Minimum-Cost Offloading for Collaborative Task Execution of MEC-Assisted Platooning
Abstract
:1. Introduction
2. Related Work
- The optimization problem of the combined mobile application of each vehicle terminal in a platoon and an MEC server is modeled as a constrained minimizing cost problem.
- By analyzing the characteristics of task model in a linear topology, combining the dynamic programming algorithm and the Lagrangian aggregation cost algorithm, the optimal task decision strategy is obtained under the condition that the deadline of the tasks is satisfied.
- The effectiveness of the proposed algorithm and strategy is verified by simulation. The simulation results show that, in comparison with task platoon execution and the MEC server execution, collaborative task execution can greatly reduce the cost of tasks offloading.
3. System Model
3.1. Task Model
3.2. Path Loss Model
3.3. Task Execution Model
3.3.1. Platoon Execution
3.3.2. MEC Server Execution
3.3.3. Platoon Data Transmission
3.3.4. MEC Server Data Transmission
4. Delay Constrained Offloading
5. Optimal Offloading Decision for Collaborative Task Execution
5.1. Optimal Offloading Based on LARAC
| Algorithm 1. Find minimum-cost path of for collaborative task execution. |
| 1. Input: |
| 2. |
| 3. |
| 4. If then |
| 5. return |
| 6. end if |
| 7. |
| 8. Ifthen |
| 9. return “There is no solution” |
| 10. end if |
| 11. while true do |
| 12. |
| 13. |
| 14. Ifthen |
| 15. return |
| 16. else |
| 17. ifthen |
| 18. |
| 19. else |
| 20. |
| 21. end If |
| 22. end If |
| 23. end while |
| 24. Output: |
5.2. Dynamic Programming Algorithm
6. Numerical Analysis
6.1. Application Profile
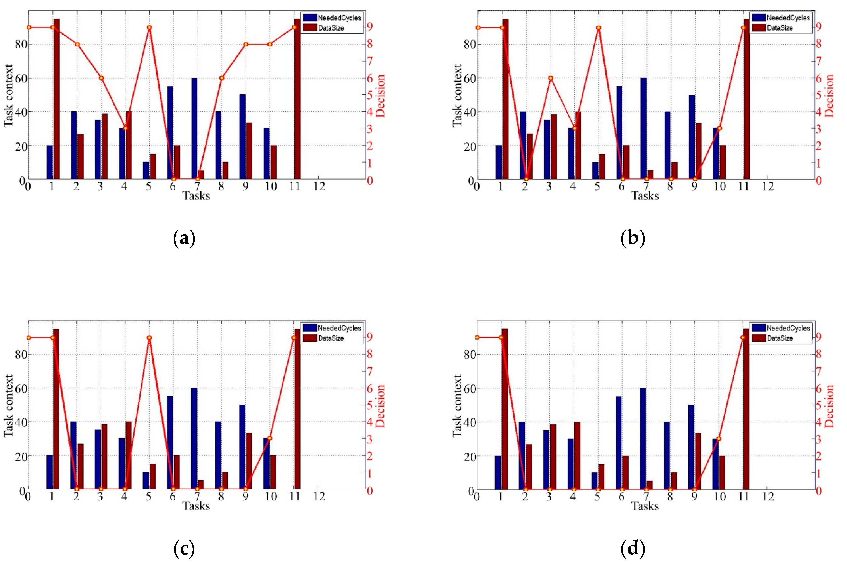
6.2. Minimum-Cost Decision Strategy
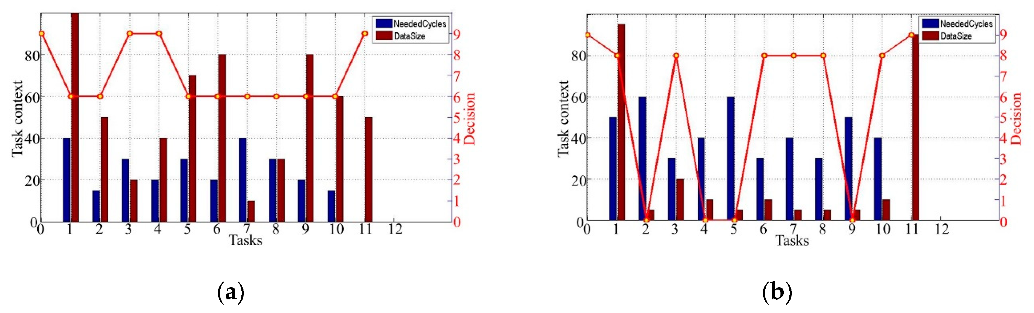
6.3. Comparison of Execution Patterns
7. Conclusions and Future Works
Author Contributions
Funding
Conflicts of Interest
References
- Beck, M.T.; Werner, M.; Feld, S.; Schimper, T. Mobile Edge Computing: A Taxonomy. In Proceedings of the Sixth International Conference on Advances in Future Internet, Lisbon, Portugal, 16–20 November 2014. [Google Scholar]
