Advantages of Highly Spherical Gold Nanoparticles as Labels for Lateral Flow Immunoassay
Abstract
1. Introduction
2. Materials and Methods
2.1. Reagents and Materials
2.2. Synthesis of Gold Nanoparticles Using the Citrate Method
2.3. Synthesis of Spherical Gold Nanoparticles
2.4. Transmission Electron Microscopy (TEM)
2.5. Dynamic Light Scattering (DLS) Measurements of GNPs and Their Conjugates
2.6. Estimation of C-GNPs and S-GNPs Using ICP-MS
2.7. Adsorption Immobilization of Antibodies on GNPs
2.8. Covalent Immobilization of Antibodies on GNPs
2.9. Preparation of Immunochromatographic Test Strips
2.10. Immunochromatographic Assay and Data Processing
3. Results
3.1. Size and Shape Characterization of the Synthesized GNPs
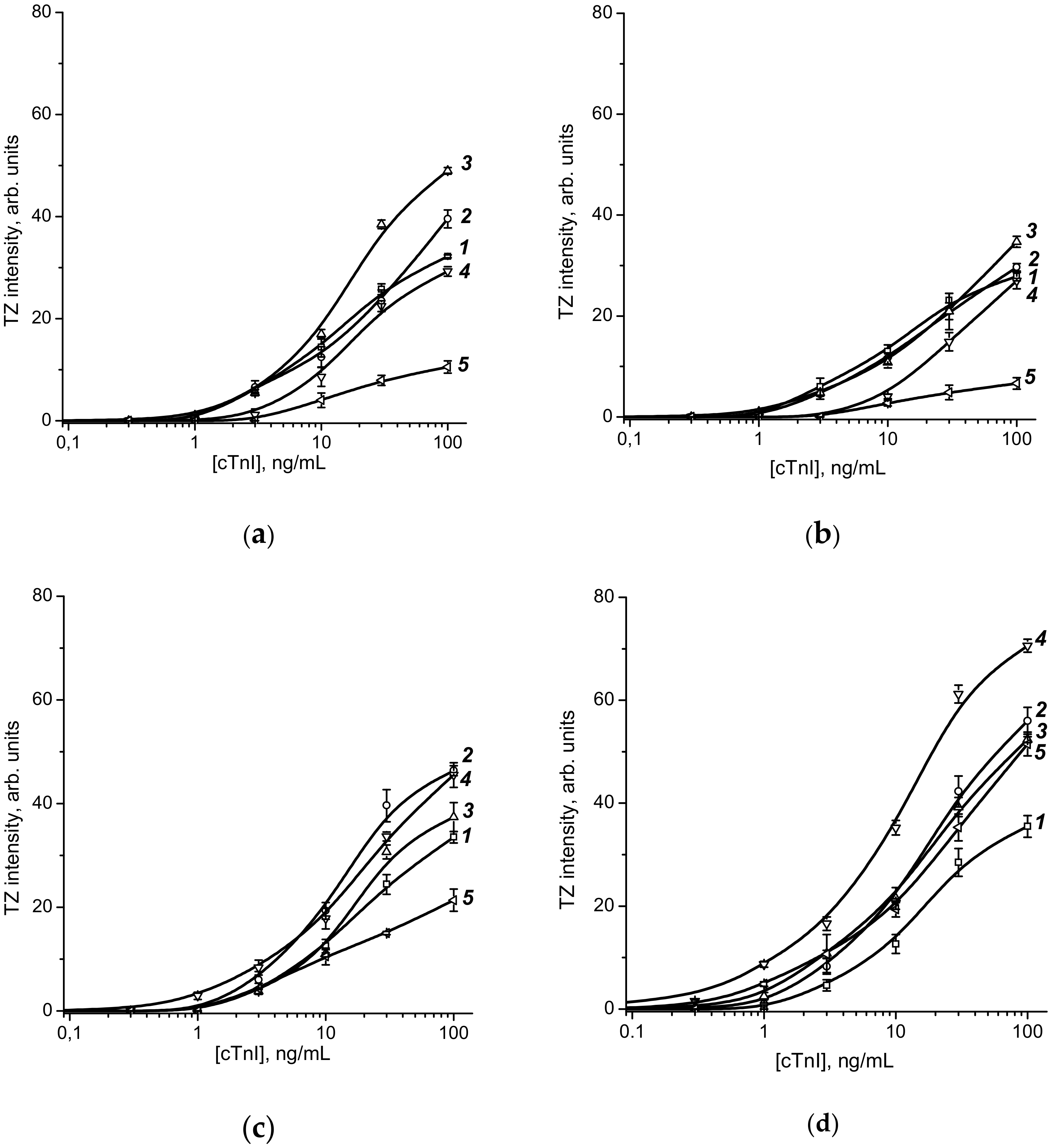
3.2. Immunochromatographic Assay and Data Processing
3.3. Immunochromatographic Assay and Data Processing
4. Conclusions
Supplementary Materials
Author Contributions
Funding
Acknowledgments
Conflicts of Interest
References
- Mak, W.C.; Beni, V.; Turner, A.P.F. Lateral-flow technology: From visual to instrumental. TrAC Trends Anal. Chem. 2016, 79, 297–305. [Google Scholar] [CrossRef]
- Soh, J.H.; Chan, H.M.; Ying, J.Y. Strategies for developing sensitive and specific nanoparticle-based lateral flow assays as point-of-care diagnostic device. Nano Today 2020, 30, 100831. [Google Scholar] [CrossRef]
- Quesada-Gonzalez, D.; Merkoci, A. Nanomaterial-based devices for point-of-care diagnostic applications. Chem. Soc. Rev. 2018, 47, 4697–4709. [Google Scholar] [CrossRef] [PubMed]
- Jiang, N.; Ahmed, R.; Damayantharan, M.; Unal, B.; Butt, H.; Yetisen, A.K. Lateral and vertical flow assays for point-of-care diagnostics. Adv. Healthc. Mater. 2019, 8, 1900244. [Google Scholar] [CrossRef] [PubMed]
- Zhou, Y.; Ding, L.; Wu, Y.H.; Huang, X.L.; Lai, W.H.; Xiong, Y.H. Emerging strategies to develop sensitive AuNP-based ICTS nanosensors. TrAC Trends Anal. Chem. 2019, 112, 147–160. [Google Scholar] [CrossRef]
- Ye, H.H.; Xia, X.H. Enhancing the sensitivity of colorimetric lateral flow assay (CLFA) through signal amplification techniques. J. Mater. Chem. B 2018, 6, 7102–7111. [Google Scholar] [CrossRef] [PubMed]
