Unambiguous Acquisition/Tracking Technique Based on Sub-Correlation Functions for GNSS Sine-BOC Signals
Abstract
1. Introduction
2. The Combination Principle of SRSA
2.1. The Characteristics of BOC(Kn,n) Correlation Function and Problems
2.2. Generation of Sub-PRN Code Sequences
2.3. Correlation Function Combination
3. Acquisition Structure Design and Performance Analysis Based on SRSA Principle
3.1. The Acquisition Structure Diagram
3.2. Detection Performance Analysis
3.3. Performance Simulation and Analysis
3.3.1. Disambiguation Performance Analysis
3.3.2. Computational Complexity Analysis
3.3.3. Acquisition Probability Analysis
3.3.4. Peak-to-Average Ratio Analysis
4. Tracking Loop Structure Design and Performance Analysis Based on SRSA Principle
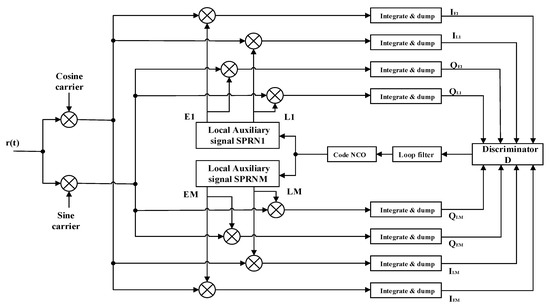
4.1. Discriminator Function and Tracking Loop Structure
4.2. The Code Tracking Error Analysis
4.3. Performance Simulation and Analysis
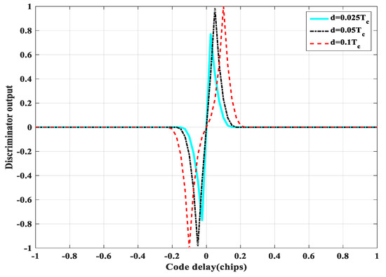
4.3.1. Phase Discrimination Curve Analysis
4.3.2. Anti-Multipath Performance Analysis
4.3.3. Anti-Noise Performance Analysis
5. Conclusions
- (1)
- A sub-function reconstruction synchronization algorithm is proposed. Design auxiliary code and perform cross-correlation operation with BOC signal to obtain cross-correlation functions, as shown in Figure 7 or Figure 8. The first sub-function is at the same position as the main peak of the last sub-function and the sub-peak corresponds to 0 point. Based on this characteristic, combining Equation (17), we can obtain a new function with a single peak.
- (2)
- The proposed method can be applied to BOC signals of arbitrary modulation order.
- (3)
- Reduced computational complexity and resource consumption.
Author Contributions
Funding
Acknowledgments
Conflicts of Interest
References
- Shen, F.; Xu, G.; Li, Q. Non-Coherent Unambiguous Tracking Method for Cosine-BOC Signals Based on an S-Curve Shaping Technique. IEEE Signal Process. Lett. 2015, 22, 752–756. [Google Scholar] [CrossRef]
- Hodgart, M.S.; Blunt, P.D.; Unwin, M. The optimal dual estimate solution for robust tracking of binary offset carrier (BOC) modulation. In Proceedings of the ION GNSS 2007, Fort Worth, TX, USA, 25–28 September 2007; pp. 1017–1027. [Google Scholar]
- Hodgart, M.S.; Simons, E. Improvements and additions to the double estimation technique. In Proceedings of the Satellite Navigation Technologies and European Workshop on GNSS Signals and Signal Processing (NAVITEC), Noordwijk, The Netherlands, 5–7 December 2012. [Google Scholar]
- Fine, P.; Wilson, W. Tracking algorithm for GPS offset carrier signals. In Proceedings of the ION NTM 1999, San Diego, CA, USA, 25–27 January 1999; pp. 671–676. [Google Scholar]
- Burian, A.; Lohan, E.S.; Renfors, M. BPSK-like Methods for Hybrid-Search Acquisition of Galileo Signals. In Proceedings of the IEEE International Conference on Communications, Istanbul, Turkey, 11–15 June 2006; pp. 5211–5216. [Google Scholar]
- Julien, O.; Macabiau, C.; Cannon, M.E.; Lachapelle, G. ASPeCT: Unambiguous sine-BOC(n,n) acquisition/tracking technique for navigation applications. IEEE Trans. Aerosp. Electron. Syst. 2011, 43, 150–162. [Google Scholar] [CrossRef]