- Yan, M.; Song, J.; Yang, P.; Tang, Y. Distributed adaptive sliding mode control for vehicle platoon with uncertain driving resistance. In Proceedings of the 2017 36th Chinese Control Conference (CCC), Dalian, China, 26–28 July 2017; pp. 9396–9400. [Google Scholar]
- Axelsson, J. Safety in Vehicle Platooning: A Systematic Literature Review. IEEE Trans. Intell. Transp. Syst. 2017, 18, 1033–1045. [Google Scholar] [CrossRef]
- El-Zaher, M.; Dafflon, B.; Contet, J.-M.; Gechter, F. Vehicle Platoon Control with Multi-configuration Ability. In Proceedings of the International Conference on Computational Science (ICCS 2012), Omaha, NE, USA, 4–6 June 2012. [Google Scholar]
- Wang, L. The Embedded ARM user Program design of Vehicle Terminal. In Proceedings of the 2010 The 2nd International Conference on Computer and Automation Engineering (ICCAE), Singapore, 26–28 February 2010; pp. 563–567. [Google Scholar]
- Shah, S.A.A.; Ahmed, E.; Imran, M.; Zeadally, S. 5G for Vehicular Communications. IEEE Commun. Mag. 2018, 56, 111–117. [Google Scholar] [CrossRef]
- Mao, Y.; You, C.; Zhang, J.; Huang, K.; Letaief, K.B. A Survey on Mobile Edge Computing: The Communication Perspective. IEEE Commun. Surv. Tutorials 2017, 19, 2322–2358. [Google Scholar] [CrossRef]
- Kemp, R.; Palmer, T.; Kielmann, T.; Seinstra, F.; Drost, N.; Maassen, J.; Bal, H. eyeDentify: Multimedia Cyber Foraging from a Smartphone. In Proceedings of the 2009 11th IEEE International Symposium on Multimedia, San Diego, CA, USA; 2009; pp. 392–399. [Google Scholar]
- Al-Shuwaili, A.; Simeone, O. Energy-efficient resource allocation for mobile edge computing-based augmented reality applications. IEEE Wireless Commun. Lett. 2017, 6, 398–401. [Google Scholar] [CrossRef]
- TR22.885 V14.0.0. Study on LTE support for Vehicle to Everything (V2X) services. Available online: https://www.tech-invite.com/3m22/tinv-3gpp-22-885.html (accessed on 10 September 2017).
