Application of an Automated Digital Image-Processing Method for Quantitative Assessment of Cracking Patterns in a Lime Cement Matrix
Abstract
1. Introduction
2. Description of Experiments
2.1. Materials and Preparation of Specimens
2.2. Thermal-Loading Process
2.3. Determination of Basic Mechanical Properties
2.4. Cracking Patterns Detection and Analysis
2.4.1. Image Double-Segmentation Method
- verification of the original image position—during the scanning process, the position of the longitudinal axis of the sample was attempted parallel to the scanning crosshead; in case of deviation from this assumption, the rotation correction was performed digitally;
- definition of the fixed analysis area—individual samples may have differed slightly in dimensions as the cement matrix was subjected to thermal deformations, and in addition there may have been slight deviations between the dimensions of the moulds; for quantitative analysis of the cracking patterns to be correct a fixed analysis area had to be adopted, which was defined as 157 mm × 38.5 mm rectangle; each individual image was cropped to this dimension;
- creation of a digital grayscale image—at this stage, the image was converted from the original red, green and blue (RGB) mode to the 8-bit grayscale;
- implementation of the sharpen filter—in order to sharpen the image for analysis, the sharpen filter built into the ImageJ was used, which slightly increases contrast and accentuates details on the image; the disadvantage of the filter is also a slight accentuation of possible noise; the filter works by replacing each single pixel with a 3 × 3 pixel weighted average according to the following weight:
- the first stage of the image segmentation—at this stage, using TWS, a first stage segmentation pattern was created; the purpose of segmentation was to classify all pixels forming the image into two defined classes, i.e., cracks—class 1, background—class 2; the following training features were used: the difference of Gaussians, Sobel filter, membrane projections, hessian, and Gaussian blur; the membrane thickness was set to 1, the membrane patch size—19, minimum sigma—1.0, maximum sigma—16.0; for teaching the classifier of the first stage two random surface fragments (one each of CP32.5 and CP32.5 + M series) with dimensions of 1000 px × 1000 px each were used;
- creating a binary image after the first stage of segmentation, where the cracks were classified as black (0 on the histogram) and the remaining area as white background (255 on the histogram);
- creating a base image for the second stage of segmentation—for this purpose, two different characters of the same image were added together, i.e., the first character—the image resulting from the first stage of segmentation; the second character—the primary image on an 8-bit greyscale, contrasted in such a way that the maximum of the range of the new histogram was in the value of the gradient for which the primary histogram reaches its maximum counts, while the minimum value of the histogram range remains unchanged;
- the second stage of the image segmentation—carried out on a previously made base image; the classifier of the second stage of segmentation was developed on the same surface fragments as the classifier of the first stage; the same settings of training features as during the first stage were used to teach the classifier;
- creating a final binary image showing the cracking patterns (black pixels) separated from the rest of the sample (white pixels).
2.4.2. Determination of Cracking Patterns Parameters
- total crack area—TCA;
- crack density—CD;
- fractal dimension of cracking patterns—CP-DB.
- —area occupied by cracks [px], i.e., number of black pixels (0 on the histogram);
- —total area of the analyzed area [px]; in each case, the analyzed area had dimensions of 157 mm × 38.5 mm, i.e., 7418 px × 1819 px (the scanning resolution—1200 DPI); = 13,493,342 px;
- —a multiplier to show the result in .
- —length of the test line; length of the analyzed surface in the longitudinal direction;
- ;
- —number of cracks intersecting the i-th test line;
- —number of test lines on a single sample; .
- —number of boxes containing significant pixels at different grid sizes,
- —size of the grid.
