Non-Contact Evaluation of Pigs’ Body Temperature Incorporating Environmental Factors
Abstract
1. Introduction
2. Materials and Methods
3. Data Statistics and Internal Temperature Prediction Modeling
3.1. Data Statistics
3.2. Construction of Body Temperature Prediction Model and Evaluation Methodology
3.3. Non-Linear Body Temperature Prediction Model
3.3.1. Body Temperature Prediction Model Based on SVR
- Hyper parameter setup; set population at 60, crossover rate as 0.6, and mutation rate at 0.1; the iteration number is 200.
- Initialize population; encode C, g, and e using 8-bit binary sequence into genes; the range of C is [0.1, 1], the range of g is [0.2, 0.3], and the range of e is (0, 0.1].
- Translate genetic sequence into C, g, and e parameters; train the SVR model and evaluate model using Leave One Out Cross Validation (LOOCV); compute the RMSE; and take reciprocal of RMSE as the fitness function, as shown in Equation (6):
- Decide whether the ending condition is satisfied. If not, select elite individuals according to the roulette wheel selection principal and replicate elites, then perform cross over and mutation and return to step (3). If the ending condition is met, end the iteration.
- Output the optimum parameters C, g, and e and corresponding MSE, end of algorithm.
3.3.2. Body Temperature Prediction Model Based on RF
3.3.3. Body Temperature Prediction Model Based on BPNN
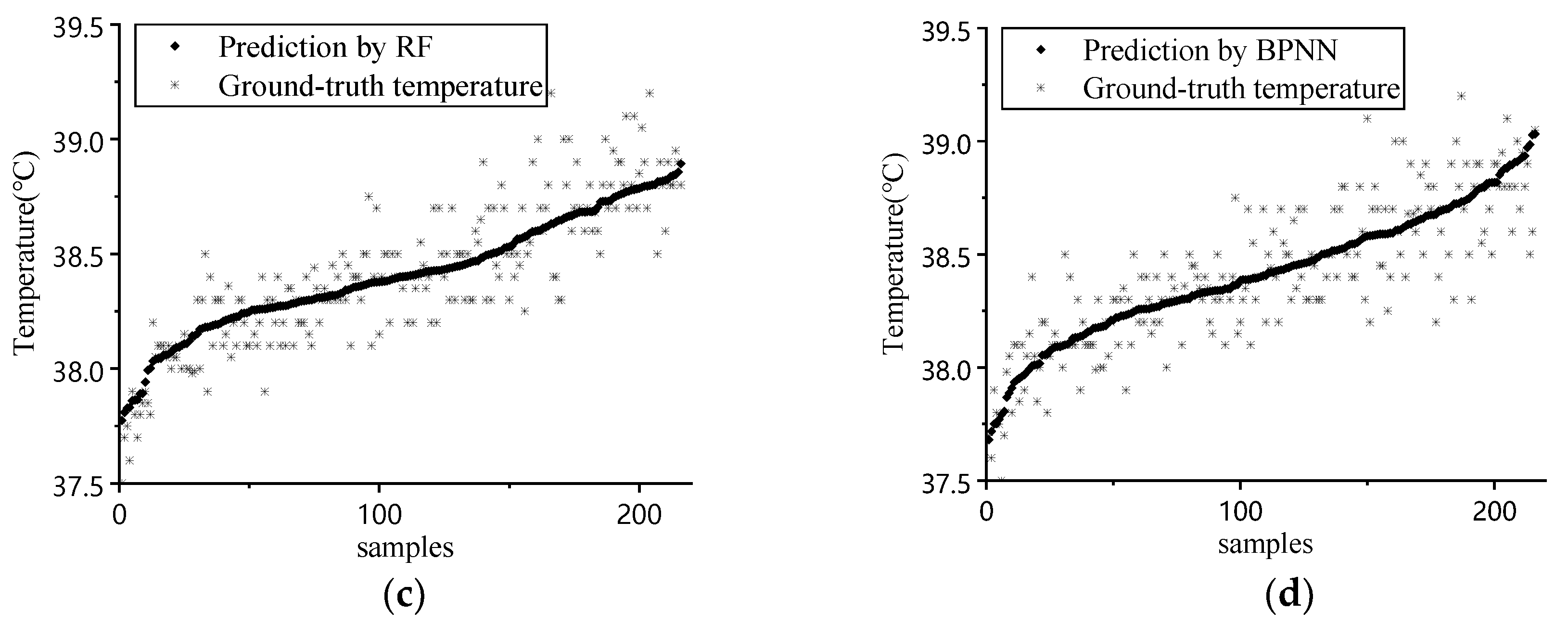
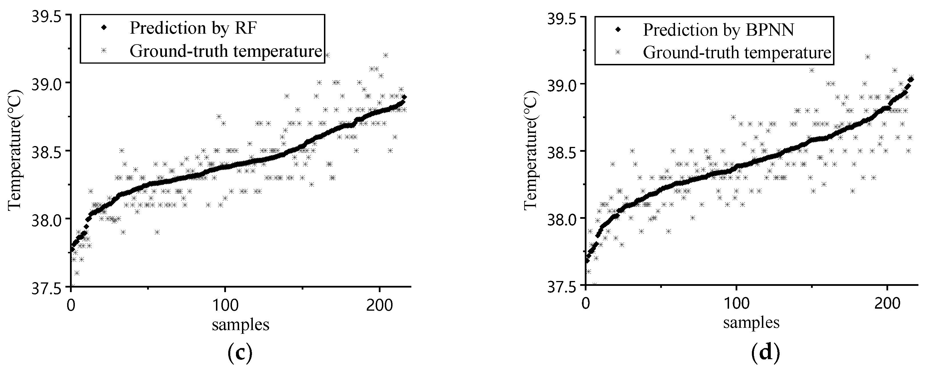
4. Results
5. Discussions
6. Conclusions
- Through analyzing the correlation between the skin temperatures of ROIs from infrared images and environmental factors, it is evident that the backside, eye, and ear root temperature were heavily correlated with the air temperature, with the correlation coefficients at 0.52, 0.32, and 0.28 (p < 0.01), respectively. The backside temperature and eye temperature were also influenced by humidity, with the correlation coefficients at −0.21 and −0.25. This indicates that the air temperature and humidity influence ROI temperatures through heat exchange.
