Brain Inspired Dynamic System for the Quality of Service Control over the Long-Haul Nonlinear Fiber-Optic Link
Abstract
:1. Introduction
2. Cognitive Dynamic System (CDS)
2.1. Perception-Action Cycle (PAC)
- The set of observables (which are the data obtained by measurement of the environment) are processed by the perceptor.
- Based on the current and previous data and combined with intelligence, the perceptor predicts the states of the environment, which is passed to the executive through the feedback channel.
- The executive produces actions on the environment to achieve a specific goal so that the set of observables in the following cycles may be different.
- The results of each cycle of the PAC will be used for succeeding cycles.
- When there is a specific goal, actions performed on the environment or physical system, the current PAC is guided by the derivation hypothesis from memory. As a result, the CDS will update the data in the current cycle and modify the hypothesis which will be used in the next cycle.
2.2. Memory
3. Applications of the CDS for the Fiber Optic Link
3.1. Perceptor
3.1.1. Three-Layered Bayesian Generative Model
Layer I
Layer II
Layer III
3.1.2. Previous Model Selection
3.1.3. Bayesian Equation
3.1.4. Selecting Maximum Probability and BER Calculation
3.2. Main Feedback, Internal Feedback, and Feedforward Channels
3.3. The Executive
3.3.1. Basic Actions
3.3.2. Advanced Actions for BER Improvement
3.3.3. Policy
3.3.4. The CDS with a Simple Executive
4. The Algorithm of CDS with a Simplified Executive
- Prediction of rewards using available models or reduction of the data rate until the BER is less than the FEC-threshold.
- Extract the exact model of the system and minimize the BER.
- Use this model to predict the BER and internal rewards before increasing the data rate.
- If prediction shows lower internal reward and the BER is less than FEC-threshold, then the CDS increases the data rate.
| Algorithm 1: Environmental actions through the global feedback |
| Input: the observables |
