Outage Performance Improvement by Selected User in D2D Transmission and Implementation of Cognitive Radio-Assisted NOMA
Abstract
1. Introduction
- Motivated from recent results in [38], we only concern performance of D2D links in secondary network of CR-D2DNOMA system. It is worth noting that normal Relay user (RU) is official served by the base station (BS) in the secondary network. While RU assists D2D transmission, it can receive signal from the BS. This situation makes interference harm operation of D2D link.
- Impact of interference from the primary source (PS) in the primary network on the secondary network’s performance in such D2D assisted CR-NOMA is studied. The performance degradation can be controlled by limiting interference source and total transmit power constraint in CR-NOMA.
- We provide main metric to compare performance between CR-NOMA and CR-OMA. In particular, exact closed-form expressions for the outage probability are provided. As expected result, it provides advantages of these techniques including D2D, NOMA, and CR.
- Selected user is allowed to perform D2D transmission through nearby cellular user which forwards NOMA signals to far D2D users. Therefore, the traditional cognitive radio network can further serve D2D users with improved outage performance while remaining quality for normal cellular users.
- These results can be useful in many practical applications, for example, evaluating the traditional channel model in CR-D2DNOMA network such as Rayleigh fading is resulted from this paper.
2. System Model
3. Outage Probability Analysis in NOMA
3.1. Outage Probability at User
3.2. Outage Probability at User
3.3. Consideration on Imperfect SIC
3.4. Asymptotic in NOMA
4. Conventional Multiple Access: OMA Mode
4.1. Outage Performance at User in OMA Mode
4.2. Outage Performance at User in OMA Mode
4.3. Asymptotic Computation on Outage Probability in OMA Mode
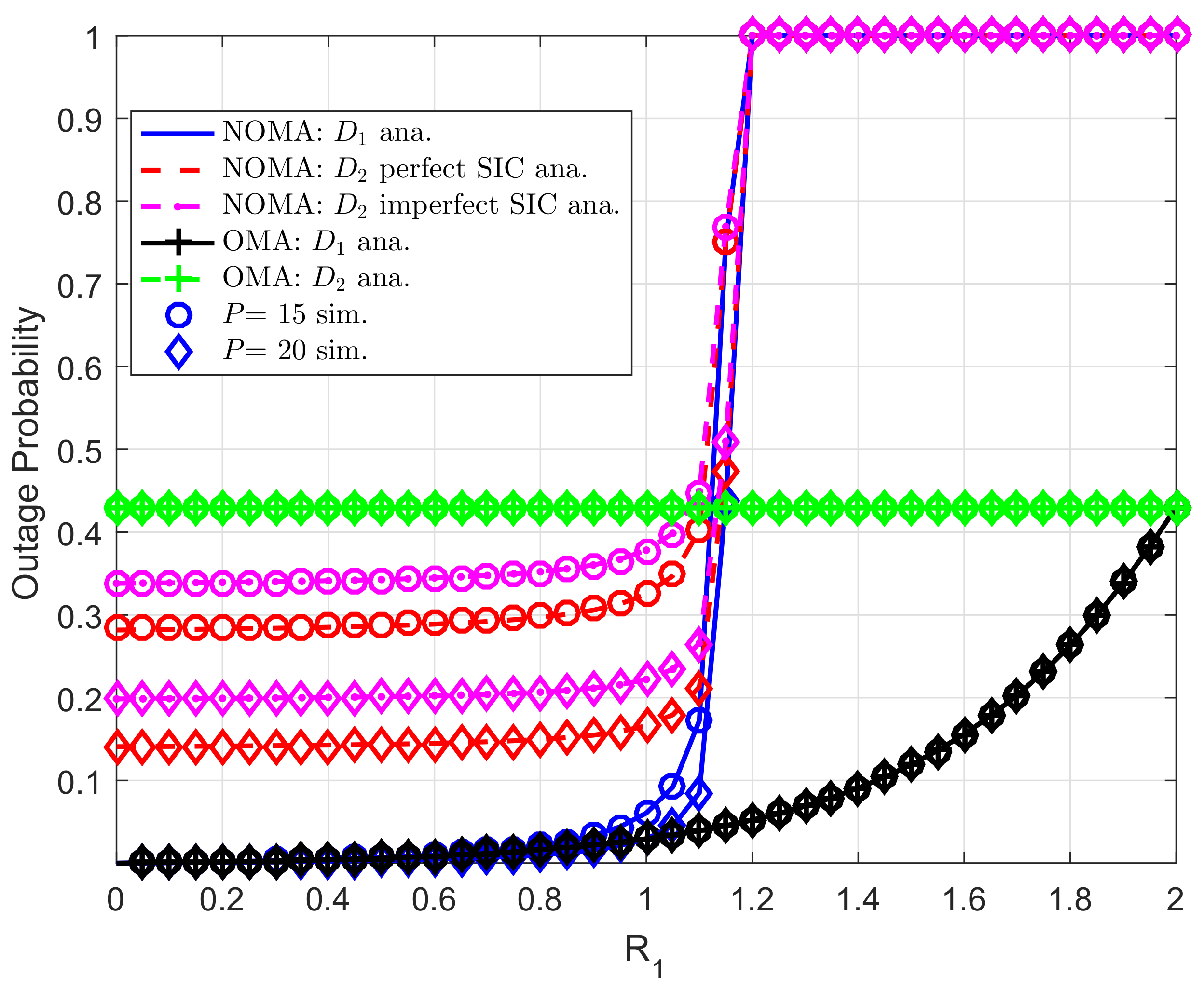
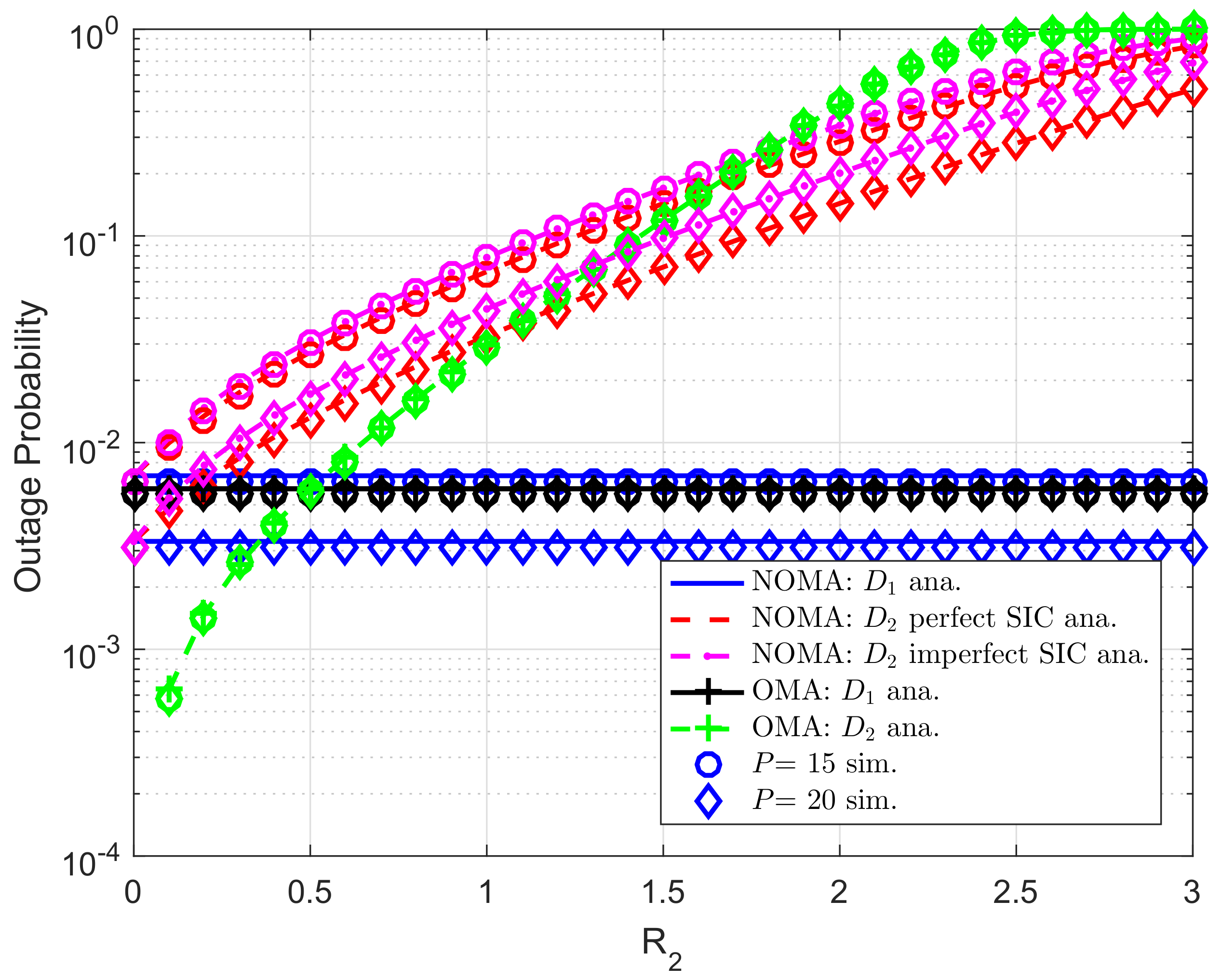
5. Simulation Results
6. Conclusions
Author Contributions
Funding
Conflicts of Interest
Appendix A
Appendix B
Appendix C
References
- Mitola, J. Cognitive radio for flexible mobile multimedia communications. Mob. Multimed. Commun. 2001, 6, 435–441. [Google Scholar]
- Liu, X.; Jia, M.; Zhang, X.; Lu, W. A Novel Multichannel Internet of Things Based on Dynamic Spectrum Sharing in 5G Communication. IEEE Internet Things 2019, 6, 5962–5970. [Google Scholar] [CrossRef]
- Liu, X.; Jia, M.; Gu, X.; Tan, X. Optimal periodic cooperative spectrum sensing based on weight fusion in cognitive radio networks. Sensors 2013, 13, 5251–5272. [Google Scholar] [CrossRef] [PubMed]
- Shen, J.; Liu, S.; Wang, Y.; Xie, G.; Rashvand, H.F.; Liu, Y. Robust energy detection in cognitive radio. IET Commun. 2009, 3, 1016–1023. [Google Scholar] [CrossRef]
- Choi, W.; Song, M.-G.; Ahn, J.; Im, G.-H. Soft combining for cooperative spectrum sensing over fast-fading channels. IEEE Commun. Lett. 2013, 18, 193–196. [Google Scholar] [CrossRef]