- Liu, Z.; Xu, B.; Tang, X. Multipath mitigating technique for BOC(kn, n) signal in GNSS. In Proceedings of the International Conference on Wireless Communications and Signal Processing, Nanjing, China, 15–17 October 2015; pp. 1–4. [Google Scholar]
- Yao, Z.; Lu, M.; Feng, Z. Unambiguous sine-phased binary offset carrier modulated signal acquisition technique. IEEE Trans. Wirel. Commun. 2010, 9, 577–580. [Google Scholar] [CrossRef]
- Yao, Z.; Cui, X.; Lu, M.; Feng, Z. Pseudo-correlation-function-based unambiguous tracking technique for sine-BOC signals. IEEE Trans. Aerosp. Electron. Syst. 2010, 46, 1782–1796. [Google Scholar] [CrossRef]
- Feng, S.; Xu, G.H.; Fang, H.Y. Synthesized correlation function based unambiguous acquisition technique for sin-BOC/MBOC modulated signals. J. Syst. Eng. Electron. 2015, 37, 1980–1986. [Google Scholar]
- Yan, T.; Wei, J.; Tang, Z.; Qu, B.; Zhou, Z. Unambiguous Acquisition/Tracking Technique for High-Order Sine-Phased Binary Offset Carrier Modulated Signal. Wirel. Pers. Commun. 2015, 84, 2835–2857. [Google Scholar] [CrossRef]
- Ji, Y.-F.; Liu, Y.; Zhen, W.-M.; Sun, X.-Y.; Yu, B.-G. An unambiguous acquisition algorithm based on unit correlation for BOC(n,n) signal. IEICE Trans. Commun. 2017, 8, 1507–1513. [Google Scholar] [CrossRef]
- Wang, C.; Yang, C.; Ku, S.; Liu, C. A Low-Complexity Peak-to-Average Power Ratio Estimation Method for OFDM Signals. In Proceedings of the IEEE Vehicular Technology Conference, Montreal, QC, Canada, 25–28 September 2006. [Google Scholar] [CrossRef]
- Wu, J.; Jiang, L.; Chen, Y.; Senhadji, L.; Shu, H. A generalized modified split-radix FFT algorithm for N = q × 2m and its applications. In Proceedings of the IEEE 2014 7th International Congress on Image and Signal Processing, Dalian, China, 14–16 October 2014. [Google Scholar] [CrossRef]
- Lei, D.; Lu, W.; Yu, D. Resource-efficient acquisition architecture for BOC-modulated signals. IEICE Electron. Express 2015, 11, 20140358. [Google Scholar] [CrossRef][Green Version]
- Zhou, Y.; Hu, X.; Ke, T.; Tang, Z. Ambiguity Mitigating Technique for Cosine-Phased Binary Offset Carrier Signal. IEEE Trans. Wirel. Commun. 2012, 11, 1981–1984. [Google Scholar] [CrossRef]
- Yan, T.; Wei, J.; Tang, Z.; Qu, B.; Zhou, Z. Unambiguous combined correlation functions for sine-BOC signal tracking. GPS Solut. 2015, 19, 623–638. [Google Scholar] [CrossRef]
- Kao, T.L.; Juang, J.C. Weighted discriminators for GNSS BOC signal tracking. GPS Solut. 2012, 16, 339–351. [Google Scholar] [CrossRef]
- Li, T.; Tang, Z.; Wei, J.; Zhou, Z.; Wang, B. Unambiguous Tracking Technique Based on Combined Correlation Functions for Sine BOC Signals. J. Navig. 2019, 72, 140–154. [Google Scholar] [CrossRef]
- Mao, H.; Wu, D. Evaluation of Anti-multipath Performance to Satellite Navigation Signal Tracking on L1/E1/B1 Frequency Band. J. Syst. Simul. 2016, 28, 106–113. [Google Scholar]
- Deng, Z.; Hu, E.; Yin, L.; Liu, W. An Unambiguous Tracking Technique for Sine-BOC(kn,n) Modulated GNSS Signals. Wirel. Pers. Commun. 2018, 103, 1101–1112. [Google Scholar] [CrossRef]
- Liu, H.C.; Cheng, X.; Ni, S.J. Evaluation of Multipath Mitigation Performances Based on Error Envelope. J. Natl. Univ. Def. Technol. 2011, 33, 72–75. [Google Scholar]