| Output: as the final action in environmental actions mode |
| Initialization: |
| Pre-adaptive actions: |
| Reduce data rate till BER<FEC-threshold |
| Make steady state mode off, prediction mode on |
| Probability box% = 96, threshold = 0.01, , j = 1 |
| Apply to the environment (fiber optic channel) |
| 1: for (see Table 3) |
| 2: Take the observable |
| 3: if the model is not available then |
| 4: if BER > FEC-threshold then |
| 5: Estimate using |
| 6: Estimate by decision making |
| 7: else |
| 8: Extract the |
| 9: Calculate the posterior |
| 10: Estimate by decision making |
| 11: end if |
| 12: else if model is available then |
| 13: Load model, evidence and posterior from preceptor library |
| 14: Estimate by decision making |
| 15: end if |
| 16: Send PF1, to the executive |
| Internal reward |
| 17: Calculate and send it to executive |
| Planning |
| 18: Localize the set of all close actions to ck |
| Learning |
| 19: Apply virtually () |
| 20: Calculate |
| 21: Predict |
| 22: Calculate |
| 23: if |
| and then |
| 24: apply to the fiber link |
| 25: |
| 26: |
| 27: else |
| 28: Turn steady state on (Stay on ) |
| 29: end if |
| 30: end for |
5. The CDS case study for the OFDM-Based Long-Haul Standard Single-Mode Fiber system
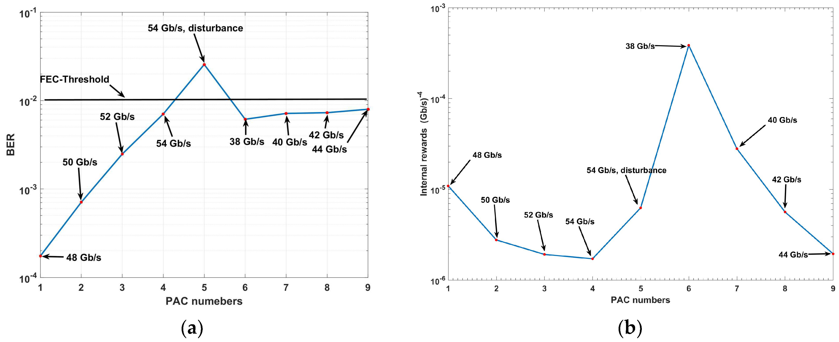
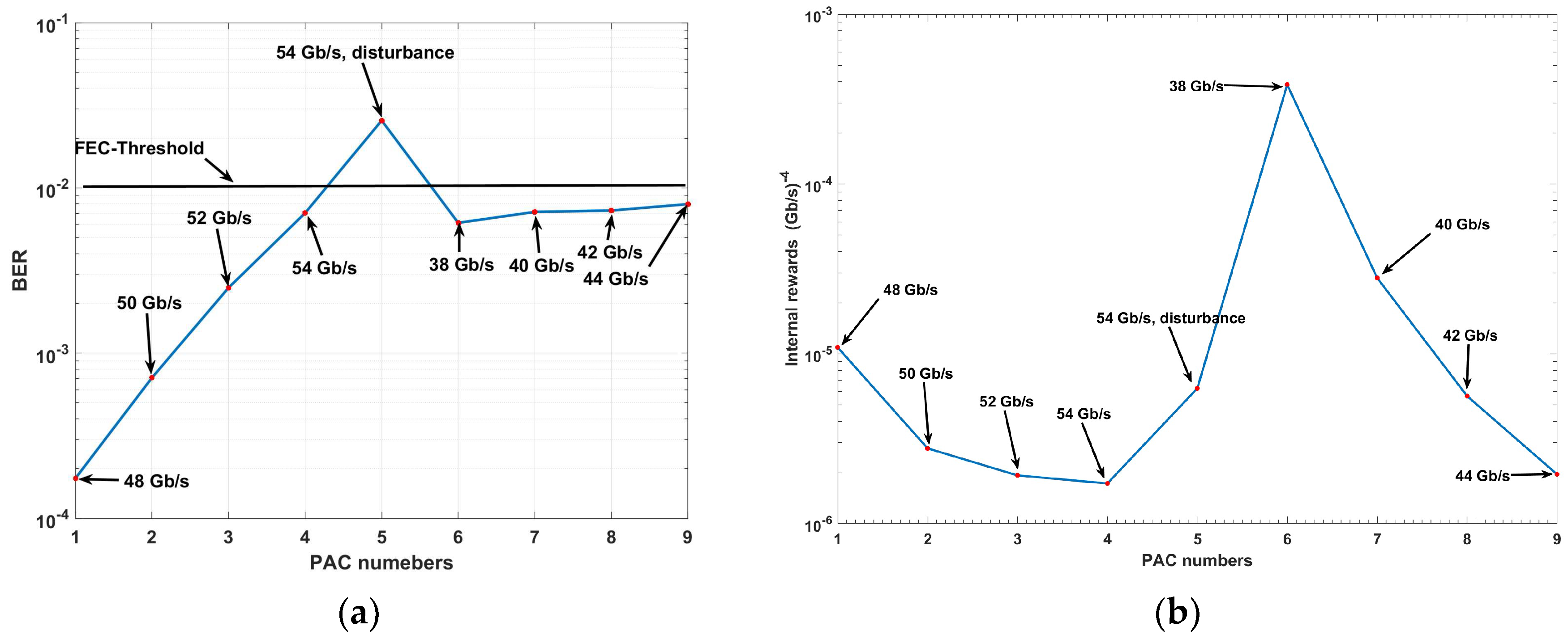
5.1. Simulation Results in Presence of Disturbance
5.2. CDS Complexity
- The CDS perceptor can extract the model (likelihood) dynamically and does not need the transmitter to send training sequences.
- We assume that the fiber optic link parameters are unknown in an optical network.
- The CDS can be applied to any type of fiber optic system such as single carrier, wavelength division multiplexing (WDM), single channel OFDM, or a WDM system with individual channels carrying the OFDM signal.
- In our approach, we do not use training sequences from the transmitter to extract the channel model since it would disrupt the service. It can improve the BER by finding the optimum decision boundaries.