- Li, L.; Li, Y.; Hou, R. A Novel Mobile Edge Computing-Based Architecture for Future Cellular Vehicular Networks. In Proceedings of the 2017 IEEE Wireless Communications and Networking Conference (WCNC), San Francisco, CA, USA, 19–22 March 2017; pp. 1–6. [Google Scholar]
- Chen, X.; Jiao, L.; Li, W.; Fu, X. Efficient Multi-User Computation Offloading for Mobile Edge Cloud Computing. IEEE/ACM Trans. Netw. 2016, 24, 2795–2808. [Google Scholar] [CrossRef]
- Satyanarayanan, M.; Bahl, P.; Caceres, R.; Davies, N. The Case for VM-Based Cloudlets in Mobile Computing. IEEE Pervasive Comput. 2009, 8, 14–23. [Google Scholar] [CrossRef]
- Jararweh, Y.; Doulat, A.; Darabseh, A.; Alsmirat, M.; Al-Ayyoub, M.; Benkhelifa, E. SDMEC: Software Defined System for Mobile Edge Computing. In Proceedings of the 2016 IEEE International Conference on Cloud Engineering Workshop (IC2EW), Berlin, Germany, 4–8 April 2016; pp. 88–93. [Google Scholar]
- Mäkinen, O. Streaming at the Edge: Local Service Concepts Utilizing Mobile Edge Computing. In Proceedings of the 2015 9th International Conference on Next Generation Mobile Applications, Services and Technologies, Cambridge, UK, 9–11 September 2015; pp. 1–6. [Google Scholar]
- Dinh, T.Q.; Tang, J.; La, Q.D.; Quek, T.Q.S. Offloading in Mobile Edge Computing: Task Allocation and Computational Frequency Scaling. IEEE Trans. Commun. 2017, 65, 3571–3584. [Google Scholar]
- Zhang, K.; Mao, Y.; Leng, S.; Maharjan, S.; Zhang, Y. Optimal delay constrained offloading for vehicular edge computing networks. In Proceedings of the 2017 IEEE International Conference on Communications (ICC), Paris, France, 21–25 May 2017; pp. 1–6. [Google Scholar]
- Jia, M.; Cao, J.; Yang, L. Heuristic offloading of concurrent tasks for computation-intensive applications in mobile cloud computing. In Proceedings of the 2014 IEEE Conference on Computer Communications Workshops (INFOCOM WKSHPS), Toronto, ON, Canada, 27 April–2 May 2014; pp. 352–357. [Google Scholar]
- Zhang, W.; Wen, Y.; Wu, D.O. Energy-efficient scheduling policy for collaborative execution in mobile cloud computing. In Proceedings of the 2013 IEEE INFOCOM, Turin, Italy, 14–19 April 2013; pp. 190–194. [Google Scholar]
- Cheng, Z.; Li, P.; Wang, J.; Guo, S. Just-in-time code offloading for wearable computing. IEEE Trans. Emerg. Topics Comput. 2015, 3, 74–83. [Google Scholar] [CrossRef]
- Lyu, X.; Tian, H. Adaptive receding horizon offloading strategy under dynamic environment. IEEE Commun. Lett. 2016, 20, 878–881. [Google Scholar] [CrossRef]
- Shao, C.; Leng, S.; Zhang, Y.; Vinel, A.; Jonsson, M. Performance Analysis of Connectivity Probability and Connectivity-Aware MAC Protocol Design for Platoon-Based VANETs. IEEE Trans. Veh. Technol. 2015, 64, 5596–5609. [Google Scholar] [CrossRef]
- Jia, D.; Lu, K.; Wang, J. On the network connectivity of platoon-based vehicular cyber-physical systems. Transp. Res. Part C Emerg. Technol. 2014, 40, 215–230. [Google Scholar] [CrossRef]
- Campolo, C.; Molinaro, A.; Araniti, G.; Berthet, A.O. Better Platooning Control Toward Autonomous Driving: An LTE Device-to-Device Communications Strategy That Meets Ultralow Latency Requirements. IEEE Veh. Technol. Mag. 2017, 12, 30–38. [Google Scholar] [CrossRef]
- Shao, C.; Leng, S.; Zhang, Y.; Vinel, A.; Jonsson, M. Analysis of connectivity probability in platoon-based Vehicular Ad Hoc Networks. In Proceedings of the 2014 International Wireless Communications and Mobile Computing Conference (IWCMC), Nicosia, Cyprus, 4–8 August 2014; pp. 706–711. [Google Scholar]
- Khaksari, M.; Fischione, C. Performance analysis and optimization of the joining protocol for a platoon of vehicles. In Proceedings of the 5th International Symposium on Communications, Control and Signal Processing, Rome, Italy, 2–4 May 2012; pp. 1–6. [Google Scholar]
- Wang, Y.; Sheng, M.; Wang, X.; Wang, L.; Li, J. Mobile-Edge Computing: Partial Computation Offloading Using Dynamic Voltage Scaling. IEEE Trans. Commun. 2016, 64, 4268–4282. [Google Scholar] [CrossRef]
- IEEE Std. 802.11p: Standard for Information Technology-Telecommunications and Information Exchange Between Systems-Local and Metropolitan Area Networks—Specific Requirements Part 11: Wireless LAN Medium Access Control (MAC) and Physical Layer (PHY) Specifications Amendment 6: Wireless Access in Vehicular Environments. 2010. Available online: https://standards.ieee.org/project/802_11bb.html (accessed on 8 December 2018).
