Combined Thickness and Permittivity Measurement of Thin Layers with Open-Ended Coaxial Probes †
Abstract
:1. Introduction
2. Materials and Methods
2.1. Methodology
2.2. Experimental
2.3. FEM Simulations
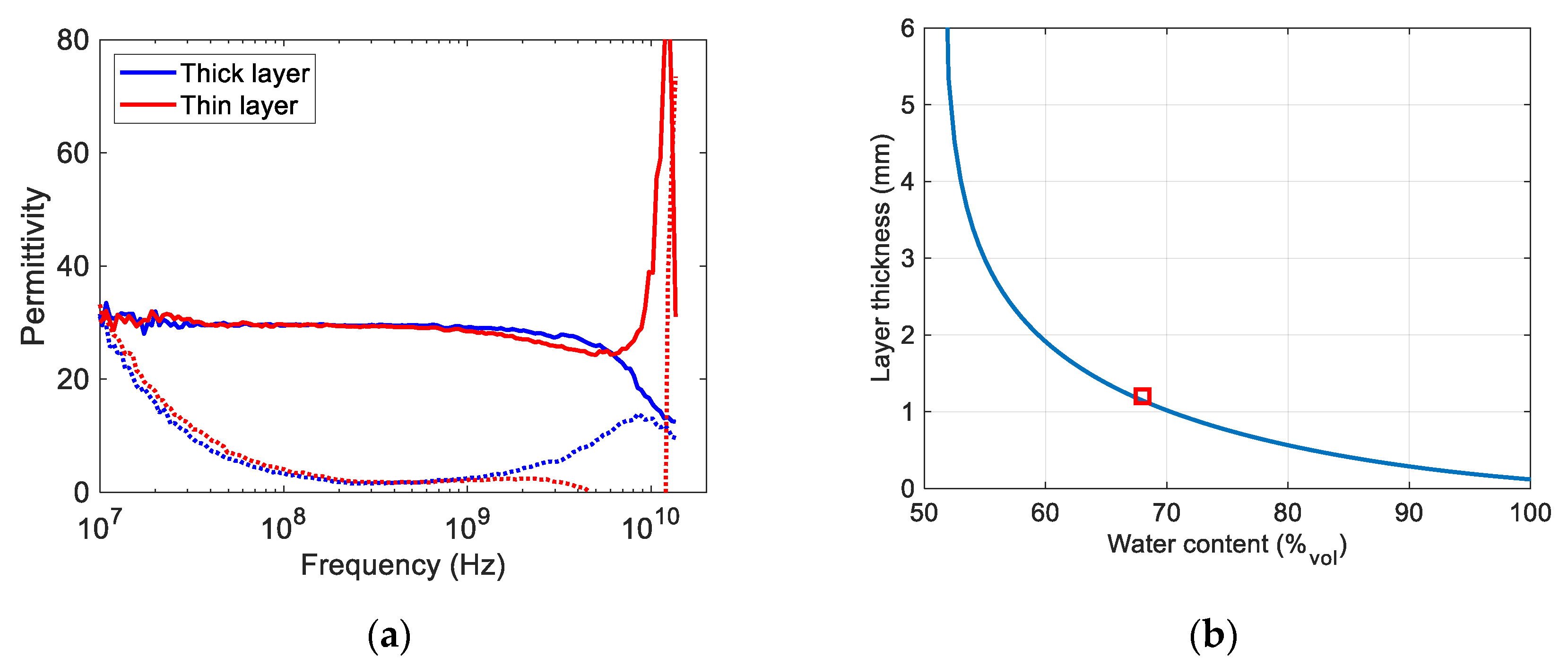
3. Results and Discussion
3.1. Sensitivity Considerations
3.2. Verification of Methodology
3.3. Application Example
4. Conclusions
5. Patents
Author Contributions
Funding
Conflicts of Interest
References
- Stuchly, M.A.; Stuchly, S.S. Coaxial Line Reflection Methods for Measuring Dielectric Properties of Biological Substances at Radio and Microwave Frequencies-A Review. IEEE Trans. Instrum. Meas. 1980, 29, 176–183. [Google Scholar] [CrossRef]
- Gajda, G.B. Numerical analysis of open-ended coaxial lines. IEEE Trans. Microwave Theory Tech. 1983, 31, 380–384. [Google Scholar] [CrossRef]
- Burdette, E.C. In vivo probe measurement technique for determining dielectric properties at VHF through microwave frequencies. IEEE Trans. Microwave Theory Tech. 1980, 28, 414–427. [Google Scholar] [CrossRef]
- Staebell, K.F. An experimental technique for in vivo permittivity measurement of materials at microwave frequencies. IEEE Trans. Microwave Theory Tech. 1990, 38, 337–339. [Google Scholar] [CrossRef]
- Berube, D. A comparative study of four open-ended coaxial probe models for permittivity measurements of lossy dielectric/biological materials at microwave frequencies. IEEE Trans. Microwave Theory Tech. 1996, 44, 1928–1934. [Google Scholar] [CrossRef]
- Anderson, J.M.; Sibbald, C.L.; Stuchly, S.S. Dielectric measurements using a rational function mode. IEEE Trans. Microwave Theory Tech. 1984, 42, 199–204. [Google Scholar] [CrossRef]
- Bakli, H. Microwave Interferometry Based on Open-ended Coaxial Technique for High Sensitivity Liquid Sensing. Adv. Electromagnetics 2017, 6, 88–93. [Google Scholar] [CrossRef]
- Keysight Technologies. Keysight N15O1A—Dielectric Probe Kit 10 MHz to 50 GHz. Technical Overview. 2018. Available online: https://literature.cdn.keysight.com/litweb/pdf/5992-0264EN.pdf (accessed on 30 January 2019).
