Spectroelectrochemical Determination of Isoprenaline in a Pharmaceutical Sample
Abstract
1. Introduction
2. Materials and Methods
2.1. Reagents and Materials
2.2. Instrumentation and Software
2.3. Experimental Setup
3. Results and Discussion
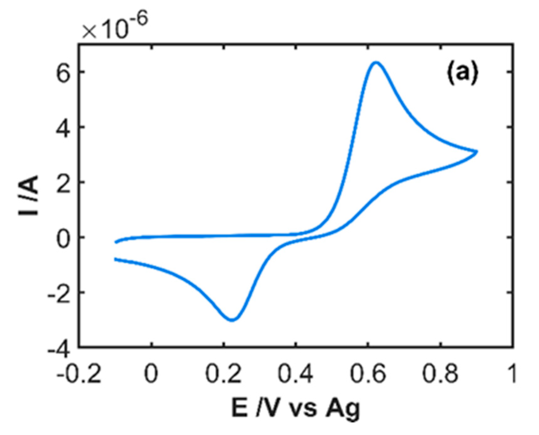
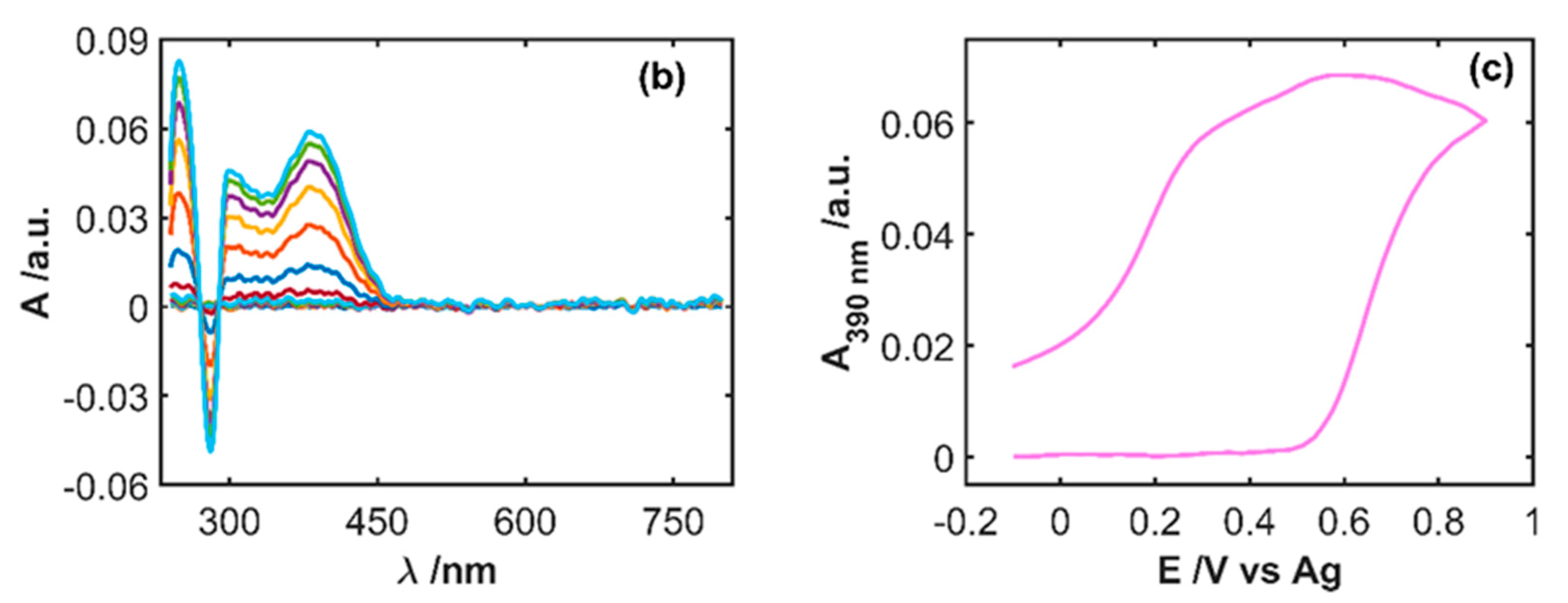
3.1. Spectroelectrochemical Behavior of Isoprenaline
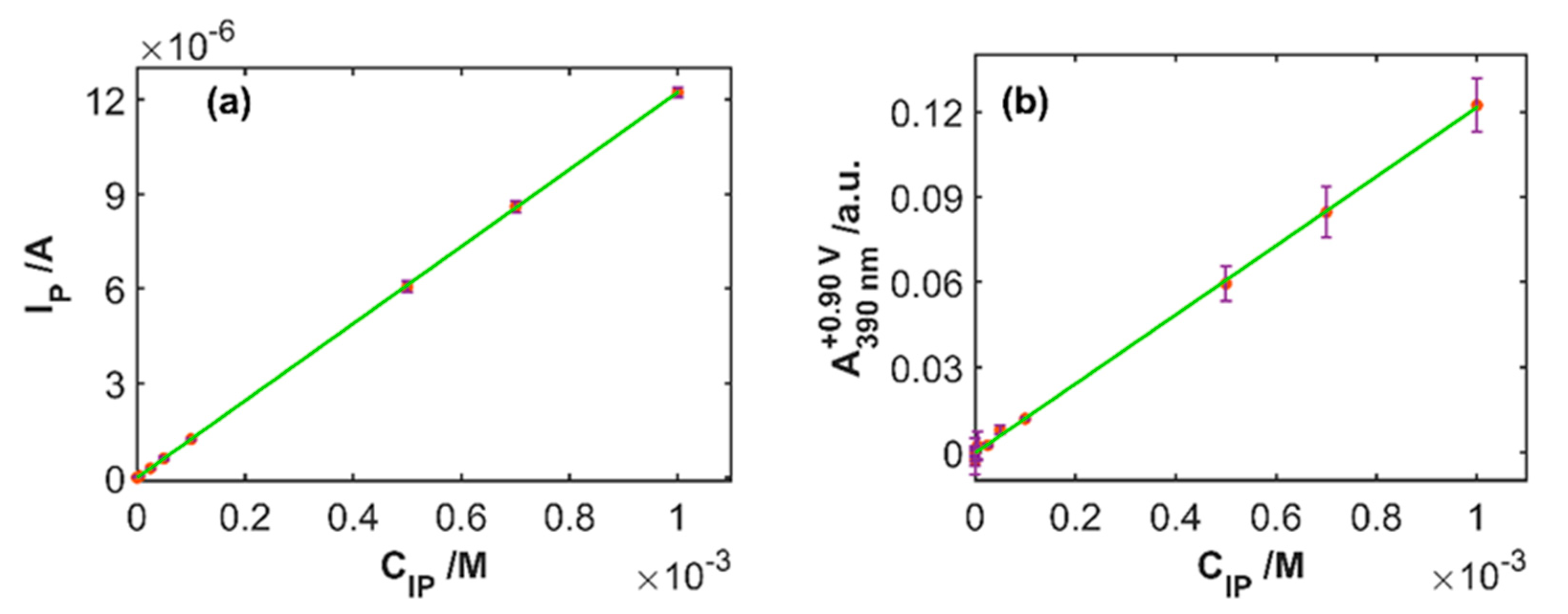
3.2. Determination of Isoprenaline Spectroelectrochemically
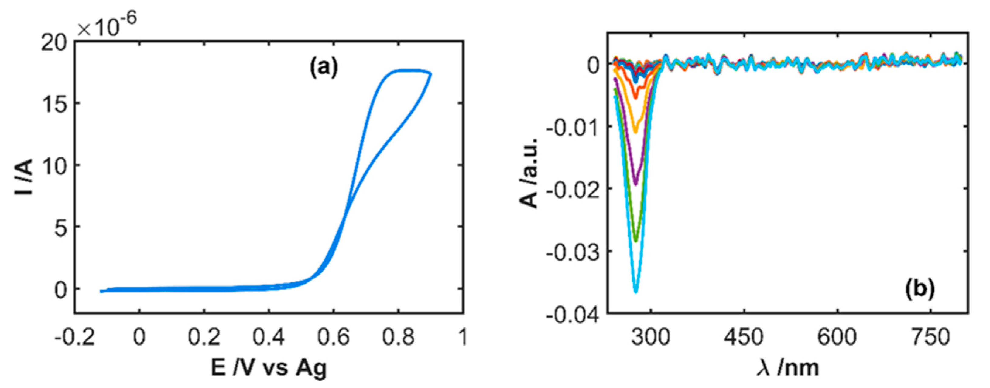
3.3. Application of Spectroelectrochemistry Quantification to a Pharmaceutical Sample with Isoprenaline
4. Conclusions
Author Contributions
Funding
Acknowledgments
Conflicts of Interest
References
- Wang, J.; Li, Y.; Li, C.; Zeng, X.; Tang, W.; Chen, X. A voltammetric study on the interaction between isoproterenol and cardiomyocyte DNA by using a glassy carbon electrode modified with carbon nanotubes, polyaniline and gold nanoparticles. Microchim. Acta 2017, 184, 2999–3006. [Google Scholar] [CrossRef]
- Wong, A.; Santos, A.M.; Silva, T.A.; Fatibello-Filho, O. Simultaneous determination of isoproterenol, acetaminophen, folic acid, propranolol and caffeine using a sensor platform based on carbon black, graphene oxide, copper nanoparticles and PEDOT:PSS. Talanta 2018, 183, 329–338. [Google Scholar] [CrossRef] [PubMed]
- Ensafi, A.A.; Bahrami, H.; Karimi-Maleh, H.; Mallakpour, S. Carbon Paste Electrode Prepared from Chemically Modified Multiwall Carbon Nanotubes for the Voltammetric Determination of Isoprenaline in Pharmaceutical and Urine Samples. Chin. J. Catal. 2012, 33, 1919–1926. [Google Scholar] [CrossRef]
- Sakr, M.; Hanafi, R.; Fouad, M.; Al-Easa, H.; El-Moghazy, S. Design and optimization of a luminescent Samarium complex of isoprenaline: A chemometric approach based on Factorial design and Box-Behnken response surface methodology. Spectrochim. Acta Part A Mol. Biomol. Spectrosc. 2019, 208, 114–123. [Google Scholar] [CrossRef] [PubMed]