3. Experimental Results
3.1. Mechanical Properties of Cement Matrix—fc, fcf, fcf/fc
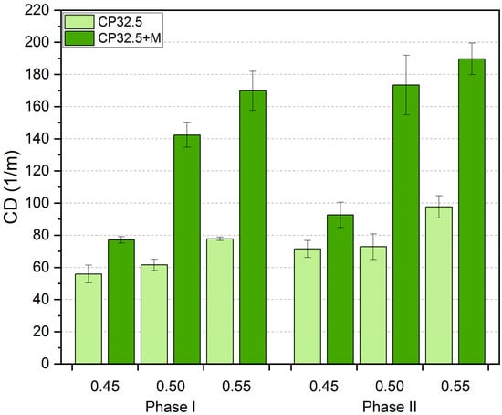
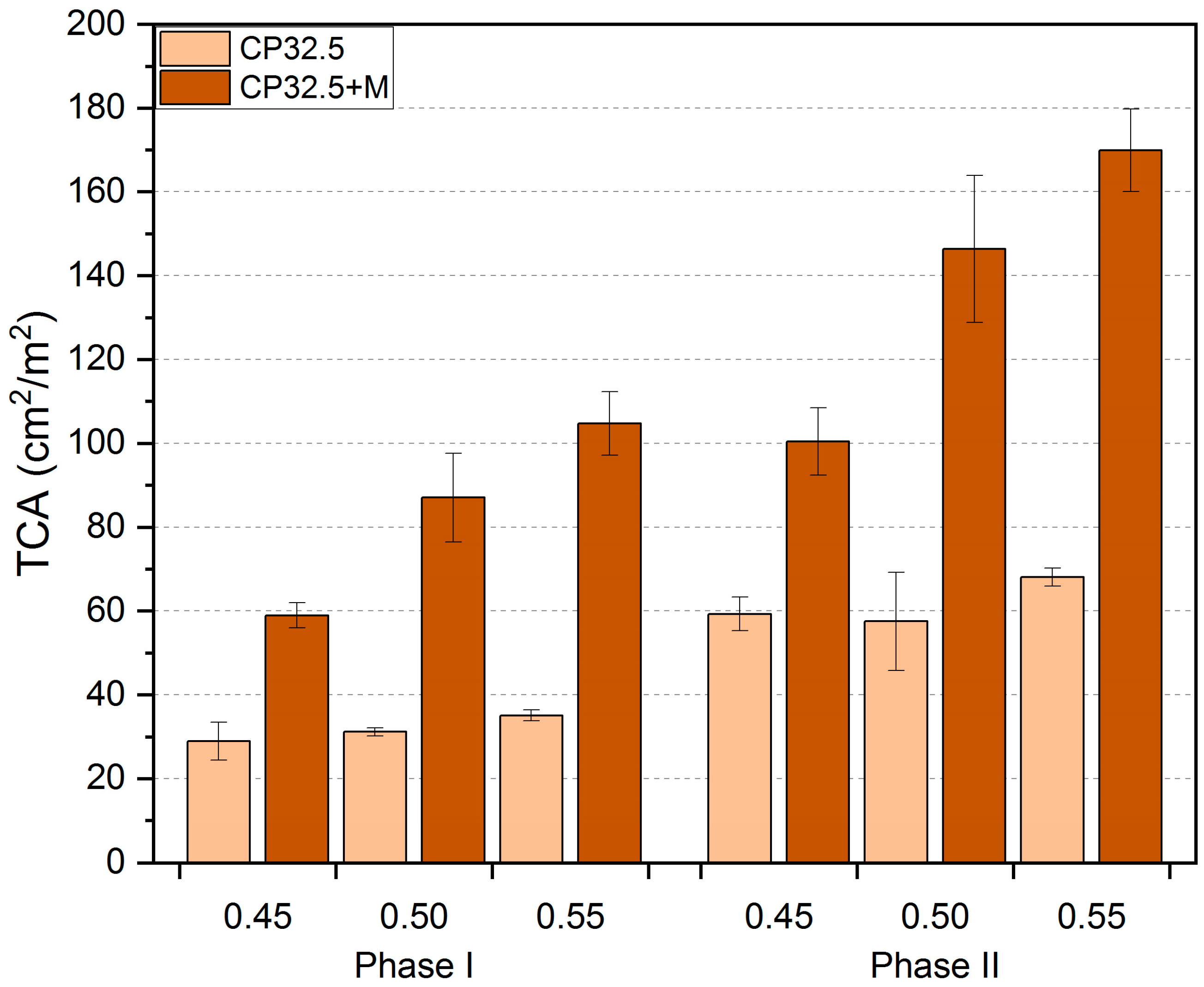
3.2. Cracking Patterns Characteristics—Total Crack Area (TCA), Crack Density (CD), and Fractal Dimension of Cracking Patterns (CP-DB)
4. Discussion
4.1. Mechanical Properties of Thermally Loaded Cement Matrix
4.2. Morphological Characterization of Cracking Patterns
4.3. Relationship between Cracking Patterns Properties and Mechanical Features—Estimation Possibilities
5. Summary and Conclusions
Funding
Acknowledgments
Conflicts of Interest
References
- Ibragimov, R.; Fediuk, R. Improving the early strength of concrete: Effect of mechanochemical activation of the cementitious suspension and using of various superplasticizers. Constr. Build. Mater. 2019, 226, 839–848. [Google Scholar] [CrossRef]
- Fediuk, R.; Timokhin, R.; Mochalov, A.; Otsokov, K.; Lashina, I. Performance Properties of High-Density Impermeable Cementitious Paste. J. Mater. Civ. Eng. 2019, 31. [Google Scholar] [CrossRef]
- Aydin, F.; Saribiyik, M. Correlation between Schmidt Hammer and destructive compressions testing for concretes in existing buildings. Sci. Res. Essays 2010, 5, 1644–1648. [Google Scholar]
- Brencich, A.; Cassini, G.; Pera, D.; Riotto, G. Calibration and reliability of the rebound (Schmidt) hammer test. Civ. Eng. Archit. 2013, 1, 66–78. [Google Scholar]
- Kwon, Y.-W.; Park, S.-C.; Kim, M.-S. Strength prediction equations for high strength concrete by Schmidt Hammer Test. J. Korea Concr. Inst. 2006, 18, 389–395. [Google Scholar]
- Sanchez, K.; Tarranza, N. Reliability of rebound hammer test in concrete compressive strength estimation. Int. J. Adv. Agric. Environ. Eng. 2014, 1, 198–202. [Google Scholar]
- Hobbs, B.; Kebir, M. Non-destructive testing techniques for the forensic engineering investigation of reinforced concrete buildings. Forensic Sci. Int. 2007, 167, 167–172. [Google Scholar] [CrossRef]
- Magalhaes, M.; Toledo, R.; Fairbairn, E. Thermal stability of PVA fiber strain hardening cement-based composites. Constr. Build. Mater. 2015, 94, 437–447. [Google Scholar] [CrossRef]
- Khan, I.; Francois, R.; Castel, A. Prediction of reinforcement corrosion using corrosion induced cracks width in corroded reinforced concrete beams. Cem. Concr. Res. 2014, 56, 84–96. [Google Scholar] [CrossRef]
- Ammouche, A.; Breysse, D.; Hornain, H.; Didry, O.; Marchand, J. A new image analysis technique for the quantitative assessment of microcracks in cement-based materials. Cem. Concr. Res. 2000, 30, 25–35. [Google Scholar] [CrossRef]