6. Conclusions
Author Contributions
Funding
Acknowledgments
Conflicts of Interest
References
- Deen, M.J. Information and communications technologies for elderly ubiquitous healthcare in a smart home. Pers. Ubiquitous Comput. 2015, 19, 573–599. [Google Scholar] [CrossRef]
- Feng, S.; Setoodeh, P.; Haykin, S. Smart home: Cognitive interactive people-centric Internet of Things. IEEE Commun. Mag. 2017, 55, 34–39. [Google Scholar] [CrossRef]
- Majumder, S.; Mondal, T.; Deen, M.J. Wearable sensors for remote health monitoring. Sensors 2017, 17, 130. [Google Scholar] [CrossRef]
- Li, P.; Chen, Z.; Yang, L.T.; Gao, J.; Zhang, Q.; Deen, M.J. an incremental deep convolutional computation model for feature learning on industrial big data. IEEE Trans. Ind. Inform. 2019, 15, 1341–1349. [Google Scholar] [CrossRef]
- Liu, Y.; Zhang, L.; Yang, Y.; Zhou, L.; Ren, L.; Wang, F.; Liu, R.; Pang, Z.; Deen, M.J. A novel cloud-based framework for the elderly healthcare services using digital twin. IEEE Access 2019, 7, 49088–49101. [Google Scholar] [CrossRef]
- Fuster, J.M. Cortex and Mind: Unifying Cognition; Oxford University: Oxford, UK, 2003. [Google Scholar]
- Haykin, S. Cognitive Dynamic Systems: Perception-Action Cycle, Radar, and Radio; Cambridge University: Cambridge, UK, 2012. [Google Scholar]
- Haykin, S. cognitive dynamic systems: radar, control, and radio. Proc. IEEE 2012, 100, 2095–2103. [Google Scholar] [CrossRef]
- Bandyopadhyay, B.; Deen, M.J.; Tarof, L.E.; Clark, W. A simplified approach to time-domain modeling of avalanche photodiodes. IEEE J. Quantum Electron. 1998, 34, 691–699. [Google Scholar] [CrossRef]
- Fatemi, M.; Haykin, S. Cognitive control: Theory and application. IEEE Access 2014, 2, 698–710. [Google Scholar] [CrossRef]
- Essiambre, R.J.; Kramer, G.; Winzer, P.J.; Foschini, G.J.; Goebel, B. Capacity limits of optical fiber networks. J. Lightwave Technol. 2010, 28, 662–701. [Google Scholar] [CrossRef]
- Ellis, A.D.; Zhao, J. Impact of Nonlinearities on Fiber Optic Communications; Kumar, S., Ed.; Springer: Berlin, Germany, 2011; Chapter 13. [Google Scholar]
- Yariv, A.; Fekete, D.; Pepper, D.M. Compensation for channel dispersion by nonlinear optical phase conjugation. Opt. Lett. 1979, 4, 52–54. [Google Scholar] [CrossRef]
- Watanabe, S.; Ishikawa, G.; Naito, T.; Chikama, T. Generation of optical phase-conjugate waves and compensation for pulse shape distortion in a single-mode fiber. J. Lightwave Technol. 1994, 12, 2139–2146. [Google Scholar] [CrossRef]
- Kumar, S.; Yang, D. Optical backpropagation for fiber-optic communications using highly nonlinear fibers. Opt. Lett. 2011, 36, 1038–1040. [Google Scholar] [CrossRef] [PubMed]
- Liang, X.; Kumar, S.; Downie, J.D.; Wood, W.A.; Hurley, J.E. Transmission performance of OFDM signals over 6000 km fiber optic links with digital back propagation. In Proceedings of the Advanced Photonics 2018 (BGPP, IPR, NP, NOMA, Sensors, Networks, SPPCom, SOF), Zurich, Switzerland, 2–5 July 2018. paper SpM4G.2. [Google Scholar]
- Liang, X.; Kumar, S.; Shao, J. Ideal optical backpropagation of scalar NLSE using dispersion-decreasing fibers for WDM transmission. Opt. Express 2013, 21, 28668–28675. [Google Scholar] [CrossRef] [PubMed]
- Kumar, S.; Shao, J. Optical backpropagation with optimal step size for fiber optic transmission systems. IEEE Photon. Tech. Lett. 2013, 25, 523–526. [Google Scholar] [CrossRef]
- Foo, B.; Corcoran, B.; Lowery, A. Compensating XPM Using a low-Bandwidth phase modulator. IEEE Photonics Technol. Lett. 2017, 29, 699–702. [Google Scholar] [CrossRef]
- Ip, E.; Kahn, J.M. Compensation of dispersion and nonlinear impairments using digital backpropagation. J. Lightwave Technol. 2008, 26, 3416–3425. [Google Scholar] [CrossRef]
- Mateo, E.; Zhu, L.; Li, G. Impact of XPM and FWM on the digital implementation of impairment compensation for WDM transmission using backward propagation. Opt. Express 2008, 16, 16124–16137. [Google Scholar] [CrossRef] [PubMed]