- Liu, L.Y.; Yang, D.T.; Liu, G.Z. Signal amplification strategies for paper-based analytical devices. Biosens. Bioelectron. 2019, 136, 60–75. [Google Scholar] [CrossRef]
- Zherdev, A.V.; Dzantiev, B.B. Ways to reach lower detection limits of lateral flow immunoassays. In Rapid Test—Advances in Design, Format and Diagnostic Applications; Anfossi, L., Ed.; IntechOpen Limited: London, UK, 2018; pp. 9–43. ISBN 978-1-83881-482-3. [Google Scholar] [CrossRef]
- Dykman, L.; Khlebtsov, N. Gold nanoparticles in biomedical applications: Recent advances and perspectives. Chem. Soc. Rev. 2012, 2256–2282. [Google Scholar] [CrossRef]
- Jans, H.; Huo, Q. Gold nanoparticle-enabled biological and chemical detection and analysis. Chem. Soc. Rev. 2012, 2849–2866. [Google Scholar] [CrossRef]
- Geoghegan, W.D. The effect of 3 variables on adsorption of rabbit IgG to colloidal gold. J. Histochem. Cytochem. 1988, 26, 401–407. [Google Scholar] [CrossRef]
- Tassa, C.; Duffner, J.L.; Lewis, T.A.; Weissleder, R.; Schreiber, S.L.; Koehler, A.N.; Shaw, S.Y. Binding affinity and kinetic analysis of targeted small molecule-modified nanoparticles. Bioconjug. Chem. 2010, 21, 14–19. [Google Scholar] [CrossRef] [PubMed]
- Li, J.; Duan, H.; Xu, P.; Huang, X.L.; Xiong, Y.H. Effect of different-sized spherical gold nanoparticles grown layer by layer on the sensitivity of an immunochromatographic assay. RSC Adv. 2016, 6, 26178–26185. [Google Scholar] [CrossRef]
- Zhan, L.; Guo, S.Z.; Song, F.Y.; Gong, Y.; Xu, F.; Boulware, D.R.; McAlpine, M.C.; Chan, W.C.W.; Bischof, J.C. The role of nanoparticle design in determining analytical performance of lateral flow immunoassays. Nano Lett. 2017, 17, 7207–7212. [Google Scholar] [CrossRef] [PubMed]
- Turkevich, J.; Stevenson, P.C.; Hillier, J. A study of the nucleation and growth processes in the synthesis of colloidal gold. Discuss. Faraday Soc. 1951, 11, 55–75. [Google Scholar] [CrossRef]
- Frens, G. Controlled nucleation for the regulation of the particle size in monodisperse gold suspensions. Nat. Phys. Sci. 1973, 241, 20–22. [Google Scholar] [CrossRef]
