Low Complexity Equalization of Orthogonal Chirp Division Multiplexing in Doubly-Selective Channels
Abstract
1. Introduction
2. System Model
2.1. Signal Model of UP-OCDM
- (1)
- Multiplying the symbol vector by the phase matrix ,
- (2)
- Performing IFFT algorithm,
- (3)
- Multiplying the same phase matrix .
2.2. Circulant Structure of the Transform Matrix
2.3. Transmission Model over Doubly Selective Channels
3. Low Complexity Equalizers for UP-OCDM Under Doubly Selective Channels
3.1. MMSE Block Equalizer
3.2. Band MMSE Block Equalizer
3.2.1. Band MMSE Equalization Algorithm
- (1)
- Performing FFT algorithm on the received signal to obtain ;
- (2)
- Constructing the banded matrices and . Performing the LDL factorization to obtain the diagonal matrix and the triangular matrix ;
- (3)
- Solving the system by solving firstly the lower-triangular system , secondly the diagonal system , and finally the upper-triangular system ;
- (4)
- Obtaining the estimate of symbol vector by .
| Algorithm 1 band LDL factorization algorithm |
|
3.2.2. Computational Complexity
3.3. Iterative LSQR Block Equalizer
3.3.1. Iterative LSQR Block Equalization Algorithm
- (1)
- Computing the diagonal matrices with the BEM coefficients;
- (2)
- Multiplying by the diagonal matrix ;
- (3)
- Solving (23) by LSQR algorithm to obtain the symbol vector ;
3.3.2. Compational Complexity
4. Numerical Simulations
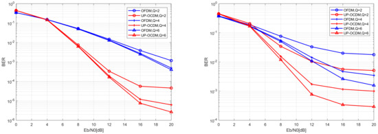
4.1. Performance with MMSE Equalizer
4.2. Performance with Band MMSE Block Equalization
4.3. Performance with Iterative LSQR Equalization
4.4. Performance Comparison of Proposed Equalization Algorithms
5. Conclusions
Author Contributions
Funding
Acknowledgments
Conflicts of Interest
Abbreviations
| OCDM | Orthogonal Chirp Division Multiplexing |
| UP-OCDM | Uniform Phase-Orthogonal Chirp Division Multiplexing |
| OFDM | Orthogonal Frequency Division Multiplexing |
| FrFT | fractional Fourier transform |
| UAC | Underwater Acoustic Commmunication |
| BEM | Basis Expansion Mode |
| MMSE | Minimum Mean Square Error |
| ISI | intersymbol interference |
| AWGN | Additive White Gaussian Noise |
| CIR | Channel Frequency Response |
| ICI | Intercarrier Interference |
| CM | Complex Multiplications |
| CA | Complex Additions |
| BER | Bit Error Rate |
| WSSUS | Wide Sense Stationary Uncorrelated Scattering |
References
- Wang, Z.; Giannakis, G. Wireless multicarrier communications. IEEE Signal Process. Mag. 2000, 17, 29–48. [Google Scholar] [CrossRef]
- Klauder, J.R.; Price, A.C.; Darlington, S.; Albersheim, W.J. The theory and design of chirp radars. Bell Syst. Tech. J. 1960, 39, 745–808. [Google Scholar] [CrossRef]
- Raney, R.; Runge, H.; Bamler, R.; Cumming, I.; Wong, F. Precision SAR processing using chirp scaling. IEEE Trans. Geosci. Remote. Sens. 1994, 32, 786–799. [Google Scholar] [CrossRef]
- Cooper, K.B.; Dengler, R.J.; Llombart, N.; Thomas, B.; Chattopadhyay, G.; Siegel, P.H. THz Imaging Radar for Standoff Personnel Screening. IEEE Trans. Terahertz Sci. Technol. 2011, 1, 169–182. [Google Scholar] [CrossRef]
- He, C.; Ran, M.; Meng, Q.; Huang, J. Underwater acoustic communications using M-ary chirp-DPSK modulation. In Proceedings of the IEEE 10th International Conference on Signal Processing Proceedings, Beijing, China, 24–28 October 2010; pp. 1544–1547. [Google Scholar]
- Cho, H.; Kim, S.W. Mobile Robot Localization Using Biased Chirp-Spread-Spectrum Ranging. IEEE Trans. Ind. Electron. 2010, 57, 2826–2835. [Google Scholar] [CrossRef]
- Martone, M. A multicarrier system based on the fractional Fourier transform for time-frequency-selective channels. IEEE Trans. Commun. 2001, 49, 1011–1020. [Google Scholar] [CrossRef]
- Ouyang, X.; Zhao, J. Orthogonal Chirp Division Multiplexing. IEEE Trans. Commun. 2016, 64, 3946–3957. [Google Scholar] [CrossRef]
- Ouyang, X.; Zhao, J. Orthogonal Chirp Division Multiplexing for Coherent Optical Fiber Communications. J. Light. Technol. 2016, 34, 4376–4386. [Google Scholar] [CrossRef]
- Bai, Y.; Bouvet, P.J. Orthogonal Chirp Division Multiplexing for Underwater Acoustic Communication. Sensors 2018, 18, 3815. [Google Scholar] [CrossRef]
- Bouvet, P.J.; Auffret, Y.; Aubry, C. On the analysis of orthogonal chirp division multiplexing for shallow water underwater acoustic communication. In Proceedings of the OCEANS 2017-Aberdeen, Aberdeen, UK, 19–22 June 2017; pp. 1–5. [Google Scholar]