- Szelag, M. Evaluation of cracking patterns of cement paste containing polypropylene fibers. Compos. Struct. 2019, 220, 402–411. [Google Scholar] [CrossRef]
- Szelag, M. Properties of cracking patterns of multi-walled carbon nanotube-reinforced cement matrix. Materials 2019, 12, 2942. [Google Scholar] [CrossRef] [PubMed]
- Szelag, M. Development of Cracking Patterns in Modified Cement Matrix with Microsilica. Materials 2018, 11, 1928. [Google Scholar] [CrossRef] [PubMed]
- Tosun-Felekoglu, K.; Felekoglu, B. Effects of fibre hybridization on multiple cracking potential of cement-based composites under flexural loading. Constr. Build. Mater. 2013, 41, 15–20. [Google Scholar] [CrossRef]
- Georgali, B.; Tsakiridis, P. Microstructure of fire-damaged concrete. A case study. Cem. Concr. Compos. 2005, 27, 255–259. [Google Scholar] [CrossRef]
- Banthia, N.; Azzabi, M.; Pigeon, M. Restrained shrinkage cracking in fiber-reinforced cementitious composites. Mater. Struct. 1993, 26, 405–413. [Google Scholar] [CrossRef]
- Szelag, M. The Influence of Metakaolinite on the Development of Thermal Cracks in a Cement Matrix. Materials 2018, 11, 520. [Google Scholar] [CrossRef]
- Fediuk, R.; Yushin, A. Modern technologies of nondestructive testing of construction materials. In Proceedings of the В Cбoрнике: IOP Conference Series: Materials Science and Engineering 4. Сер. “IV International Conference on Modern Technologies for Non-Destructive Testing”, Tomsk, Russia, 5–10 October 2015; p. 012001. [Google Scholar]
- Acosta, J.A.; Figueroa, J.L.; Mullen, R.L. Low-cost video image processing system for evaluating pavement surface distress. Transp. Res. Rec. 1992, 1348, 63–72. [Google Scholar]
- Tang, J.; Gu, Y. Automatic crack detection and segmentation using a hybrid algorithm for road distress analysis. In Proceedings of the IEEE International Conference on Systems, Man, and Cybernetics, Manchester, UK, 13–16 October 2013; pp. 3026–3030. [Google Scholar]
- Otsu, N. A threshold selection method from gray-level histograms. IEEE Trans. Syst. Man Cybern. 1979, 9, 62–66. [Google Scholar] [CrossRef]
- Vala, H.J.; Baxi, A. A review on Otsu image segmentation algorithm. Int. J. Adv. Res. Comput. Eng. Technol. (IJARCET) 2013, 2, 387–389. [Google Scholar]
- Talab, A.; Huang, Z.; Xi, F.; Liu, H. Detection crack in image using Otsu method and multiple filtering in image processing techniques. Optik 2016, 127, 1030–1033. [Google Scholar] [CrossRef]