- Kimling, J.; Maier, M.; Okenve, B.; Kotaidis, V.; Ballot, H.; Plech, A. Turkevich method for gold nanoparticle synthesis revisited. J. Phys. Chem. B 2006, 110, 15700–15707. [Google Scholar] [CrossRef]
- Zhao, P.X.; Li, N.; Astruc, D. State of the art in gold nanoparticle synthesis. Coordin. Chem. Rev. 2013, 257, 638–665. [Google Scholar] [CrossRef]
- Wuithschick, M.; Birnbaum, A.; Witte, S.; Sztucki, M.; Vainio, U.; Pinna, N.; Rademann, K.; Emmerling, F.; Kraehnert, R.; Polte, J. Turkevich in new robes: Key questions answered for the most common gold nanoparticle synthesis. ACS Nano 2015, 9, 7052–7071. [Google Scholar] [CrossRef]
- Bastús, N.G.; Comenge, J.; Puntes, V. Kinetically controlled seeded growth synthesis of citrate-stabilized gold nanoparticles of up to 200 nm: Size focusing versus ostwald ripening. Langmuir 2011, 27, 11098–11105. [Google Scholar] [CrossRef]
- Dong, J.; Carpinone, P.L.; Pyrgiotakis, G.; Demokritou, P.; Moudgil, B.M. Synthesis of precision gold nanoparticles using turkevich method. KONA Powder Part. J. 2020, 37, 224–232. [Google Scholar] [CrossRef]
- Shiba, F. Size control of monodisperse Au nanoparticles synthesized via a citrate reduction process associated with a pH-shifting procedure. CrystEngComm 2013, 15, 8412–8415. [Google Scholar] [CrossRef]
- Schulz, F.; Homolka, T.; Bastús, N.G.; Puntes, V.; Weller, H.; Vossmeyer, T. Little adjustments significantly improve the turkevich synthesis of gold nanoparticles. Langmuir 2014, 30, 10779–10784. [Google Scholar] [CrossRef] [PubMed]
- Xia, H.; Bai, S.; Hartmann, J.; Wang, D. Synthesis of monodisperse quasi-spherical gold nanoparticles in water via silver(I)-assisted citrate reduction. Langmuir 2010, 26, 3585–3589. [Google Scholar] [CrossRef] [PubMed]
- Méndez, E.; Botasini, S. Synthesis of Ultra-Homogeneous Gold Nanoparticles. In Proceedings of the 5th World Congress on New Technologies (NewTech’19), Lisbon, Portugal, 18–20 August 2019. [Google Scholar] [CrossRef]
- Increasing the Senstivity of Lateral Flow Diagnostic Assays with Ultra-Bright Gold Nanoshell Reporters. Available online: https://www.sigmaaldrich.com/technical-documents/articles/material-matters/sensitivity-lateral-flow-diagnostic-assays.html (accessed on 20 June 2020).