- Keyvanfard, M.; Alizad, K. Determination of isoproterenol in pharmaceutical and biological samples using a pyrogallol red multiwalled carbon nanotube paste electrode as a sensor. Chin. J. Catal. 2016, 37, 579–583. [Google Scholar] [CrossRef]
- Dhanalakshmi, N.; Priya, T.; Thennarasu, S.; Karthikeyan, V.; Thinakaran, N. Effect of La doping level on structural and sensing properties of LZO/RGO nanohybrid: Highly selective sensing platform for isoprenaline determinations in the presence of ascorbic acid, uric acid and folic acid. J. Electroanal. Chem. 2019, 848. [Google Scholar] [CrossRef]
- Chen, M.; Ma, X.; Li, X. Electrochemical determination of isoprenaline using a graphene-modified glassy carbon electrode. J. Solid State Electrochem. 2012, 16, 3261–3266. [Google Scholar] [CrossRef]
- Liu, Y.-M.; Wang, C.-Q.; Mu, H.-B.; Cao, J.-T.; Zheng, Y.-L. Determination of catecholamines by CE with direct chemiluminescence detection. Electrophoresis 2007, 28, 1937–1941. [Google Scholar] [CrossRef]
- Rezaei, B.; Ensafi, A.A.; Haghighatnia, F. A sensitive chemiluminescence determination of isoproterenol in pharmaceutical and human serum using luminol–diperiodatoargentate (III) system. Anal. Methods 2012, 4, 1573–1578. [Google Scholar] [CrossRef]
- Zhou, J.; Yin, H.; Ma, H.; Wei, S.; Wen, E.; Zhang, W.; Dang, H. Efficient and selective analytical method for the quantification of a β -adrenoceptor agonist, isoproterenol, by LC–MS/MS and its application to pharmacokinetics studies. J. Liq. Chromatogr. Relat. Technol. 2017, 40, 699–705. [Google Scholar] [CrossRef]
- Vashistha, V.K.; Bhushan, R. Sensitive enantioseparation and determination of isoprenaline in human plasma and pharmaceutical formulations. Biomed. Chromatogr. 2019, e4550. [Google Scholar] [CrossRef] [PubMed]
- Khezri, S.; Bahram, M.; Samadi, N. Hydrogen bonding recognition and colorimetric detection of isoprenaline using 2-amino-5-mercapto-1,3,4-thiadiazol functionalized gold nanoparticles. Spectrochim. Acta Part A Mol. Biomol. Spectrosc. 2018, 189, 522–527. [Google Scholar] [CrossRef] [PubMed]