- Tomikawa, T. A study of road crack detection by the meta-genetic algorithm. In Proceedings of the IEEE Africon. 5th Africon Conference in Africa (Cat. No. 99CH36342), Cape Town, South Africa, 28 September–1 October 1999; pp. 543–548. [Google Scholar]
- Cheng, H.; Chen, J.; Glazier, C.; Hu, Y. Novel approach to pavement cracking detection based on fuzzy set theory. J. Comput. Civ. Eng. 1999, 13, 270–280. [Google Scholar] [CrossRef]
- Amhaz, R.; Chambon, S.; Idier, J.; Baltazart, V. Automatic Crack Detection on Two-Dimensional Pavement Images: An Algorithm Based on Minimal Path Selection. IEEE Trans. Intell. Transp. Syst. 2016, 17, 2718–2729. [Google Scholar] [CrossRef]
- Yu, S.; Jang, J.; Han, C. Auto inspection system using a mobile robot for detecting concrete cracks in a tunnel. Autom. Constr. 2007, 16, 255–261. [Google Scholar] [CrossRef]
- Perkowski, Z.; Tatara, K. The Use of Dijkstra’s Algorithm in Assessing the Correctness of Imaging Brittle Damage in Concrete Beams by Means of Ultrasonic Transmission Tomography. Materials 2020, 13, 551. [Google Scholar] [CrossRef] [PubMed]
- Oliveira, H.; Correia, P.L. Supervised strategies for cracks detection in images of road pavement flexible surfaces. In Proceedings of the 16th European Signal Processing Conference, Lausanne, Switzerland, 25–29 August 2008; pp. 1–5. [Google Scholar]
- Cord, A.; Chambon, S. Automatic Road Defect Detection by Textural Pattern Recognition Based on AdaBoost. Comput.-Aided Civ. Infrastruct. Eng. 2012, 27, 244–259. [Google Scholar] [CrossRef]
- Bray, J.; Verma, B.; Li, X.; He, W. A neural network based technique for automatic classification of road cracks. In Proceedings of the IEEE International Joint Conference on Neural Network Proceedings, Vancouver, BC, Canada, 16–21 July 2006; pp. 907–912. [Google Scholar]
- Liu, S.; Huang, J.; Sung, J.; Lee, C. Detection of cracks using neural networks and computational mechanics. Comput. Methods Appl. Mech. Eng. 2002, 191, 2831–2845. [Google Scholar] [CrossRef]
- Lee, B.; Lee, H. Position-invariant neural network for digital pavement crack analysis. Computer-Aided Civ. Infrastruct. Eng. 2004, 19, 105–118. [Google Scholar] [CrossRef]
- Golewski, G. Measurement of fracture mechanics parameters of concrete containing fly ash thanks to use of Digital Image Correlation (DIC) method. Measurement 2019, 135, 96–105. [Google Scholar] [CrossRef]
- Golewski, G. Estimation of the optimum content of fly ash in concrete composite based on the analysis of fracture toughness tests using various measuring systems. Constr. Build. Mater. 2019, 213, 142–155. [Google Scholar] [CrossRef]