- Ultra Uniform: Highly Monodisperse Nanoparticles. Available online: https://nanocomposix.com/collections/product-line-ultra-uniform#target (accessed on 20 June 2020).
- Nanopartz Spherical Gold Nanoparticles. Available online: https://www.nanopartz.com/bare_spherical_gold_nanoparticles.asp (accessed on 20 June 2020).
- Lou, Sh.; Ye, J.-Y.; Li, K.-Q.; Wu, A. A gold nanoparticle-based immunochromatographic assay: The influence of nanoparticulate size. Analyst 2012, 137, 1174–1181. [Google Scholar] [CrossRef]
- Kim, D.S.; Kim, Y.T.; Hong, S.B.; Kim, J.; Heo, N.S.; Lee, M.-K.; Lee, S.J.; Kim, B.; Kim, I.S.; Huh, Y.S.; et al. Development of lateral flow assay based on size-controlled gold nanoparticles for detection of hepatitis B surface antigen. Sensors 2016, 16, e2154. [Google Scholar] [CrossRef]
- Makhsin, S.R.; Razak, K.A.; Noordin, R.; Zakaria, N.D.; Chun, T.S. The effects of size and synthesis methods of gold nanoparticle-conjugated M alpha HIgG4 for use in an immunochromatographic strip test to detect Brugian filariasis. Nanotechnology 2012, 23, 495719. [Google Scholar] [CrossRef]
- Springer, T.; Ermini, M.L.; Spackova, B.; Jablonku, J.; Homola, J. Enhancing sensitivity of surface plasmon resonance biosensors by functionalized gold nanoparticles: Size matters. Anal. Chem. 2014, 86, 10350–10356. [Google Scholar] [CrossRef]
- Xu, P.; Li, J.; Huang, X.L.; Duan, H.; Ji, Y.W.; Xiong, Y.H. Effect of the tip length of multi-branched AuNFs on the detection performance of immunochromatographic assays. Anal. Meth. 2016, 8, 3316–3324. [Google Scholar] [CrossRef]
- Zhang, W.J.; Duan, H.; Chen, R.; Ma, T.T.; Zeng, L.F.; Leng, Y.K.; Xiong, Y.H. Effect of different-sized gold nanoflowers on the detection performance of immunochromatographic assay for human chorionic gonadotropin detection. Talanta 2019, 194, 604–610. [Google Scholar] [CrossRef]
- Fang, C.; Chen, Z.; Li, L.; Xia, J. Barcode lateral flow immunochromatographic strip for prostate acid phosphatase determination. J. Pharmac. Biomed. Anal. 2011, 56, 1035–1040. [Google Scholar] [CrossRef]
- Safenkova, I.; Zherdev, A.; Dzantiev, B. Factors influencing the detection limit of the lateral-flow sandwich immunoassay: A case study with potato virus X. Anal. Bioanal. Chem. 2012, 403, 1595–1605. [Google Scholar] [CrossRef]
- Khlebtsov, B.N.; Tumskiy, R.S.; Burov, A.M.; Pylaev, T.E.; Khlebtsov, N.G. Quantifying the gold nanoparticle numbers in the test zone of lateral flow immunoassay strips. ACS Appl. Nano Mater. 2019, 2, 5020–5028. [Google Scholar] [CrossRef]
