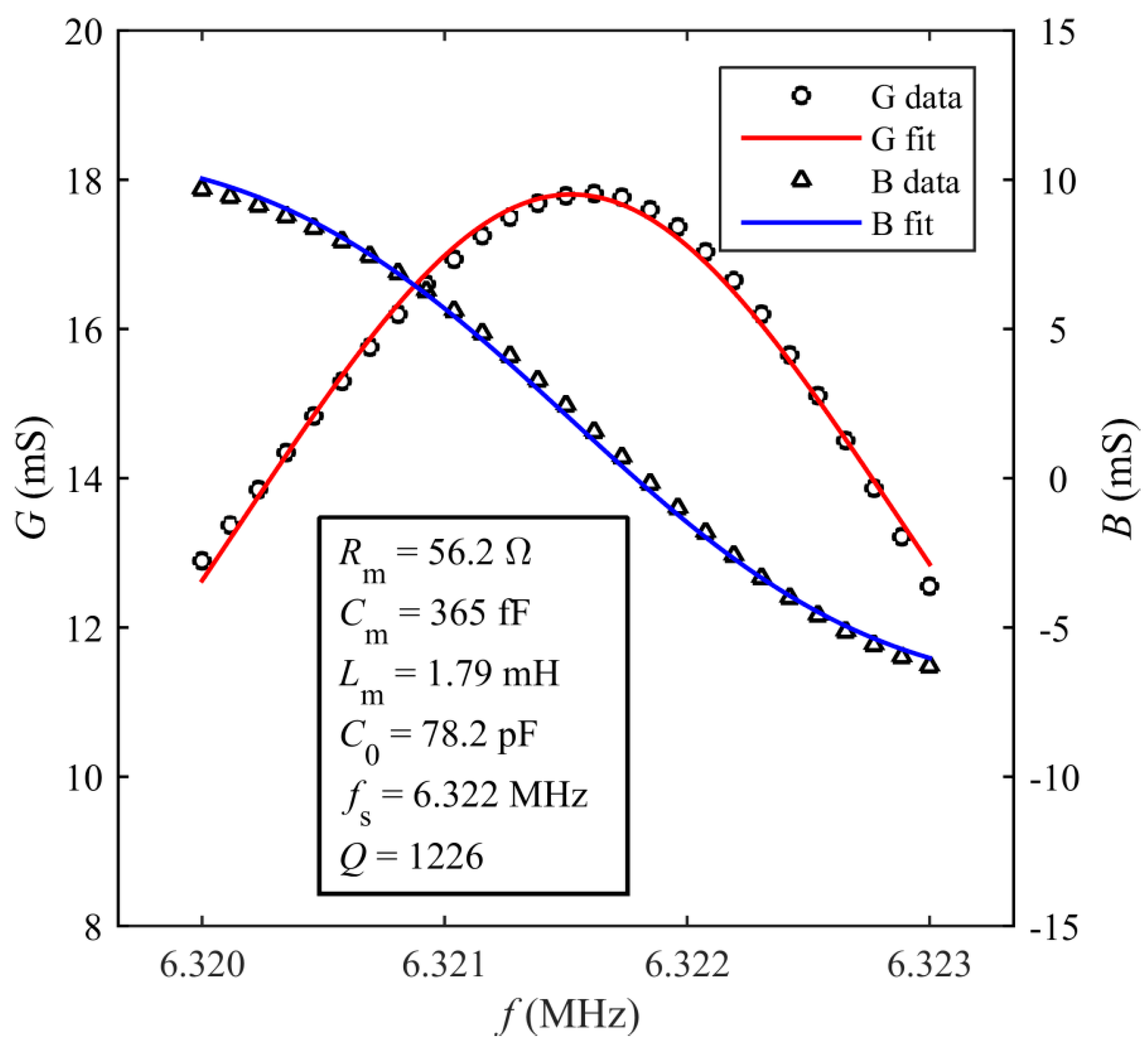
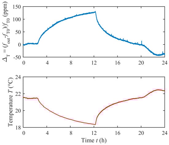
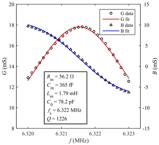
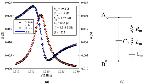
Technique and Circuit for Contactless Readout of Piezoelectric MEMS Resonator Sensors
Baù, M.; Ferrari, M.; Begum, H.; Ali, A.; Lee, J.E.-Y.; Ferrari, V. Technique and Circuit for Contactless Readout of Piezoelectric MEMS Resonator Sensors. Sensors 2020, 20, 3483. https://doi.org/10.3390/s20123483
Baù M, Ferrari M, Begum H, Ali A, Lee JE-Y, Ferrari V. Technique and Circuit for Contactless Readout of Piezoelectric MEMS Resonator Sensors. Sensors. 2020; 20(12):3483. https://doi.org/10.3390/s20123483
Chicago/Turabian StyleBaù, Marco, Marco Ferrari, Habiba Begum, Abid Ali, Joshua E.-Y. Lee, and Vittorio Ferrari. 2020. "Technique and Circuit for Contactless Readout of Piezoelectric MEMS Resonator Sensors" Sensors 20, no. 12: 3483. https://doi.org/10.3390/s20123483