- Wu, Z.; Rong, H.; Zheng, J.; Xu, F.; Dong, W. An experimental investigation on the FPZ properties in concrete using digital image correlation technique. Eng. Fract. Mech. 2011, 78, 2978–2990. [Google Scholar] [CrossRef]
- Choi, S.; Shah, S. Measurement of deformations on concrete subjected to compression using image correlation. Exp. Mech. 1997, 37, 307–313. [Google Scholar] [CrossRef]
- Kuntz, M.; Jolin, M.; Bastien, J.; Perez, F.; Hild, F. Digital image correlation analysis of crack behavior in a reinforced concrete beam during a load test. Can. J. Civ. Eng. 2006, 33, 1418–1425. [Google Scholar] [CrossRef]
- Hlobil, M.; Smilauer, V.; Chanvillard, G. Micromechanical multiscale fracture model for compressive strength of blended cement pastes. Cem. Concr. Res. 2016, 83, 188–202. [Google Scholar] [CrossRef]
- Kurumatani, M.; Terada, K.; Kato, J.; Kyoya, T.; Kashiyama, K. An isotropic damage model based on fracture mechanics for concrete. Eng. Fract. Mech. 2016, 155, 49–66. [Google Scholar] [CrossRef]
- Recho, N. Fracture Mechanics and Crack Growth; John Wiley & Sons: Hoboken, NJ, USA, 2012. [Google Scholar]
- Pushkar, N.V.; Al-Amery, H.J.S.; Bakir, S.Y. Technological Damage of Concrete Reinforced by Polypropylene Fiber. Ovidius Univ. Ann. Ser. Civ. Eng. 2013, 79–82. [Google Scholar]
- Xu, Y.; Wong, Y.; Poon, C.; Anson, M. Influence of PFA on cracking of concrete and cement paste after exposure to high temperatures. Cem. Concr. Res. 2003, 33, 2009–2016. [Google Scholar] [CrossRef]
- Bisschop, J.; Wittel, F. Contraction gradient induced microcracking in hardened cement paste. Cem. Concr. Compos. 2011, 33, 466–473. [Google Scholar] [CrossRef]
- Szelag, M. Influence of specimen’s shape and size on the thermal cracks’ geometry of cement paste. Constr. Build. Mater. 2018, 189, 1155–1172. [Google Scholar] [CrossRef]
- Prochoń, P.; Piotrowski, T. Bound water content measurement in cement pastes by stoichiometric and gravimetric analyses. J. Build. Chem. 2016, 1, 18–25. [Google Scholar]
- Naus, D.J. The Effect of Elevated Temperature on Concrete Materials and Structures—A Literature Review (No. ORNL/TM-2005/533); Oak Ridge National Laboratory: Oak Ridge, TN, USA, 2006. [Google Scholar]
- Hager, I. Behaviour of cement concrete at high temperature. Bull. Pol. Acad. Sci.-Tech. Sci. 2013, 61, 145–154. [Google Scholar] [CrossRef]