- Safenkova, I.V.; Zherdev, A.V.; Dzantiev, B.B. Correlation between the composition of multivalent antibody conjugates with colloidal gold nanoparticles and their affinity. J. Immunol. Meth. 2010, 357, 17–25. [Google Scholar] [CrossRef] [PubMed]
- Byzova, N.A.; Safenkova, I.V.; Slutskaya, E.S.; Zherdev, A.V.; Dzantiev, B.B. Less is more: A comparison of antibody-gold nanoparticle conjugates of different ratios. Bioconjug. Chem. 2017, 28, 2737–2746. [Google Scholar] [CrossRef] [PubMed]
- Saha, B.; Evers, T.H.; Prins, M.W. How antibody surface coverage on nanoparticles determines the activity and kinetics of antigen capturing for biosensing. Anal. Chem. 2014, 86, 8158–8166. [Google Scholar] [CrossRef] [PubMed]
- Malaspina, D.C.; Longo, G.; Szleifer, I. Behavior of ligand binding assays with crowded surfaces: Molecular model of antigen capture by antibody-conjugated nanoparticles. PLoS ONE 2017, 12, e0185518. [Google Scholar] [CrossRef]
- Tripathi, K.; Driskell, J.D. Quantifying bound and active antibodies conjugated to gold nanoparticles: A comprehensive and robust approach to evaluate immobilization chemistry. ACS Omega 2018, 3, 8253–8259. [Google Scholar] [CrossRef]
- Cukalevski, R.; Ferreira, S.A.; Dunning, C.J.; Berggard, T.; Cedervall, T. IgG and fibrinogen driven nanoparticle aggregation. Nano Res. 2015, 8, 2733–2743. [Google Scholar] [CrossRef]
- Zheng, Y.; Zhong, X.; Li, Zh.; Xia, Y. Successive, seed-mediated growth for the synthesis of single-crystal gold nanospheres with uniform diameters controlled in the range of 5–150 nm. Part. Part. Syst. Charact. 2014, 31, 266–273. [Google Scholar] [CrossRef]
- Wu, A.H.B.; Christenson, R.H.; Greene, D.N.; Jaffe, A.S.; Kavsak, P.A.; Ordonez-Llanos, J.; Apple, F.S. Clinical laboratory practice recommendations for the use of cardiac troponin in acute coronary syndrome: Expert opinion from the Academy of the American Association for Clinical Chemistry and the task force on clinical applications of cardiac bio-markers of the International Federation of Clinical Chemistry and Laboratory Medicine. Clin. Chem. 2018, 64, 645–655. [Google Scholar] [CrossRef]
- Han, X.; Li, S.H.; Peng, Z.L.; Othman, A.M.; Leblanc, R. Recent development of cardiac troponin I detection. ACS Sensors 2016, 1, 106–114. [Google Scholar] [CrossRef]
- Park, K.C.; Gaze, D.C.; Collinson, P.O.; Marber, M.S. Cardiac troponins: From myocardial infarction to chronic disease. Cardiovas. Res. 2017, 113, 1708–1718. [Google Scholar] [CrossRef] [PubMed]
- Byzova, N.A.; Zherdev, A.V.; Pridvorova, S.M.; Dzantiev, B.B. Development of rapid immunochromatographic assay for D-dimer detection. Appl. Biochem. Microbiol. 2019, 55, 305–312. [Google Scholar] [CrossRef]
