Novel Electromagnetic Sensors Embedded in Reinforced Concrete Beams for Crack Detection
Abstract
1. Introduction
2. Design of the Experiments
2.1. Design of the Beams
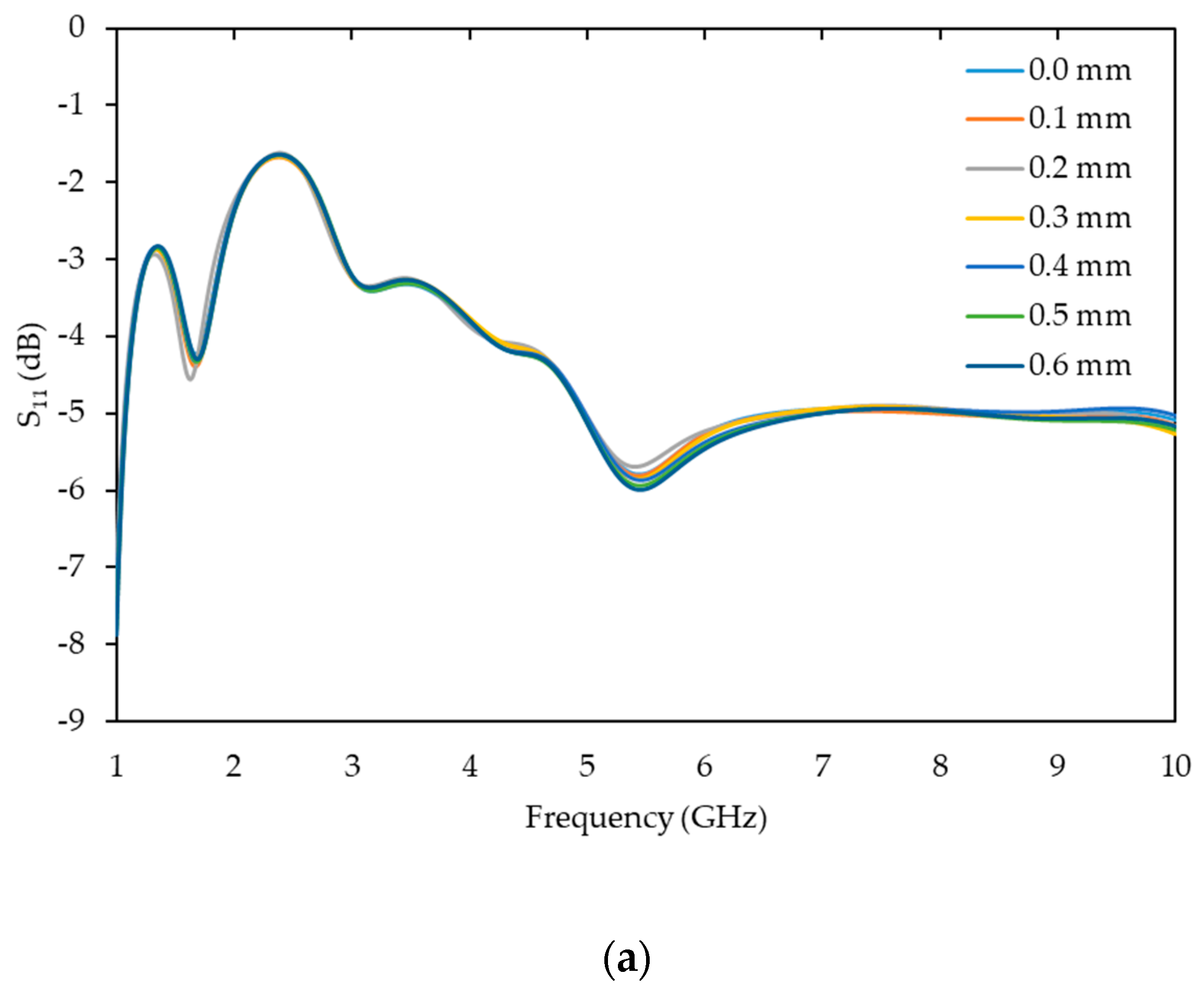
2.2. Design of the Microwave Sensors
3. Experimental Programme
3.1. Specimens’ Preparation and Instrumentation
3.2. Experimental Set-Up
4. Results
4.1. Results on the Structural Response
4.2. Results for the Microwave Sensor
5. Conclusions
Author Contributions
Funding
Acknowledgments
Conflicts of Interest
References
- Staszewski, W. Structural Health Monitoring Using Guided Ultrasonic Waves. In Advances in Smart Technologies in Structural Engineering; Springer: Berlin/Heidelberg, Germany, 2004; pp. 117–162. [Google Scholar]
- Rafiq, M.I. Structural health monitoring for maintenance management of deteriorating structures: Current practice and state of the art. In Proceedings of the 2nd International and 6th National Conference on Earthquake & Structures, Kerman, Iran, 14–15 October 2015; pp. 1–19. [Google Scholar]
- Highways Agency. Highways Agency Business Plan 2014-15; Highways Agency: London, UK, 2014. [Google Scholar]
- Balageas, D.; Fritzen, C.P.; Güemes, A. Structural Health Monitoring; ISTE: Newport Beach, CA, USA, 2006. [Google Scholar]
- Park, H.S.; Shin, Y.; Choi, S.W.; Kim, Y. An Integrative Structural Health Monitoring System for the Local/Global Responses of a Large-Scale Irregular Building under Construction. Sensors 2013, 13, 9085–9103. [Google Scholar] [CrossRef]
- Chang, P.C.; Flatau, A.; Liu, S.C. Review Paper: Health Monitoring of Civil Infrastructure. Struct. Heal. Monit. 2003, 2, 257–267. [Google Scholar] [CrossRef]
- Kot, P.; Ali, A.S.; Shaw, A.; Riley, M.; Alias, A. The application of electromagnetic waves in monitoring water infiltration on concrete flat roof: The case of Malaysia. Constr. Build. Mater. 2016, 122, 435–445. [Google Scholar] [CrossRef]
- Teng, K.H.; Kot, P.; Muradov, M.; Shaw, A.; Hashim, K.; Gkantou, M.; Al-Shamma’a, A. Embedded Smart Antenna for Non-Destructive Testing and Evaluation (NDT & E) of Moisture Content and Deterioration in Concrete. Sensors 2019, 19, 547. [Google Scholar]
- Kot, P.; Shaw, A.; Riley, M.; Ali, A.S.; Cotgrave, A. The Feasibility of Using Electromagnetic Waves in Determining Membrane Failure through Concrete. Int. J. Civ. Eng. 2017, 15, 355–362. [Google Scholar] [CrossRef]
- Eurocode 2: Design of Concrete Structures–Part 1-1: General Rules and Rules for Buildings; EN 1992-1-1; European Committee for Standardisation (CEN): Brussels, Belgium, 2004.