- Zhu, P.; Xu, X.; Tu, X.; Chen, Y.; Tao, Y. Anti-Multipath Orthogonal Chirp Division Multiplexing for Underwater Acoustic Communication. IEEE Access 2020, 8, 13305–13314. [Google Scholar] [CrossRef]
- Bomfin, R.; Chafii, M.; Fettweis, G. Low-Complexity Iterative Receiver for Orthogonal Chirp Division Multiplexing. In Proceedings of the 2019 IEEE Wireless Communications and Networking Conference Workshop, Marrakech, Morocco, 15–18 April 2019; pp. 1–6. [Google Scholar] [CrossRef]
- Omar, M.S.; Ma, X. Designing OCDM-Based Multi-User Transmissions. In Proceedings of the 2019 IEEE Global Communications Conference, Waikoloa, HI, USA, 9–13 December 2019; pp. 1–6. [Google Scholar]
- Van Walree, P.A.; Socheleau, F.X.; Otnes, R.; Jenserud, T. The Watermark Benchmark for Underwater Acoustic Modulation Schemes. IEEE J. Ocean. Eng. 2017, 42, 1007–1018. [Google Scholar] [CrossRef]
- Peña-Campos, F.; Carrasco-Alvarez, R.; Longoria-Gandara, O.; Parra-Michel, R. Estimation of Fast Time-Varying Channels in OFDM Systems Using Two-Dimensional Prolate. IEEE Trans. Wirel. Commun. 2013, 12, 898–907. [Google Scholar] [CrossRef]
- Zemen, T.; Mecklenbrauker, C. Time-variant channel estimation using discrete prolate spheroidal sequences. IEEE Trans. Signal Process. 2005, 53, 3597–3607. [Google Scholar] [CrossRef]
- Tang, Z.; Cannizzaro, R.C.; Leus, G.; Banelli, P. Pilot-Assisted Time-Varying Channel Estimation for OFDM Systems. IEEE Trans. Signal Process. 2007, 55, 2226–2238. [Google Scholar] [CrossRef]
- Shin, C.; Andrews, J.G.; Powers, E.J. An Efficient Design of Doubly Selective Channel Estimation for OFDM Systems. IEEE Trans. Wirel. Commun. 2007, 6, 3790–3802. [Google Scholar] [CrossRef]
- Paige, C.C.; Saunders, M.A. LSQR: An Algorithm for Sparse Linear Equations and Sparse Least Squares. Acm Trans. Math. Softw. (Toms) 1982, 8, 43–71. [Google Scholar] [CrossRef]
- Golub, G.H.; Van Loan, C.F. Matrix computations, 4th ed.; The Johns Hopkins University Press: Baltimore, MD, USA, 2013; OCLC: ocn824733531. [Google Scholar]
- Li, Y.; Cimini, L. Bounds on the interchannel interference of OFDM in time-varying impairments. IEEE Trans. Commun. 2001, 49, 401–404. [Google Scholar] [CrossRef]
- Rugini, L.; Banelli, P.; Leus, G. Simple equalization of time-varying channels for OFDM. IEEE Commun. Lett. 2005, 9, 619–621. [Google Scholar] [CrossRef]
- Neumaier, A. Solving Ill-Conditioned and Singular Linear Systems: A Tutorial on Regularization. Siam Rev. 1998, 40, 636–666. [Google Scholar] [CrossRef]
- Hrycak, T.; Das, S.; Matz, G.; Feichtinger, H.G. Low Complexity Equalization for Doubly Selective Channels Modeled by a Basis Expansion. IEEE Trans. Signal Process. 2010, 58, 5706–5719. [Google Scholar] [CrossRef]
- Peña-Campos, F.; Parra-Michel, R.; Kontorovich, V. A Low Complexity Multi-Carrier System Over Doubly Selective Channels Using Virtual-Trajectories Receiver. IEEE Trans. Wirel. Commun. 2016, 15, 5206–5217. [Google Scholar] [CrossRef]
- Hrycak, T.; Matz, G. Low-Complexity Time-Domain ICI Equalization for OFDM Communications Over Rapidly Varying Channels. In Proceedings of the Fortieth Asilomar Conference on Signals, Systems and Computers, Pacific Grove, CA, USA, 29 October–1 November 2006; pp. 1767–1771. [Google Scholar]





| Algorithm | MMSE Equalization | Band MMSE Equalization | Iterative LSQR Equalization |
|---|---|---|---|
| Complexity |
© 2020 by the authors. Licensee MDPI, Basel, Switzerland. This article is an open access article distributed under the terms and conditions of the Creative Commons Attribution (CC BY) license (http://creativecommons.org/licenses/by/4.0/).
Share and Cite
Wang, X.; Jiang, Z.; Shen, X.-H. Low Complexity Equalization of Orthogonal Chirp Division Multiplexing in Doubly-Selective Channels. Sensors 2020, 20, 3125. https://doi.org/10.3390/s20113125
Wang X, Jiang Z, Shen X-H. Low Complexity Equalization of Orthogonal Chirp Division Multiplexing in Doubly-Selective Channels. Sensors. 2020; 20(11):3125. https://doi.org/10.3390/s20113125
Chicago/Turabian StyleWang, Xin, Zhe Jiang, and Xiao-Hong Shen. 2020. "Low Complexity Equalization of Orthogonal Chirp Division Multiplexing in Doubly-Selective Channels" Sensors 20, no. 11: 3125. https://doi.org/10.3390/s20113125
APA StyleWang, X., Jiang, Z., & Shen, X.-H. (2020). Low Complexity Equalization of Orthogonal Chirp Division Multiplexing in Doubly-Selective Channels. Sensors, 20(11), 3125. https://doi.org/10.3390/s20113125