- Khlebtsov, B.N.; Bratashov, D.N.; Byzova, N.A.; Dzantiev, B.B.; Khlebtsov, N.G. SERS-based lateral flow immunoassay of troponin I by using gap-enhanced Raman tags. Nano Res. 2019, 12, 413–420. [Google Scholar] [CrossRef]
- Byzova, N.A.; Zherdev, A.V.; Vengerov, Y.Y.; Starovoitova, T.A.; Dzantiev, B.B. A triple immunochromatographic test for simultaneous determination of cardiac troponin I, fatty acid binding protein, and C-reactive protein biomarkers. Microchim. Acta 2017, 184, 463–471. [Google Scholar] [CrossRef]





| Sample | Volume of Mixed Reactants, mL | ||
|---|---|---|---|
| 1% HAuCl4 | Water | 1% Sodium Citrate | |
| C-GNPs-1 | 1.0 | 94.0 | 5.0 |
| C-GNPs-2 | 1.0 | 96.0 | 3.0 |
| C-GNPs-3 | 1.0 | 97.5 | 1.5 |
| C-GNPs-4 | 1.0 | 98.0 | 1.0 |
| C-GNPs-5 | 1.0 | 98.25 | 0.75 |
| Sample | Volume of Mixed Reactants, mL | |||
|---|---|---|---|---|
| 0.1 M CTAC | 10 mM AA | 10-nm GNP | 2 mM HAuCl4 | |
| S-GNPs-1 | 40 | 2.6 | 2 | 10 |
| S-GNPs-2 | 40 | 2.6 | 0.5 | 10 |
| S-GNPs-3 | 40 | 2.6 | 0.15 | 10 |
| S-GNPs-4 | 40 | 2.6 | 0.1 | 10 |
| S-GNPs-5 | 40 | 2.6 | 0.05 | 10 |
| Conjugate | Acceleration, g | Conjugate | Acceleration, g |
|---|---|---|---|
| C-GNPs-1–IC4 | 27,000 | S-GNPs-1–IC4 | 25,000 |
| C-GNPs-2–IC4 | 25,000 | S-GNPs-2–IC4 | 15,000 |
| C-GNPs-3–IC4 | 15,000 | S-GNPs-3–IC4 | 10,000 |
| C-GNPs-4–IC4 | 12,000 | S-GNPs-4–IC4 | 8000 |
| C-GNPs-5–IC4 | 10,000 | S-GNPs-5–IC4 | 5000 |
| Sample | Average Diameter, nm | Standard Deviation, % | Ellipticity Index | Number of Particles |
|---|---|---|---|---|
| C-GNPs-1 | 18.6 | 12.4 | 1.17 ± 0.19 | 305 |
| C-GNPs-2 | 21.5 | 7.0 | 1.23 ± 0.20 | 353 |
| C-GNPs-3 | 33.7 | 8.9 | 1.17 ± 0.35 | 283 |
| C-GNPs-4 | 39.5 | 12.7 | 1.30 ± 0.30 | 325 |
| C-GNPs-5 | 47.5 | 9.9 | 1.28 ± 0.19 | 278 |
| S-GNPs-1 | 20.2 | 3.0 | 1.01 ± 0.01 | 521 |
| S-GNPs-2 | 36.2 | 1.7 | 1.01 ± 0.01 | 554 |
| S-GNPs-3 | 48.7 | 2.1 | 1.02 ± 0.02 | 547 |
| S-GNPs-4 | 64.5 | 1.2 | 1.03 ± 0.02 | 548 |
| S-GNPs-5 | 90.4 | 1.7 | 1.02 ± 0.02 | 606 |
| Sample | Average Diameter, nm | GNPs’ Surface Area, nm2 | Antibody: GNP Ratio for Immobilization | IgG Concentration, µg/mL |
|---|---|---|---|---|
| C-GNPs-1 | 18.6 | 1086 | 43 | 7.02 |
| C-GNPs-2 | 21.5 | 1452 | 58 | 5.9 |
| C-GNPs-3 | 33.7 | 3566 | 143 | 4.55 |
| C-GNPs-4 | 39.5 | 4900 | 196 | 3.34 |
| C-GNPs-5 | 47.5 | 7085 | 283 | 2.76 |
| S-GNPs-1 | 20.2 | 1256 | 50 | 15.24 |
| S-GNPs-2 | 36.2 | 4069 | 163 | 8.04 |
| S-GNPs-3 | 48.7 | 7539 | 302 | 5.72 |
| S-GNPs-4 | 64.5 | 13,267 | 531 | 6.44 |
| S-GNPs-5 | 90.4 | 26,002 | 1040 | 3.0 |