- Judging from the result of the BPNN, RF, and GA-SVR based on the dataset incorporating environmental factors and the dataset without environmental factors, the former dataset yielded the average MaxAE, MAE, and RMSE of 0.556, 0.134, and 0.171 °C, and the highest r was 0.837. The latter dataset yielded the average MaxAE, MAE, and RMSE of 0.865, 0.212, and 0.275 °C, and the highest r was 0.501. This indicates that incorporating environmental factors is necessary for the successful prediction of pigs′ body temperature.
- Comparing the three models incorporating environmental factors, GA-SVR exhibited the most superior outcomes regarding the MaxAE, MAE, RMSE, and r, reaching 0.478, 0.124, 0.159 °C, and 0.863 (p < 0.01). All RF’s evaluation indicators were slightly weaker than those of GA-SVR, and BPNN was the worst in all terms. It is concluded that GA-SVR was the optimum choice regarding the dataset incorporating environmental factors; RF was the most stable and robust, with a relatively high precision; and BPNN was the least suitable. GA-SVR and RF were both applicable for the prediction of pigs′ body temperature, however BPNN is less likely to construct an accountable prediction model for our task.
Author Contributions
Funding
Acknowledgments
Conflicts of Interest
References
- Chen, H.C. Current situation and preventions of systematic pig epidemic. North. Husb. 2017, 15. Available online: https://kns.cnki.net/KCMS/detail/detail.aspx?dbcode=CJFQ&dbname=CJFDLAST2018&filename=SNCM201802007&uid=WEEvREcwSlJHSldRa1FhcTdnTnhYWUhaU1dzaU9ISHZFVzdmeTd1b0dsYz0=$9A4hF_YAuvQ5obgVAqNKPCYcEjKensW4IQMovwHtwkF4VYPoHbKxJw!!&v=MDcxMzN5L2dWN3ZOTmlQSVk3RzRIOW5Nclk5Rlk0UjhlWDFMdXhZUzdEaDFUM3FUcldNMUZyQ1VSN3FmWU9WdUY= (accessed on 10 May 2020).