- Solich, P.; Polydorou, C.K.; Koupparis, M.A.; Efstathiou, C.E. Automated flow-injection spectrophotometric determination of catecholamines (epinephrine and isoproterenol) in pharmaceutical formulations based on ferrous complex formation. J. Pharm. Biomed. Anal. 2000, 22, 781–789. [Google Scholar] [CrossRef]
- Lupetti, K. Flow injection spectrophotometric determination of isoproterenol using an avocado (Persea americana) crude extract immobilized on controlled-pore silica reactor. Talanta 2002, 57, 135–143. [Google Scholar] [CrossRef]
- Palakollu, V.N.; Chiwunze, T.E.; Gill, A.A.S.; Thapliyal, N.; Maru, S.M.; Karpoormath, R. Electrochemical sensitive determination of isoprenaline at β-cyclodextrin functionalized graphene oxide and electrochemically generated acid yellow 9 polymer modified electrode. J. Mol. Liq. 2017, 248, 953–962. [Google Scholar] [CrossRef]
- Shahrokhian, S.; Panahi, S.; Salimian, R. An electrochemical sensing platform based on nitrogen-doped hollow carbon spheres for sensitive and selective isoprenaline detection. J. Electroanal. Chem. 2019, 847, 113196. [Google Scholar] [CrossRef]
- Ensafi, A.A.; Karimi-Maleh, H. Voltammetric determination of isoproterenol using multiwall carbon nanotubes-ionic liquid paste electrode. Drug Test. Anal. 2011, 3, 325–330. [Google Scholar] [CrossRef]
- Karimi-Maleh, H.; Moazampour, M.; Ahmar, H.; Beitollahi, H.; Ensafi, A.A. A sensitive nanocomposite-based electrochemical sensor for voltammetric simultaneous determination of isoproterenol, acetaminophen and tryptophan. Measurement 2014, 51, 91–99. [Google Scholar] [CrossRef]
- Roushani, M.; Farokhi, S. Amperometric Detection of Isoprenaline Based on Glassy Carbon Electrode Modified by Iridium Oxide Nanoparticles. J. Braz. Chem. Soc. 2015, 26, 1034–1042. [Google Scholar] [CrossRef]
- Garoz-Ruiz, J.; Guillen-Posteguillo, C.; Colina, A.; Heras, A. Application of spectroelectroanalysis for the quantitative determination of mixtures of compounds with highly overlapping signals. Talanta 2019, 195, 815–821. [Google Scholar] [CrossRef]