- Wu, J.; Dempster, A.G. Code Tracking Variance Analysis for GNSS Receivers with “Strobe Correlators”. IEEE Trans. Aerosp. Electron. Syst. 2012, 48, 2760–2782. [Google Scholar] [CrossRef]
- Borio, D. Coherent side-band BOC processing. IET Radar Sonar Navig. 2017, 11, 1455–1466. [Google Scholar] [CrossRef]
- Feng, T.; Kai, Z.; Liang, C. Unambiguous Tracking of BOC Signals Using Coherent Combination of Dual Sidebands. Comput. Educ. 2016, 20, 1555–1558. [Google Scholar] [CrossRef]
- Li, T.; Wei, J.L.; Tang, Z.P.; Zhou, Z.H.; Wang, B.Y. An Optimizing Combined Unambiguous Correlation Functions for BOC Signals Tracking. In Proceedings of the 2017 International Technical Meeting of the Institute of Navigation, Washington, DC, USA, 30 January–2 February 2017; pp. 388–400. [Google Scholar]
- Zhang, H.; Ba, X.; Chen, J.; Zhou, H. Unambiguous acquisition technique for BOC(m,n) modulated signals. Acta Aeronaut. Astronaut. Sin. 2017, 38, 320394. [Google Scholar]
- Shim, D.-S.; Jeon, J.-S. An Unambiguous Delay-And-Multiply Acquisition Scheme for GPS L1C Signals. Sensors 2018, 18, 1739. [Google Scholar] [CrossRef]
- Xu, C.; Liu, Z.; Tang, X.; Wang, F. A Design Method of Code Correlation Reference Waveform in GNSS Based on Least-Squares Fitting. Sensors 2016, 16, 1194. [Google Scholar] [CrossRef] [PubMed]
- Zhen, L.; Jie, H.; Wang, J.; Zhao, Y.; Chen, S.W. Generalized unambiguous tracking method based on pseudo correlation function for multi-level coded symbol modulated signals. Acta Phys. Sin. 2017, 66, 139101. [Google Scholar]
- Zhen, L.; Zhang, J.Y.; Lu, M.Q.; Jie, H.; Zhao, Y.J. Universal evaluation criteria for code delay estimation error of satellite navigation signals. Acta Phys. Sin. 2017, 66, 129101. [Google Scholar]
























| Number | Algorithm Name | Multiplication/Times | Addition/Times |
|---|---|---|---|
| 1 | BPSK-Like | 10Nlog2N + 10N | 17.5Nlog2N + 7N |
| 2 | ASPeCT | 10Nlog2N + 9N | 17.5Nlog2N + 7N |
| 3 | SCPC | 10Nlog2N + 10N | 17.5Nlog2N + 7N |
| 4 | SRSA | 10Nlog2N + 9N | 17.5Nlog2N + 7N |
© 2020 by the authors. Licensee MDPI, Basel, Switzerland. This article is an open access article distributed under the terms and conditions of the Creative Commons Attribution (CC BY) license (http://creativecommons.org/licenses/by/4.0/).
Share and Cite
Hao, F.; Yu, B.; Gan, X.; Jia, R.; Zhang, H.; Huang, L.; Wang, B. Unambiguous Acquisition/Tracking Technique Based on Sub-Correlation Functions for GNSS Sine-BOC Signals. Sensors 2020, 20, 485. https://doi.org/10.3390/s20020485
Hao F, Yu B, Gan X, Jia R, Zhang H, Huang L, Wang B. Unambiguous Acquisition/Tracking Technique Based on Sub-Correlation Functions for GNSS Sine-BOC Signals. Sensors. 2020; 20(2):485. https://doi.org/10.3390/s20020485
Chicago/Turabian StyleHao, Fang, Baoguo Yu, Xingli Gan, Ruicai Jia, Heng Zhang, Lu Huang, and Boyuan Wang. 2020. "Unambiguous Acquisition/Tracking Technique Based on Sub-Correlation Functions for GNSS Sine-BOC Signals" Sensors 20, no. 2: 485. https://doi.org/10.3390/s20020485
APA StyleHao, F., Yu, B., Gan, X., Jia, R., Zhang, H., Huang, L., & Wang, B. (2020). Unambiguous Acquisition/Tracking Technique Based on Sub-Correlation Functions for GNSS Sine-BOC Signals. Sensors, 20(2), 485. https://doi.org/10.3390/s20020485