- Luo, Z.Y.; Sun, Y.; Wang, T.; Qiu, H.J. African Swine Fever: A Major Threat to the Chinese Swine Industry. Sci. Agric. Sin. 2018, 51, 4177–4187. [Google Scholar]
- Zhu, J.; Ma, S.; Bi, Y.; Cui, H. Construction of digital breeding platform for breeding pig. Trans. Chin. Soc. Agric. Eng. 2010, 26, 215–219. [Google Scholar]
- Li, C.H.; Wang, Y.; Jiang, F.Y.; Hu, H.J. Progress on Porcine Pseudorabies. Prog. Vet. Med. 2008, 29, 68–72. [Google Scholar]
- Xiang, Y.P.; He, J.; Ma, X.L. Diagnose of swine disease involving fever. China Anim. Health 2012, 14, 56–57. [Google Scholar]
- Jara, A.L.; Hanson, J.M.; Gabbard, J.D.; Johnson, S.K.; Register, E.T.; He, B.; Tompkins, S.M. Comparison of microchip transponder and noncontact infrared thermometry with rectal thermometry in domestic swine (Sus scrofa domestica). J. Am. Assoc. Lab. Anim. Sci. 2016, 55, 588–593. [Google Scholar]
- Stewart, M.; Webster, J.; Schaefer, A.; Cook, N.; Scott, S.L. Infrared thermography as a non-invasive tool to study animal welfare. Anim. Welf. 2005, 14, 319–325. [Google Scholar]
- Yang, R.Z.; He, Y.Z. Optically and non-optically excited thermography for composites: A review. Infrared Phys. Technol. 2016, 75, 26–50. [Google Scholar] [CrossRef]
- Sathiyabarathi, M.; Jeyakumar, S.; Manimaran, A.; Jayaprakash, G.; Pushpadass, H.A.; Sivaram, M.; Ramesha, K.; Das, D.; Kataktalware, M.A.; Prakash, M.A. Infrared thermography: A potential noninvasive tool to monitor udder health status in dairy cows. Veter World 2016, 9, 1075–1081. [Google Scholar] [CrossRef]
- Menzel, A.; Beyerbach, M.; Siewert, C.; Gundlach, M.; Hoeltig, D.; Graage, R.; Seifert, H.; Waldmann, K.-H.; Verspohl, J.; Hennig-Pauka, I. Actinobacillus pleuropneumoniae challenge in swine: Diagnostic of lung alterations by infrared thermography. BMC Veter Res. 2014, 10, 199. [Google Scholar] [CrossRef]
- Simões, V.G.; Lyazrhi, F.; Picard-Hagen, N.; Gayrard, V.; Martineau, G.-P.; Waret-Szkuta, A. Variations in the vulvar temperature of sows during proestrus and estrus as determined by infrared thermography and its relation to ovulation. Theriogenology 2014, 82, 1080–1085. [Google Scholar] [CrossRef] [PubMed]
- Luño, V.; Gil, L.; Jerez, R.; Malo, C.; González, N.; Grandía, J.; Blas, I. Determination of ovulation time in sows based on skin temperature and genital electrical resistance changes. Veter. Rec. 2013, 172, 579. [Google Scholar] [CrossRef] [PubMed]
- Cook, N.; Bench, C.; Liu, T.; Chabot, B.; Schaefer, A.L. The automated analysis of clustering behaviour of piglets from thermal images in response to immune challenge by vaccination. Animal 2018, 12, 122–133. [Google Scholar] [CrossRef] [PubMed]
- Caldara, F.R.; Santos, L.S.; Machado, S.T.; Moi, M.; Alencar Nääs, I.; Foppa, L.; Garcia, R.G.; Santos, R.K.S. Piglets’ surface temperature change at different weights at birth. Asian Australas J. Anim. Sci. 2014, 27, 431–438. [Google Scholar] [CrossRef] [PubMed]
- Mostaço, G.M.; Miranda, K.O.; Condotta, I.C.F.S.; Salgado, D.D.A. Determination of piglets’ rectal temperature and respiratory rate through skin surface temperature under climatic chamber conditions. Eng. Agrícola 2015, 35, 979–989. [Google Scholar]
- Siewert, C.; Dänicke, S.; Kersten, S.; Brosig, B.; Rohweder, D.; Beyerbach, M.; Seifert, H. Difference method for analysing infrared images in pigs with elevated body temperatures. Z. für Med. Phys. 2014, 24, 6–15. [Google Scholar] [CrossRef]
- Traulsen, I.; Naunin, K.; Mueller, K.; Krieter, J. Application of infrared thermography to measure body temperature of sows. Züchtungskunde 2010, 82, 437–446. [Google Scholar]