- Liang, X.; Kumar, S. Multistage perturbation theory for compensating intra-channel impairments in fiber optic systems. Opt. Express 2014, 22, 29733–29745. [Google Scholar] [CrossRef] [PubMed]
- Liang, X.; Kumar, S. Correlated digital backpropagation based on perturbation theory. Opt. Express 2015, 23, 14655–14665. [Google Scholar] [CrossRef] [PubMed]
- Hasegawa, A.; Nyu, T. Eigenvalue communication. J. Lightwave Technol. 1993, 11, 395–399. [Google Scholar] [CrossRef]
- Yousefi, M.I.; Kschischang, F.R. information transmission using the nonlinear Fourier transform, part I: Mathematical tools. IEEE Trans. Inf. Theory 2014, 60, 4312–4328. [Google Scholar] [CrossRef]
- Turitsyna, E.G.; Turitsyn, S.K. Digital signal processing based on inverse scattering transform. Opt. Lett. 2013, 38, 4186–4188. [Google Scholar] [CrossRef]
- Peddanarappagari, K.V.; Brandt-Pearce, M. Volterra series transfer function of single-mode fibers. J. Lightwave Technol. 1997, 15, 2232–2241. [Google Scholar] [CrossRef]
- Schetzen, M. The Volterra and Wiener Theories of Nonlinear Systems; John Wiley & Sons: Hoboken, NJ, USA, 1980. [Google Scholar]
- Nazarathy, M.; Khurgin, J.; Weidenfeld, R.; Meiman, Y.; Cho, P.; Noe, R.; Shpantzer, I.; Karagodsky, V. Phased-array cancellation of nonlinear FWM in coherent OFDM dispersive multi-span links. Opt. Express 2008, 16, 15777–15810. [Google Scholar] [CrossRef] [PubMed]
- Napoli, A.; Kuschnerov, M.; Lin, C.; Spinnler, B.; Bohn, M.; Rafique, D.; Sleiffer, V.A.; Schmauss, B. Adaptive digital back-propagation for optical communication systems. In Proceedings of the Optical Fiber Communication Conference OFC, San Francisco, CA, USA, 9–13 March 2014. [Google Scholar]
- Zhang, F.; Zhuge, Q.; Qiu, M.; Zhou, X.; Sowailem, M.Y.S.; Hoang, T.M.; Xiang, M.; Plant, D.V. Blind adaptive digital backpropagation for fiber nonlinearity compensation. J. Lightwave Technol. 2018, 36, 1746–1756. [Google Scholar] [CrossRef]
- Agrawal, G.P. Nonlinear Fiber Optics, 5th ed.; Academic Press: Cambridge, MA, USA, 2012. [Google Scholar]
- Kumar, S.; Deen, M.J. Fiber Optic Communications: Fundamentals and Applications; John Wiley & Sons: Hoboken, NJ, USA, 2014. [Google Scholar]
- Ahissar, M.; Nahum, M.; Nelken, I.; Phil, S.H. Reverse hierarchies and sensory learning. Philos. Trans. R. Soc. B 2009, 364, 285–299. [Google Scholar] [CrossRef]
- Hanzo, L.; Maunder, R.G.; Wang, J.; Yang, L.L. Near-Capacity Variable-Length Coding: Regular and EXIT-Chart-Aided Irregular Designs; Wiley: Hoboken, NJ, USA, 2011. [Google Scholar]
- Cartledge, J.C.; Guiomar, F.P.; Kschischang, F.R.; Liga, G.; Yankov, M.P. Digital signal processing for fiber nonlinearities. Opt. Express 2017, 25, 1916–1936. [Google Scholar] [CrossRef]
- Sorokina, M.; Sygletos, S.; Turitsyn, S. Sparse identification for nonlinear optical communication systems: SINO method. Opt. Express 2016, 24, 30433–30443. [Google Scholar] [CrossRef]
- Skidin, A.S.; Sidelnikov, O.S.; Fedoruk, M.P.; Turitsyn, S.K. Mitigation of nonlinear transmission effects for OFDM 16-QAM optical signal using adaptive modulation. Opt. Express 2016, 24, 30296–30308. [Google Scholar] [CrossRef] [PubMed]
- Shafarenko, A.; Turitsyn, K.S.; Turitsyn, S.K. Information-theory analysis of skewed coding for suppression of pattern-dependent errors in digital communications. IEEE Trans. Commun. 2007, 55, 237–241. [Google Scholar] [CrossRef]
- Zhang, L.M.; Kschischang, F.R. Staircase codes with 6% to 33% overhead. J. Lightwave Technol. 2014, 32, 1999–2002. [Google Scholar] [CrossRef]
- Shieh, W.; Bao, H.; Tang, Y. Coherent optical OFDM: theory and design. Opt. Express 2008, 16, 841–859. [Google Scholar] [CrossRef] [PubMed]
- Deen, M.J.; Basu, P.K. Silicon Photonics: Fundamentals and Devices; John Wiley & Sons: Hoboken, NJ, USA, 2012. [Google Scholar]