- Comite Europeen de Normalisation. EN 12390–5: Testing Hardened Concrete—Part 5: Flexural Strength of Test Specimens; Comite Europeen de Normalisation: Brussels, Belgium, 2019. [Google Scholar]
- Comite Europeen de Normalisation. EN 12390-3: Testing Hardened Concrete—Part 3: Compressive Strength of Test Specimens; Comite Europeen de Normalisation: Brussels, Belgium, 2019. [Google Scholar]
- Stefańczyk, B. Budownictwo Ogólne: Materiały i Wyroby Budowlane; Arkady: Warszawa, Poland, 2005. [Google Scholar]
- Collins, T. ImageJ for microscopy. Biotechniques 2007, 43, 25. [Google Scholar] [CrossRef] [PubMed]
- Basyigit, C.; Comak, B.; Kilincarslan, S.; Uncu, I. Assessment of concrete compressive strength by image processing technique. Constr. Build. Mater. 2012, 37, 526–532. [Google Scholar] [CrossRef]
- Mazzoli, A.; Monosi, S.; Plescia, E. Evaluation of the early-age-shrinkage of Fiber Reinforced Concrete (FRC) using image analysis methods. Constr. Build. Mater. 2015, 101, 596–601. [Google Scholar] [CrossRef]
- Schindelin, J.; Rueden, C.; Hiner, M.; Eliceiri, K. The ImageJ ecosystem: An open platform for biomedical image analysis. Mol. Reprod. Dev. 2015, 82, 518–529. [Google Scholar] [CrossRef]
- Arganda-Carreras, I.; Kaynig, V.; Rueden, C.; Eliceiri, K.; Schindelin, J.; Cardona, A.; Seung, H. Trainable Weka Segmentation: A machine learning tool for microscopy pixel classification. Bioinformatics 2017, 33, 2424–2426. [Google Scholar] [CrossRef]
- Farhidzadeh, A.; Dehghan-Niri, E.; Moustafa, A.; Salamone, S.; Whittaker, A. Damage Assessment of Reinforced Concrete Structures Using Fractal Analysis of Residual Crack Patterns. Exp. Mech. 2013, 53, 1607–1619. [Google Scholar] [CrossRef]
- Zhuang, N.; Dong, H.; Zhou, Y.; Chen, D. Cracking behavior of reinforced concrete piles externally bonded with carbon fiber reinforced polymer in a marine environment. Constr. Build. Mater. 2018, 190, 1154–1162. [Google Scholar] [CrossRef]
- Fooladi, A.; Banan, M. Multifractal Analysis of Crack Propagation in Concrete Specimens Considering the Influence of the Aggregates’ Grading. Iran. J. Sci. Technol.-Trans. Civ. Eng. 2016, 40, 97–108. [Google Scholar] [CrossRef]
- Mandelbrot, B.B. The Fractal Geometry of Nature; WH Freeman: New York, NY, USA, 1983; Volume 173. [Google Scholar]
- Mandelbrot, B.B. Fractals: Form, Chance, and Dimension; WH Freeman: San Francisco, CA, USA, 1977; Volume 706. [Google Scholar]
- Karperien, A. FracLac for ImageJ. 1999–2013. Available online: http://rsb.info.nih.gov/ij/plugins/fraclac/FLHelp/Introduction.htm (accessed on 1 February 2020).