- RP-161894. LTE-based V2X Services, 3GPP. Available online: https://portal.3gpp.org/ngppapp/CreateTdoc.aspx?mode=view&contributionId=730345 (accessed on 8 December 2018).
- Karedal, J.; Czink, N.; Paier, A.; Tufvesson, F.; Molisch, A.F. Path loss modeling for vehicle-to-vehicle communications. IEEE Trans. Veh. Technol. 2011, 60, 323–328. [Google Scholar] [CrossRef]
- Lyu, X.; Tian, H.; Sengul, C.; Zhang, P. Multiuser Joint Task Offloading and Resource Optimization in Proximate Clouds. IEEE Trans. Veh. Technol. 2017, 66, 3435–3447. [Google Scholar] [CrossRef]
- Wang, Z.; Crowcroft, J. Quality-of-service routing for supporting multimedia applications. IEEE J. Sel. Areas Commun. 1996, 14, 1228–1234. [Google Scholar] [CrossRef]
- Juttner, A.; Szviatovski, B.; Mecs, I.; Rajko, Z. Lagrange relaxation based method for the QoS routing problem. In Proceedings of the Twentieth Annual Joint Conference of the IEEE Computer and Communications Society, Anchorage, AK, USA, 22–26 April 2001; pp. 859–868. [Google Scholar]
- Yuan, X. Heuristic algorithms for multiconstrained quality-of-service routing. IEEE/ACM Trans. Networking 2002, 10, 244–256. [Google Scholar] [CrossRef]
- Jüttner, A. On resource constrained optimization problems. In Proceedings of the 4th Japanese-Hungarian Symposium on Discrete Mathematics and Its Applications, Budapest, Hungary, 3–6 June 2005. [Google Scholar]
- Miettinen, A.P.; Nurminen, J.K. Energy efficiency of mobile clients in cloud computing. In Proceedings of the 2nd USENIX conference on Hot topics in cloud computing, Berkeley, CA, USA, 22–25 June 2010. [Google Scholar]
- Widyono, R. The Design and Evaluation of Routing Algorithms for Realtime Channels; Technical Report TR-94-024; University of California: Berkeley, CA, USA, 1994. [Google Scholar]










| Parameters | Value |
|---|---|
| The number of platoon members | 9 |
| Bandwidth for V2V communication | |
| Bandwidth for V2I communication | |
| The noise power | |
| The transmission power of vehicle | |
| The transmission power of BS | |
| The distance between the adjacent transmitter and the receiver | |
| The distance between the leader and BS | |
| the computation resource cost of vehicle |
© 2019 by the authors. Licensee MDPI, Basel, Switzerland. This article is an open access article distributed under the terms and conditions of the Creative Commons Attribution (CC BY) license (http://creativecommons.org/licenses/by/4.0/).
Share and Cite
Fan, X.; Cui, T.; Cao, C.; Chen, Q.; Kwak, K.S. Minimum-Cost Offloading for Collaborative Task Execution of MEC-Assisted Platooning. Sensors 2019, 19, 847. https://doi.org/10.3390/s19040847
Fan X, Cui T, Cao C, Chen Q, Kwak KS. Minimum-Cost Offloading for Collaborative Task Execution of MEC-Assisted Platooning. Sensors. 2019; 19(4):847. https://doi.org/10.3390/s19040847
Chicago/Turabian StyleFan, Xiayan, Taiping Cui, Chunyan Cao, Qianbin Chen, and Kyung Sup Kwak. 2019. "Minimum-Cost Offloading for Collaborative Task Execution of MEC-Assisted Platooning" Sensors 19, no. 4: 847. https://doi.org/10.3390/s19040847
APA StyleFan, X., Cui, T., Cao, C., Chen, Q., & Kwak, K. S. (2019). Minimum-Cost Offloading for Collaborative Task Execution of MEC-Assisted Platooning. Sensors, 19(4), 847. https://doi.org/10.3390/s19040847