- Bandyopadhyay, A.; Deen, M.J. Photodetectors for optical fiber communications. In Photodetectors and Fiber Optics; Nalwa, H.S., Ed.; Academic Press: Cambridge, MA, USA, 2001; pp. 307–368. [Google Scholar]
- Mizuochi, T.; Miyata, Y.; Kubo, K.; Sugihara, T.; Onohara, K.; Yoshida, H. Progress in soft-decision FEC. In Proceedings of the 2011 Optical Fiber Communication Conference and Exposition and the National Fiber Optic Engineers Conference, Los Angeles, CA, USA, 6–10 March 2011; pp. 1–3. [Google Scholar]
- Du, A.; Schmidt, B.; Lowery, A.J. Efficient digital backpropagation for PDM-CO-OFDM optical transmission systems. In Proceedings of the 2010 Conference on Optical Fiber Communication (OFC/NFOEC), collocated National Fiber Optic Engineers Conference, OFC/NFOEC, San Diego, CA, USA, 21–25 March 2010. [Google Scholar]
- Peng, W.; Takahashi, H.; Morita, I.; Tsuritani, T. Per-symbol-based DBP approach for PDM-CO-OFDM transmission systems. Opt. Express 2013, 21, 1547–1554. [Google Scholar] [CrossRef] [PubMed]



















| Simulation Parameters | Value |
|---|---|
| Fiber dispersion coefficient ( | |
| Fiber nonlinear coefficient ( | |
| Fiber loss coefficient ( | |
| Number of fiber spans (N) | |
| Span length (Lspan) | 80 km |
| Noise figure ( | |
| Number of OFDM subcarriers per frame | 256 |
| Subcarrier modulation | QAM-16 |
| Guard intervals (cyclic prefix) | 1.86 ns |
| Number of data frames | 1024 |
| Line width of transmitter laser/LO | 22 kHz |
| Data carrying subcarriers per frame | 126 |
| Over sampling factor | 2 |
| Number of pilot subcarrier | 2 |
| Wavelength () | 1550 nm |
| Length of PRBS | |
| Fiber type | Standard single mode fiber (SSMF) |
| Precision Factor (PF) | System Model Tensor Dimensions |
|---|---|
| 5 | |
| 2 | |
| 1 | |
| 0.5 |
| Notations | Value |
|---|---|
| K | The total number of environmental perception action cycles (PACs) |
| k | The current PAC number during PAC running |
| k′ | The PAC number before the current CDS steady state mode |
| C | The set of all possible actions in actions library |
| X | The set of all possible modulation state |
| The current transmitted symbols, at time n | |
| The known data using for modeling | |
| The estimated decision by the system | |
| The received symbols at time n and kth PAC | |
| The normalized received symbols at time n and kth PAC | |
| The discretized received symbols at time n and kth PAC | |
| The internal reward at time n, jth data rate, and kth PAC | |
| The estimated posterior at time n and kth PAC | |
| Current action applied on fiber optic link | |
| The predefined threshold | |
| The prediction using model at kth PAC | |
| The internal reward prediction | |
| The final action for applying in (k+1)th PAC |
© 2019 by the authors. Licensee MDPI, Basel, Switzerland. This article is an open access article distributed under the terms and conditions of the Creative Commons Attribution (CC BY) license (http://creativecommons.org/licenses/by/4.0/).
Share and Cite
Naghshvarianjahromi, M.; Kumar, S.; Deen, M.J. Brain Inspired Dynamic System for the Quality of Service Control over the Long-Haul Nonlinear Fiber-Optic Link. Sensors 2019, 19, 2175. https://doi.org/10.3390/s19092175
Naghshvarianjahromi M, Kumar S, Deen MJ. Brain Inspired Dynamic System for the Quality of Service Control over the Long-Haul Nonlinear Fiber-Optic Link. Sensors. 2019; 19(9):2175. https://doi.org/10.3390/s19092175
Chicago/Turabian StyleNaghshvarianjahromi, Mahdi, Shiva Kumar, and M. Jamal Deen. 2019. "Brain Inspired Dynamic System for the Quality of Service Control over the Long-Haul Nonlinear Fiber-Optic Link" Sensors 19, no. 9: 2175. https://doi.org/10.3390/s19092175
APA StyleNaghshvarianjahromi, M., Kumar, S., & Deen, M. J. (2019). Brain Inspired Dynamic System for the Quality of Service Control over the Long-Haul Nonlinear Fiber-Optic Link. Sensors, 19(9), 2175. https://doi.org/10.3390/s19092175