- Garoz-Ruiz, J.; Heras, A.; Colina, A. Direct Determination of Ascorbic Acid in a Grapefruit: Paving the Way for In Vivo Spectroelectrochemistry. Anal. Chem. 2017, 89, 1815–1822. [Google Scholar] [CrossRef]
- Olmo, F.; Garoz-Ruiz, J.; Colina, A.; Heras, A. Derivative UV/Vis spectroelectrochemistry in a thin-layer regime: Deconvolution and simultaneous quantification of ascorbic acid, dopamine and uric acid. Anal. Bioanal. Chem. 2020. [Google Scholar] [CrossRef] [PubMed]
- González-Diéguez, N.; Colina, A.; López-Palacios, J.; Heras, A. Spectroelectrochemistry at Screen-Printed Electrodes: Determination of Dopamine. Anal. Chem. 2012, 84, 9146–9153. [Google Scholar] [CrossRef] [PubMed]
- Garoz-Ruiz, J.; Perales-Rondon, J.V.; Heras, A.; Colina, A. Spectroelectrochemical Sensing: Current Trends and Challenges. Electroanalysis 2019, 31, 1254–1278. [Google Scholar] [CrossRef]
- Keyes, T.E.; Forster, R.J. Spectroelectrochemistry. Handb. Electrochem. 2007, 591–635. [Google Scholar] [CrossRef]
- Scherson, D.A.; Tolmachev, Y.V.; Stefan, I.C. Ultraviolet/Visible Spectroelectrochemistry. Encycl. Anal. Chem. 2006, 1–54. [Google Scholar] [CrossRef]
- Zhai, Y.; Zhu, Z.; Zhou, S.; Zhu, C.; Dong, S. Recent advances in spectroelectrochemistry. Nanoscale 2018, 10, 3089–3111. [Google Scholar] [CrossRef]
- Ibañez, D.; Valles, E.; Gomez, E.; Colina, A.; Heras, A. Janus Electrochemistry: Asymmetric Functionalization in One Step. ACS Appl. Mater. Interfaces 2017, 9, 35404–35410. [Google Scholar] [CrossRef]
- Izquierdo, D.; Ferraresi-Curotto, V.; Heras, A.; Pis-Diez, R.; Gonzalez-Baro, A.C.; Colina, A. Bidimensional Spectroelectrochemistry: Application of a new device in the study of a o-vanillin-copper(II) complex. Electrochim. Acta 2017, 245, 79–87. [Google Scholar] [CrossRef]
- Garoz-Ruiz, J.; Heras, A.; Palmero, S.; Colina, A. Development of a Novel Bidimensional Spectroelectrochemistry Cell Using Transfer Single-Walled Carbon Nanotubes Films as Optically Transparent Electrodes. Anal. Chem. 2015, 87, 6233–6239. [Google Scholar] [CrossRef]