- Vicente-Perez, R.; Avendano-Reyes, L.; Mejia-Vazquez, A.; Álvarez-Valenzuela, F.D.; Correa-Calderon, A.; Mellado, M.; Meza-Herrera, C.A.; Guerra-Liera, J.E.; Robinson, P.; Macias-Cruz, U. Prediction of rectal temperature using non-invasive physiologic variable measurements in hair pregnant ewes subjected to natural conditions of heat stress. J. Therm. Biol. 2016, 55, 1–6. [Google Scholar] [CrossRef]
- Fialho, F.; Bucklin, R.; Zazueta, F.; Myer, R.O. Theoretical model of heat balance in pigs. Anim. Sci. 2004, 79, 121–134. [Google Scholar] [CrossRef]
- Li, H.; Rong, L.; Zhang, G. Study on convective heat transfer from pig models by CFD in a virtual wind tunnel. Comput. Electron. Agric. 2016, 123, 203–210. [Google Scholar] [CrossRef]
- Soerensen, D.D.; Pedersen, L.J. Infrared skin temperature measurements for monitoring health in pigs: A review. Acta Veter Scand. 2015, 57, 5. [Google Scholar] [CrossRef] [PubMed]
- Wang, K.; Miao, X.; Cui, S.; Hogenboom, C.M.; Geers, R. Effects of Ambient Temperature and Relative Humidity on Physiological Parameters and Performance of Growing pigs. Trans. Chin. Soc. Agric. Eng. 2002, 18, 99–102. [Google Scholar]
- Chung, T.; Jung, W.; Nam, E.; Kim, J.; Park, S.; Hwang, C.-Y. Comparison of Rectal and Infrared Thermometry for Obtaining Body Temperature of Gnotobiotic Piglets in Conventional Portable Germ Free Facility. Asian-Australas J. Anim. Sci. 2010, 23, 1364–1368. [Google Scholar] [CrossRef]
- Zhang, K.; Jiao, L.; Zhao, X.; Dong, D. An instantaneous approach for determining the infrared emissivity of swine surface and the influencing factors. J. Therm. Biol. 2016, 57, 78–83. [Google Scholar] [CrossRef]
- Soerensen, D.D.; Clausen, S.; Mercer, J.B.; Pedersen, L. Determining the emissivity of pig skin for accurate infrared thermography. Comput. Electron. Agric. 2014, 109, 52–58. [Google Scholar] [CrossRef]
- Zhou, L.P.; Chen, Z.; Chen, D.; Yuan, Y.W.; Li, Y.S.; Zheng, J.H. Pig Ear Root Detection Based on Adaptive Otsu. Trans. Chin. Soc. Agric. Mach. 2016, 47, 228–232. [Google Scholar]
- Tattersall, G.J.; Milsom, W.K. Transient peripheral warming accompanies the hypoxic metabolic response in the golden-mantled ground squirrel. J. Exp. Biol. 2003, 206, 33–42. [Google Scholar] [CrossRef]
- Xia, Z.W.; Mao, K.J.; Wei, S.B.; Wang, X.T.; Fang, Y.Y.; Yang, S.P. Application of genetic algorithm-support vector regression model to predict damping of cantilever beam with particle damper. J. Low Freq. Noise Vib. Act. Control. 2017, 36, 138–147. [Google Scholar] [CrossRef]
- Lan, Y.B.; Zhu, Z.H.; Deng, X.L.; Lian, B.Z.; Huang, J.Y.; Huang, Z.X.; Hu, J. Monitoring and classification of citrus Huanglongbing based on UAV hyperspectral remote sensing. Trans. Chin. Soc. Agric. Eng. 2019, 35, 92–100. [Google Scholar]
- Feng, H.K.; Tang, F.Q.; Yang, G.J.; Li, Z.H.; Pei, H.J.; Xing, H.M. Estimation of chlorophyll content in apple leaves base on spectral feature parameters. Trans. Chin. Soc. Agric. Eng. 2018, 34, 182–188. [Google Scholar]
- Belgiu, M.; Dragut, L. Random forest in remote sensing: A review of applications and future directions. Isprs J. Photogramm. Remote Sens. 2016, 114, 24–31. [Google Scholar] [CrossRef]
- Li, P.; Niu, Z.Y.; Tan, H.Q.; Zhang, W.J.; HuangPu, J.X. Multi-feature data fusion optimization of sensor array of electronic nose for fish meal quality detection. Trans. Chin. Soc. Agric. Eng. 2019, 35, 313–320. [Google Scholar]