- Bentz, D.; Aitcin, P.C. The hidden meaning of the water-to-cement ratio. Concr. Int. 2008, 30, 51–54. [Google Scholar]
- Labbez, C.; Nonat, A.; Pochard, I.; Jonsson, B. Experimental and theoretical evidence of overcharging of calcium silicate hydrate. J. Colloid Interface Sci. 2007, 309, 303–307. [Google Scholar] [CrossRef] [PubMed]
- Jonsson, B.; Wennerstrom, H.; Nonat, A.; Cabane, B. Onset of cohesion in cement paste. Langmuir 2004, 20, 6702–6709. [Google Scholar] [CrossRef] [PubMed]
- Pellenq, R.; Crespin, M.; Lequeux, N.; Menager, C.; Costalin, L.; Delville, A.; Caillol, J.; van Damme, H.; Nonat, A. A (NVT) Monte-Carlo study of the stability of charged interfaces, application to cement and clay minerals. In Proceedings of the 2nd International Rilem Workshop on Hydration and Setting, Dijon, France, 11–13 June 1997; Volume 13, pp. 63–86. [Google Scholar]
- Comite Europeen de Normalisation. EN 197-1: Cement: Composition, Specifications and Conformity Criteria for Common Cements; Comite Europeen de Normalisation: Brussels, Belgium, 2000. [Google Scholar]
- Sadowski, T.; Golewski, G. A failure analysis of concrete composites incorporating fly ash during torsional loading. Compos. Struct. 2018, 183, 527–535. [Google Scholar] [CrossRef]
- Golewski, G. Green concrete composite incorporating fly ash with high strength and fracture toughness. J. Clean. Prod. 2018, 172, 218–226. [Google Scholar] [CrossRef]












| Series | w/c | fc(R) [MPa] | fc(T) [MPa] | Difference between fc(R) and fc(T) [%] | fcf(R) [MPa] | fcf(T) [MPa] | Difference between fcf(R) and fcf(T) [%] | fcf(R)/fc(R) | fcf(T)/fc(T) | Difference between fcf(R)/fc(R) and fcf(T)/fc(T) [%] |
|---|---|---|---|---|---|---|---|---|---|---|
| CP32.5 | 0.45 | 56.34 | 35.86 | −36.3 | 5.41 | 1.61 | −70.2 | 0.096 | 0.045 | −53.2 |
| 0.50 | 45.50 | 28.07 | −38.3 | 4.82 | 1.23 | −74.6 | 0.106 | 0.044 | −58.8 | |
| 0.55 | 37.66 | 17.36 | −53.9 | 4.17 | 1.02 | −75.6 | 0.111 | 0.059 | −47.0 | |
| CP32.5 + M | 0.45 | 64.40 | 42.53 | −34.0 | 4.38 | 1.06 | −75.8 | 0.068 | 0.025 | −63.3 |
| 0.50 | 56.90 | 39.61 | −30.4 | 3.63 | 0.74 | −79.6 | 0.064 | 0.019 | −70.7 | |
| 0.55 | 49.24 | 28.78 | −41.6 | 2.60 | 0.66 | −74.4 | 0.053 | 0.023 | −56.2 |
| Series | w/c | fc(R) [%] | fc(T) [%] | fcf(R) [%] | fcf(T) [%] |
|---|---|---|---|---|---|
| CP32.5 | 0.45 | 3.0 | 3.0 | 8.7 | 4.0 |
| 0.50 | 4.3 | 9.4 | 8.1 | 9.6 | |
| 0.55 | 6.4 | 8.8 | 8.5 | 10.8 | |
| CP32.5 + M | 0.45 | 6.6 | 5.4 | 8.8 | 2.1 |
| 0.50 | 2.2 | 4.0 | 3.9 | 10.5 | |
