1.85 | 1.05 | −0.80 | 1.20 | |
| Used conductor | 22 | 21.94 | 0.03 | 21.10 | 0.04 | 21.10 | 0.04 | 0.84 | 0.84 | 0.00 | 0.70 |
| 50 | 47.50 | 0.13 | 48.30 | 0.08 | 44.30 | 0.07 | −0.80 | 3.20 | 4.00 | 0.70 | |
| 80 | 78.43 | 0.14 | 80.90 | 0.12 | 72.50 | 0.07 | −2.47 | 5.93 | 8.40 | 1.60 | |
| 5 | 2.47 | 0.09 | 0.90 | 0.07 | 0.50 | 0.05 | 1.57 | 1.97 | 0.40 | 1.10 | |
| Sphere | 22 | 21.73 | 0.03 | 20.80 | 0.04 | 20.80 | 0.05 | 0.93 | 0.93 | 0.00 | 0.70 |
| 50 | 48.55 | 0.06 | 52.20 | 0.09 | 52.90 | 0.06 | −3.65 | −4.35 | −0.70 | 2.20 | |
| 80 | 81.76 | 0.03 | 89.20 | 0.17 | 91.40 | 0.06 | −7.44 | −9.64 | −2.20 | 4.30 |
| Sample | ||||||
|---|---|---|---|---|---|---|
| 5 | 3.89 | 1.70 | 4.10 | 0.99 | 0.88 | |
| New conductor | 22 | 21.84 | 20.90 | 20.00 | - | - |
| 50 | 49.92 | 50.00 | 28.70 | 0.52 | 0.52 | |
| 80 | 85.12 | 86.70 | 39.90 | 0.47 | 0.46 | |
| 5 | 7.55 | 5.70 | 6.50 | 0.93 | 0.96 | |
| Used conductor | 22 | 21.94 | 21.10 | 21.10 | - | - |
| 50 | 47.50 | 48.30 | 44.30 | 0.89 | 0.86 | |
| 80 | 78.43 | 80.90 | 72.50 | 0.88 | 0.84 | |
| 5 | 2.47 | 0.90 | 0.50 | 0.90 | 0.98 | |
| Sphere | 22 | 21.73 | 20.80 | 20.80 | - | - |
| 50 | 48.55 | 52.20 | 52.90 | 0.85 | 0.97 | |
| 80 | 81.76 | 89.20 | 91.40 | 0.82 | 0.95 |
| R | I (A) | % | V (m/s) | ||||
|---|---|---|---|---|---|---|---|
| Max | 71.10 | 73.28 | 1274.00 | 702.20 | 28.28 | 100.00 | 12.56 |
| Min | 6.10 | 7.85 | 0.00 | 233.60 | 2.19 | 33.43 | 0.04 |
| Mean | 27.32 | 29.71 | 100.90 | 529.23 | 14.28 | 78.88 | 2.30 |
| −3.00 | −2.00 | −1.00 | 0.00 | 1.00 | 2.00 | 3.00 | 4.00 | 5.00 | 6.00 | 7.00 | |
|---|---|---|---|---|---|---|---|---|---|---|---|
| Deviation (%) | 0.00 | 1.00 | 2.00 | 13.00 | 26.00 | 26.00 | 20.00 | 8.00 | 3.00 | 1.00 | 0.00 |
| Cumulative deviation (%) | 0.00 | 0.00 | 1.00 | 3.00 | 16.00 | 42.00 | 68.00 | 88.00 | 96.00 | 99.00 | 100.00 |
| Range | Standard Deviation (C) | Average Deviation (C) | |
|---|---|---|---|
| (m/s) | 0–4 | 1.40 | 2.35 |
| 4–8 | 1.55 | 1.58 | |
| >8 | 1.58 | 3.37 | |
| (w/m) | 0–400 | 1.38 | 2.43 |
| 400–800 | 1.86 | 2.09 | |
| >800 | 1.18 | 1.22 | |
| (A) | 0–400 | 1.32 | 1.46 |
| 400–600 | 1.04 | 2.40 | |
| >600 | 1.32 | 2.95 | |
| Total data | 1.42 | 2.39 |
Publisher’s Note: MDPI stays neutral with regard to jurisdictional claims in published maps and institutional affiliations. |
© 2020 by the authors. Licensee MDPI, Basel, Switzerland. This article is an open access article distributed under the terms and conditions of the Creative Commons Attribution (CC BY) license (http://creativecommons.org/licenses/by/4.0/).
Share and Cite
Castro, P.; Lecuna, R.; Manana, M.; Martin, M.J.; Campo, D.d. Infrared Temperature Measurement Sensors of Overhead Power Conductors. Sensors 2020, 20, 7126. https://doi.org/10.3390/s20247126
Castro P, Lecuna R, Manana M, Martin MJ, Campo Dd. Infrared Temperature Measurement Sensors of Overhead Power Conductors. Sensors. 2020; 20(24):7126. https://doi.org/10.3390/s20247126
Chicago/Turabian StyleCastro, Pablo, Ramón Lecuna, Mario Manana, Maria Jose Martin, and Dolores del Campo. 2020. "Infrared Temperature Measurement Sensors of Overhead Power Conductors" Sensors 20, no. 24: 7126. https://doi.org/10.3390/s20247126
APA StyleCastro, P., Lecuna, R., Manana, M., Martin, M. J., & Campo, D. d. (2020). Infrared Temperature Measurement Sensors of Overhead Power Conductors. Sensors, 20(24), 7126. https://doi.org/10.3390/s20247126