- Lu, T.; Xue, Y.; Kong, W.B.; Shen, Y.C.; Cao, X.; Wang, Q.; Ferran, M. Application of Back Propagation Neural Network Model in Prediction and Diagnosis of Osteoporosis. J. Med. Imaging Health Inf. 2020, 10, 1905–1911. [Google Scholar] [CrossRef]
- Wang, D.C.; Fang, T.J.; Gao, L.F.; Ma, Y.J. Support vector machines regression on-line modellingand its application. Control Decis. 2003. [Google Scholar] [CrossRef]
- Chang, C.C.; Lin, C.J. LIBSVM: A library for support vector machines. ACM Trans. Intell. Syst. Technol. 2011, 2, 1–27. [Google Scholar] [CrossRef]
- Breiman, L.J.M.l. Random forests. Mach. Learn. 2001, 45, 5–32. [Google Scholar] [CrossRef]
- Shi, H.X.; Meng, X.Z.; You, Y.C.; Zhang, Z.H.; OuYang, S.C.; Ren, Y.K. Prediction and verification on heating load of ground source heat pump heating system based on BP neural network for plant factory. Trans. Chin. Soc. Agric. Eng. 2019, 35, 196–202. [Google Scholar]
- Loughmiller, J.A.; Spire, M.F.; Dritz, S.S.; Fenwick, B.W.; Hosni, M.H.; Hogge, S.B. Relationship between mean body surface temperature measured by use of infrared thermography and ambient temperature in clinically normal pigs and pigs inoculated with Actinobacillus pleuropneumoniae. Am. J. Vet. Res. 2001, 62, 676–681. [Google Scholar] [CrossRef]
- Wendt, M.; Eickhoff, K.; Koch, R. Measuring of the skin temperature as a method to detect pigs with elevated body temperature. Dtsch. Tierarztl. Wochenschr. 1997, 104, 29–33. [Google Scholar]





| Indicator | Maximum | Minimum | Mean | Standard Error | Air Temperature Correlation | Humidity Correlation |
|---|---|---|---|---|---|---|
| Tback (°C) | 38.73 | 35.18 | 36.81 | 0.73 | 0.52 ** | −0.21 ** |
| Tvulva (°C) | 38.76 | 33.77 | 36.95 | 0.84 | 0.13 | 0.07 |
| Teye (°C) | 38.86 | 36.24 | 37.43 | 0.48 | 0.32 ** | −0.25 ** |
| Tear (°C) | 39.12 | 36.10 | 37.47 | 0.64 | 0.28 ** | 0.03 |
| Tair (°C) | 33.10 | 26.00 | 28.97 | 1.52 | — | −0.81 ** |
| RHair (%) | 91.80 | 62.00 | 76.09 | 7.77 | −0.81 ** | — |
| Prediction Result of Models Integrating Environmental Factors | Prediction Result of Models without Integrating Environmental Factors | |||||||
|---|---|---|---|---|---|---|---|---|
| Model | MaxAE (°C) | MAE (°C) | RMSE (°C) | r | MaxAE (°C) | MAE (°C) | RMSE (°C) | r |
| BPNN | 0.656 | 0.142 | 0.183 | 0.823 ** | 0.934 | 0.228 | 0.299 | 0.458 ** |
| RF | 0.569 | 0.126 | 0.164 | 0.856 ** | 0.745 | 0.193 | 0.250 | 0.616 ** |
| GA-SVR | 0.478 | 0.124 | 0.159 | 0.863 ** | 0.855 | 0.207 | 0.272 | 0.518 ** |
| Mean | 0.568 | 0.131 | 0.169 | 0.847 | 0.845 | 0.209 | 0.274 | 0.518 |
© 2020 by the authors. Licensee MDPI, Basel, Switzerland. This article is an open access article distributed under the terms and conditions of the Creative Commons Attribution (CC BY) license (http://creativecommons.org/licenses/by/4.0/).
Share and Cite
Jia, G.; Li, W.; Meng, J.; Tan, H.; Feng, Y. Non-Contact Evaluation of Pigs’ Body Temperature Incorporating Environmental Factors. Sensors 2020, 20, 4282. https://doi.org/10.3390/s20154282
Jia G, Li W, Meng J, Tan H, Feng Y. Non-Contact Evaluation of Pigs’ Body Temperature Incorporating Environmental Factors. Sensors. 2020; 20(15):4282. https://doi.org/10.3390/s20154282
Chicago/Turabian StyleJia, Guifeng, Wei Li, Junyu Meng, Hequn Tan, and Yaoze Feng. 2020. "Non-Contact Evaluation of Pigs’ Body Temperature Incorporating Environmental Factors" Sensors 20, no. 15: 4282. https://doi.org/10.3390/s20154282
APA StyleJia, G., Li, W., Meng, J., Tan, H., & Feng, Y. (2020). Non-Contact Evaluation of Pigs’ Body Temperature Incorporating Environmental Factors. Sensors, 20(15), 4282. https://doi.org/10.3390/s20154282