| Conjugation Approach | LoDs of cTnI LFIA, ng/mL, for Various GNP Preparations | ||||
|---|---|---|---|---|---|
| C-GNPs-1 (18.6 nm) | C-GNPs-2 (21.5 nm) | C-GNPs-3 (33.7 nm) | C-GNPs-4 (39.5 nm) | C-GNPs-5 (47.5 nm) | |
| Adsorption | 13.2 ± 0.15 | 10.1± 0.55 | 9.9 ± 0.24 * | 15.4 ± 0.43 | 35.4 ± 0.65 |
| Covalent | 13.4 ± 0.60 | 12.5 ± 0.45 | 12.7 ± 0.14 | 20.3 ± 0.35 | >100 |
| S-GNPs-1 (20.2 nm) | S-GNPs-2 (36.2 nm) | S-GNPs-3 (48.7 nm) | S-GNPs-4 (64.5 nm) | S-GNPs-5 (90.4 nm) | |
| Adsorption | 2.9 ± 0.13 | 3.3 ± 0.31 | 2.7 ± 0.20 | 2.0 ± 0.05 | 4.7 ± 0.25 |
| Covalent | 3.4 ± 0.14 | 2.8 ± 0.25 | 1.5 ± 0.15 | 1.2 ± 0.08 * | 3.8 ± 0.15 |
| Conjugation Approach | Maximal Coloration of Test Zone or cTnI LFIA, Arb. Units, for Various GNP Preparations | ||||
|---|---|---|---|---|---|
| C-GNPs-1 (18.6 nm) | C-GNPs-2 (21.5 nm) | C-GNPs-3 (33.7 nm) | C-GNPs-4 (39.5 nm) | C-GNPs-5 (47.5 nm) | |
| Adsorption | 32.2 ± 0.30 | 39.55 ± 1.75 | 49.0 ± 0.64 ** | 29.25 ± 0.95 | 10.5 ± 1.2 |
| Covalent | 27.85 ± 0.85 | 29.65 ± 0.75 | 34.7 ± 1.1 | 27.0 ± 1.6 | 6.65 ± 1.15 |
| S-GNPs-1 (20.2 nm) | S-GNPs-2 (36.2 nm) | S-GNPs-3 (48.7 nm) | S-GNPs-4 (64.5 nm) | S-GNPs-5 (90.4 nm) | |
| Adsorption | 33.5 ± 1.1 | 46.35 ± 0.95 | 37.4 ± 2.8 | 45.5 ± 2.4 | 21.35 ± 2.15 |
| Covalent | 35.5 ± 2.1 | 56.0 ± 2.6 | 52.35 ± 0.35 | 70.6 ± 1.3 ** | 51.5 ± 2.3 |
© 2020 by the authors. Licensee MDPI, Basel, Switzerland. This article is an open access article distributed under the terms and conditions of the Creative Commons Attribution (CC BY) license (http://creativecommons.org/licenses/by/4.0/).
Share and Cite
Byzova, N.A.; Zherdev, A.V.; Khlebtsov, B.N.; Burov, A.M.; Khlebtsov, N.G.; Dzantiev, B.B. Advantages of Highly Spherical Gold Nanoparticles as Labels for Lateral Flow Immunoassay. Sensors 2020, 20, 3608. https://doi.org/10.3390/s20123608
Byzova NA, Zherdev AV, Khlebtsov BN, Burov AM, Khlebtsov NG, Dzantiev BB. Advantages of Highly Spherical Gold Nanoparticles as Labels for Lateral Flow Immunoassay. Sensors. 2020; 20(12):3608. https://doi.org/10.3390/s20123608
Chicago/Turabian StyleByzova, Nadezhda A., Anatoly V. Zherdev, Boris N. Khlebtsov, Andrey M. Burov, Nikolai G. Khlebtsov, and Boris B. Dzantiev. 2020. "Advantages of Highly Spherical Gold Nanoparticles as Labels for Lateral Flow Immunoassay" Sensors 20, no. 12: 3608. https://doi.org/10.3390/s20123608
APA StyleByzova, N. A., Zherdev, A. V., Khlebtsov, B. N., Burov, A. M., Khlebtsov, N. G., & Dzantiev, B. B. (2020). Advantages of Highly Spherical Gold Nanoparticles as Labels for Lateral Flow Immunoassay. Sensors, 20(12), 3608. https://doi.org/10.3390/s20123608