- Bakhtiari, S.; Ganchev, S.I.; Zoughi, R. Analysis of radiation from an open-ended coaxial line into stratified dielectrics. IEEE Trans. Microwave Theory Tech. 1994, 42, 1261–1267. [Google Scholar] [CrossRef]
- Baker-Jarvis, J.; Janezic, M.; Domich, P.; Geyer, R. Analysis of an Open-Ended Coaxial Probe with Lift-off for Nondestructive Testing. IEEE Trans. Instrum. Meas. 1994, 43, 711–718. [Google Scholar] [CrossRef]
- Folgerø, K.; Haukalid, K.; Kocbach, J.; Peterson, A.S. Combined Thickness and Permittivity Measurement of Thin Layers with Open-Ended Coaxial Probes. In Proceedings of the 12th International Conference Electromagnetic Wave Interaction with Water and Moist Substances (ISEMA), Lublin, Poland, 4–7 June 2018; pp. 1–9. [Google Scholar]
- Sloan, E.D.; Koh, C.A. Clathrate Hydrates of Natural Gases, 3rd ed.; CRC Press: Boca Raon, FL, USA, 2007. [Google Scholar]
- Kinnari, K.; Hundseid, J.; Li, X.; Askvik, K.M. Hydrate management in practice. J. Chem. Eng. Data 2015, 60, 437–446. [Google Scholar] [CrossRef]
- Haukalid, K.; Folgerø, K. Broad-band permittivity measurements of formation of gas hydrate layers using open-ended coaxial probes. Energy Fuels 2016, 30, 7196–7205. [Google Scholar] [CrossRef]
- Folgerø, K.; Haukalid, K. Characterization of gas hydrates using dielectric spectroscopy. In Proceedings of the 11th International Conference on Electromagnetic Wave Interaction with Water and Moist Substances (ISEMA), Florence, Italy, 23–27 May 2016. [Google Scholar]
- Folgerø, K.; Tjomsland, T. Permittivity measurement of thin liquid layers using open-ended coaxial probes. Meas. Sci. Tech. 1996, 7, 1164–1173. [Google Scholar] [CrossRef]
- COMSOL Multiphysics v. 5.3. Available online: www.comsol.com (accessed on 30 January 2019).
- Petong, P.; Pottel, R.; Kaatze, U. Water-Ethanol Mixtures at Different Compositions and Temperatures. A Dieletric Relaxation Study. J. Phys. Chem. A 2000, 104, 7420–7428. [Google Scholar] [CrossRef]
- Hanai, T. Theory of the dielectric dispersion due to the interfacial polarization and its application to emulsions. Colloid. Polym. Sci. 1960, 171, 23–31. [Google Scholar] [CrossRef]
- Sum, A.K.M.; Koh, C.A.; Sloan, E.D. Developing a Comprehensive Understanding and Model of Hydrate in Multiphase Flow: From Laboratory Measurements to Field Applications. Energy Fuels 2012, 26, 4046–4052. [Google Scholar] [CrossRef]
- Haukalid, K.; Folgerø, K.; Barth, T.; Fjermestad, S.L. Hydrate Formation in Water-in-Crude Oil Emulsions Studied by Broad-Band Permittivity Measurements. Energy Fuels 2017, 31, 3793–3803. [Google Scholar] [CrossRef]
- Haukalid, K.; Folgerø, K. Dielectric mixture models for hydrate formation and agglomeration. In Proceedings of the 12th International Conference on Electromagnetic Interaction with Water and Moist Substances, Lublin, Poland, 4–7 June 2018. [Google Scholar]









© 2019 by the authors. Licensee MDPI, Basel, Switzerland. This article is an open access article distributed under the terms and conditions of the Creative Commons Attribution (CC BY) license (http://creativecommons.org/licenses/by/4.0/).
Share and Cite
Folgerø, K.; Haukalid, K.; Kocbach, J.; Peterson, A.S. Combined Thickness and Permittivity Measurement of Thin Layers with Open-Ended Coaxial Probes. Sensors 2019, 19, 1765. https://doi.org/10.3390/s19081765
Folgerø K, Haukalid K, Kocbach J, Peterson AS. Combined Thickness and Permittivity Measurement of Thin Layers with Open-Ended Coaxial Probes. Sensors. 2019; 19(8):1765. https://doi.org/10.3390/s19081765
Chicago/Turabian StyleFolgerø, Kjetil, Kjetil Haukalid, Jan Kocbach, and Andreas Soto Peterson. 2019. "Combined Thickness and Permittivity Measurement of Thin Layers with Open-Ended Coaxial Probes" Sensors 19, no. 8: 1765. https://doi.org/10.3390/s19081765
APA StyleFolgerø, K., Haukalid, K., Kocbach, J., & Peterson, A. S. (2019). Combined Thickness and Permittivity Measurement of Thin Layers with Open-Ended Coaxial Probes. Sensors, 19(8), 1765. https://doi.org/10.3390/s19081765