| 0.55 | 5.8 | 6.0 | 9.4 | 8.2 |
| Series | w/c | Difference in TCA, CD, and CP-DB after Second Phase of the Thermal Load with Respect to the First Phase [%] | ||
|---|---|---|---|---|
| TCA | CD | CP-DB | ||
| CP32.5 | 0.45 | +104.7 | +27.8 | +11.1 |
| 0.50 | +84.5 | +18.4 | +9.9 | |
| 0.55 | +94.1 | +25.5 | +11.2 | |
| CP32.5 + M | 0.45 | +70.4 | +20.2 | +6.3 |
| 0.50 | +68.1 | +21.9 | +5.4 | |
| 0.55 | +62.2 | +11.7 | +4.1 | |
| Pearson Correlations (r) | Spearman Correlations (ρ) | |||||||||||
|---|---|---|---|---|---|---|---|---|---|---|---|---|
| fc(R) | fc(T) | fcf(R) | fcf(T) | fcf(R)/fc(R) | fcf(T)/fc(T) | fc(R) | fc(T) | fcf(R) | fcf(T) | fcf(R)/fc(R) | fcf(T)/fc(T) | |
| TCA(P1) | 0.25 | 0.27 | −0.82 * | −0.81 * | −0.87 * | −0.78 * | 0.25 | 0.25 | −0.80 * | −0.82 * | −0.78 * | −0.72 * |
| TCA(P2) | 0.24 | 0.26 | −0.83 * | −0.81 * | −0.86 * | −0.77 * | 0.22 | 0.19 | −0.82 * | −0.87 * | −0.75 * | −0.69 * |
| CD(P1) | 0.04 | 0.06 | −0.87 * | −0.84 * | −0.78 * | −0.65 * | 0.04 | 0.01 | −0.88 * | −0.87 * | −0.68 * | −0.56 * |
| CD(P2) | 0.05 | 0.08 | −0.85 * | −0.84 * | −0.76 * | −0.65 * | 0.06 | 0.01 | −0.86 * | −0.87 * | −0.65 * | −0.54 * |
| CP-DB(P1) | 0.20 | 0.24 | −0.83 * | −0.87 * | −0.83 * | −0.77 * | 0.22 | 0.24 | −0.85 * | −0.88 * | −0.79 * | −0.73 * |
| CP-DB(P2) | 0.16 | 0.18 | −0.83 * | −0.86 * | −0.80 * | −0.71 * | 0.15 | 0.13 | −0.85 * | −0.89 * | −0.69 * | −0.65 * |
© 2020 by the author. Licensee MDPI, Basel, Switzerland. This article is an open access article distributed under the terms and conditions of the Creative Commons Attribution (CC BY) license (http://creativecommons.org/licenses/by/4.0/).
Share and Cite
Szeląg, M. Application of an Automated Digital Image-Processing Method for Quantitative Assessment of Cracking Patterns in a Lime Cement Matrix. Sensors 2020, 20, 3859. https://doi.org/10.3390/s20143859
Szeląg M. Application of an Automated Digital Image-Processing Method for Quantitative Assessment of Cracking Patterns in a Lime Cement Matrix. Sensors. 2020; 20(14):3859. https://doi.org/10.3390/s20143859
Chicago/Turabian StyleSzeląg, Maciej. 2020. "Application of an Automated Digital Image-Processing Method for Quantitative Assessment of Cracking Patterns in a Lime Cement Matrix" Sensors 20, no. 14: 3859. https://doi.org/10.3390/s20143859
APA StyleSzeląg, M. (2020). Application of an Automated Digital Image-Processing Method for Quantitative Assessment of Cracking Patterns in a Lime Cement Matrix. Sensors, 20(14), 3859. https://doi.org/10.3390/s20143859