- Crayston, J.A. Spectroelectrochemistry: In situ UV-visible Spectroscopy. In Encyclopedia of Electrochemistry; Bard, A.J., Ed.; Wiley-VCH Verlag GmbH & Co. KGaA: Weinheim, Germany, 2007. [Google Scholar]
- Lai, M.-C.; Hung, T.-Y.; Lin, K.-M.; Sung, P.-S.; Wu, S.-J.; Yang, C.-S.; Wu, Y.-J.; Tsai, J.-J.; Wu, S.-N.; Huang, C.-W. Sodium Metabisulfite: Effects on Ionic Currents and Excitotoxicity. Neurotox. Res. 2018, 34, 1–15. [Google Scholar] [CrossRef]
- Shojaee, S.; Nokhodchi, A.; Maniruzzaman, M. Evaluations of the Effect of Sodium Metabisulphite on the Stability and Dissolution Rates of Various Model Drugs from the Extended Release Polyethylene Oxide Matrices. J. Pharm. Innov. 2017, 12, 260–270. [Google Scholar] [CrossRef]
- Bonifácio, V.G.; Marcolino-Júnior, L.H.; Fatibello-Filho, O. Flow Injection Spectrophotometric Determination of Isoproterenol with an On-Line Solid-Phase Reactor Containing Immobilized Manganese Dioxide. Anal. Lett. 2004, 37, 2111–2124. [Google Scholar] [CrossRef]









| Method (1) | Intercept (2) | Slope (3) (M−1) | R2, (4) | Syx (5) | LOD (6) |
|---|---|---|---|---|---|
| IP,an | −2.52 × 10−8 | 1.22 × 10−2 | 0.9999 | 2.24 × 10−8 | 7.0 × 10−6 |
| A390 nm,+0.90 V | −1.91 × 10−4 | 1.21 × 102 | 0.9989 | 1.43 × 10−3 | 4.5 × 10−5 |
| Method | CI (M) (1) | %R.E. (2) | %RSD (3) |
|---|---|---|---|
| IP,an | [2.98 ± 0.04] × 10−4 | 0.64 | 0.5 |
| A390 nm,+0.90 V | [2.98 ± 0.27] × 10−4 | 0.67 | 4.1 |
| Electroanalytical Techniques | Electrode | Linear Range (μM) | LOD (μM) | Ref. |
| Amperometry | IrOxNPs/GCE | 1–2500 | 0.09 | [19] |
| LSV | HCSs/GCE | 0.2–30 | 0.06 | [16] |
| SWV | CuNPs-GO-CB-PEDOT:PSS/GCE | 8.0–50 | 1.9 | [2] |
| DPV | 3% LZO/RGO/GCE | 0.01–700 | 0.18 | [6] |
| Spectrophotometric techniques | Method principle | Linear range (μM) | LOD (μM) | Ref. |
| Flow injection spectrophotometry using a color-forming reaction | Oxidation by polyphenol oxidase | 123–738 | 63.4 | [14] |