- Salim, A.; Sungjoon, L. Complementary split-ring resonator-loaded microfluidic ethanol chemical sensor. Sensors 2016, 16, 1802. [Google Scholar] [CrossRef] [PubMed]
- Rawat, V.; Dhobale, S.; Kale, S.N. Ultra-fast selective sensing of ethanol and petrol using microwave-range metamaterial complementary split-ring resonators. J. Appl. Phys. 2014, 116, 164106. [Google Scholar] [CrossRef]
- Barochi, G.; Rossignol, J.; Bouvet, M. Development of microwave gas sensors. Sens. Actuators B Chem. 2011, 157, 374–379. [Google Scholar] [CrossRef]
- Albishi, A.; Ramahi, O. Detection of surface and subsurface cracks in metallic and non-metallic materials using a complementary split-ring resonator. Sensors 2014, 14, 19354–19370. [Google Scholar] [CrossRef] [PubMed]
- Naqui, J.; Durán-Sindreu, M.; Martín, F. Novel sensors based on the symmetry properties of split ring resonators (SRRs). Sensors 2011, 11, 7545–7553. [Google Scholar] [CrossRef] [PubMed]
- Horestani, A.K.; Fumeaux, C.; Al-Sarawi, S.F.; Abbott, D. Displacement sensor based on diamond-shaped tapered split ring resonator. IEEE Sens. J. 2014, 13, 1153–1160. [Google Scholar] [CrossRef]
- Islam, M.; Islam, M.; Samsuzzaman, M.; Faruque, M.; Misran, N. A negative index metamaterial-inspired UWB antenna with an integration of complementary SRR and CLS unit cells for microwave imaging sensor applications. Sensors 2015, 15, 11601–11627. [Google Scholar] [CrossRef] [PubMed]
- Ansys. 3D Electromagnetic Field Simulator for RF and Wireless Design. 2019. Available online: https://www.ansys.com/products/electronics/ansys-hfss (accessed on 1 November 2019).
- Kaushal, D.; Shanmuganantham, T. Parametric enhancement of a novel microstrip patch antenna using Circular SRR Loaded Fractal Geometry. Alex. Eng. J. 2018, 57, 2551–2557. [Google Scholar] [CrossRef]
- Piladaeng, N.; Angkawisittpan, N.; Homwuttiwong, S. Determination of relationship between dielectric properties, compressive strength, and age of concrete with rice husk ash using planar coaxial probe. Meas. Sci. Rev. 2016, 16, 14–20. [Google Scholar] [CrossRef]
- Teychenné, D.C.; Franklin, R.E.; Erntroy, H.C.; Hobbs, D.W.; Marsh, B.K. Design of Normal Concrete Mixes; H.M.S.O. [for the] Building Research Establishment [and the] Transport and Road Research Laboratory: London, UK, 1975. [Google Scholar]
















© 2019 by the authors. Licensee MDPI, Basel, Switzerland. This article is an open access article distributed under the terms and conditions of the Creative Commons Attribution (CC BY) license (http://creativecommons.org/licenses/by/4.0/).
Share and Cite
Gkantou, M.; Muradov, M.; Kamaris, G.S.; Hashim, K.; Atherton, W.; Kot, P. Novel Electromagnetic Sensors Embedded in Reinforced Concrete Beams for Crack Detection. Sensors 2019, 19, 5175. https://doi.org/10.3390/s19235175
Gkantou M, Muradov M, Kamaris GS, Hashim K, Atherton W, Kot P. Novel Electromagnetic Sensors Embedded in Reinforced Concrete Beams for Crack Detection. Sensors. 2019; 19(23):5175. https://doi.org/10.3390/s19235175
Chicago/Turabian StyleGkantou, Michaela, Magomed Muradov, George S. Kamaris, Khalid Hashim, William Atherton, and Patryk Kot. 2019. "Novel Electromagnetic Sensors Embedded in Reinforced Concrete Beams for Crack Detection" Sensors 19, no. 23: 5175. https://doi.org/10.3390/s19235175
APA StyleGkantou, M., Muradov, M., Kamaris, G. S., Hashim, K., Atherton, W., & Kot, P. (2019). Novel Electromagnetic Sensors Embedded in Reinforced Concrete Beams for Crack Detection. Sensors, 19(23), 5175. https://doi.org/10.3390/s19235175