| Flow injection spectrophotometry using a solid-phase reactor | MnO2 immobilized in polyester resin | 10–200 | 1.7 | [34] |
| Spectrophotometry | Generation of a samarium-IP complex | 9.5–57 | 7.6 | [4] |
| Colorimetry | Interaction of IP and AMTD-AuNPs | 0.2–2.6 | 0.08 | [12] |
| Absorption SEC | Electrode | Linear range (μM) | LOD (μM) | Ref. |
| SEC (CV) | C-SPE | 5–1000 | 7 | This work |
| SEC (UV-Vis Spectra) | 45 |
| Time (Min) (1) | Method | CI (M) (2) | %R.E. (3) | %RSD (4) |
|---|---|---|---|---|
| 5 | IP,an | [2.05 ± 0.04] × 10−4 | 40.7 | 0.9 |
| A390 nm,+0.90 V | [0.99 ± 0.27] × 10−4 | 32.0 | 12.4 | |
| 10 | IP,an | [1.46± 0.04] × 10−4 | 0.2 | 1.3 |
| A390 nm,+0.90 V | [1.43 ± 0.27] × 10−4 | 2.2 | 8.6 | |
| 15 | IP,an | [1.47 ± 0.04] × 10−4 | 0.4 | 1.3 |
| A390 nm,+0.90 V | [1.49 ± 0.27] × 10−4 | 1.8 | 8.3 | |
| 20 | IP,an | [1.42 ± 0.04] × 10−4 | 2.5 | 1.3 |
| A390 nm,+0.90 V | [1.51 ± 0.27] × 10−4 | 3.5 | 8.1 |
© 2020 by the authors. Licensee MDPI, Basel, Switzerland. This article is an open access article distributed under the terms and conditions of the Creative Commons Attribution (CC BY) license (http://creativecommons.org/licenses/by/4.0/).
Share and Cite
Olmo, F.; Garoz-Ruiz, J.; Carazo, J.; Colina, A.; Heras, A. Spectroelectrochemical Determination of Isoprenaline in a Pharmaceutical Sample. Sensors 2020, 20, 5179. https://doi.org/10.3390/s20185179
Olmo F, Garoz-Ruiz J, Carazo J, Colina A, Heras A. Spectroelectrochemical Determination of Isoprenaline in a Pharmaceutical Sample. Sensors. 2020; 20(18):5179. https://doi.org/10.3390/s20185179
Chicago/Turabian StyleOlmo, Fabiola, Jesus Garoz-Ruiz, Julia Carazo, Alvaro Colina, and Aranzazu Heras. 2020. "Spectroelectrochemical Determination of Isoprenaline in a Pharmaceutical Sample" Sensors 20, no. 18: 5179. https://doi.org/10.3390/s20185179
APA StyleOlmo, F., Garoz-Ruiz, J., Carazo, J., Colina, A., & Heras, A. (2020). Spectroelectrochemical Determination of Isoprenaline in a Pharmaceutical Sample. Sensors, 20(18), 5179. https://doi.org/10.3390/s20185179