- Liu, X.; Jia, M.; Tan, X. Threshold optimization of cooperative spectrum sensing in cognitive radio networks. Radio Sci. 2013, 48, 23–32. [Google Scholar] [CrossRef]
- Liu, X.; Jia, M. Joint optimal fair cooperative spectrum sensing and transmission in cognitive radio. Phys. Commun. 2017, 25, 445–453. [Google Scholar] [CrossRef]
- Stotas, S.; Nallanathan, A. On the throughput and spectrum sensing enhancement of opportunistic spectrum access cognitive radio networks. IEEE Trans. Wirel. Commun. 2012, 11, 97–107. [Google Scholar] [CrossRef]
- Liu, X.; Tan, X. Optimization algorithm of periodical cooperative spectrum sensing in cognitive radio. Int. J. Commun. Syst. 2014, 27, 705–720. [Google Scholar] [CrossRef]
- Liu, X.; Zhang, X.; Jia, M.; Fan, L.; Lu, W.; Zhai, X. 5G-based green broadband communication system design with simultaneous wireless information and power transfer. Phys. Commun. 2018, 28, 130–137. [Google Scholar] [CrossRef]
- Liao, Y.; Wang, T.; Song, L.; Han, Z. Listen-and-talk: Protocol design and analysis for full-duplex cognitive radio networks. IEEE Trans. Veh. Technol. 2017, 66, 656–667. [Google Scholar] [CrossRef]
- Nam, P.-M.; Do, D.-T.; Nguyen, T.-T.; Tin, P.T. Energy harvesting assisted cognitive radio: random location-based transceivers scheme and performance analysis. Telecommun. Syst. 2018, 67, 123–132. [Google Scholar] [CrossRef]
- Nguyen, H.-S.; Do, D.-T.; Nguyen, T.-S.; Voznak, M. Exploiting hybrid time switching-based and power splitting-based relaying protocol in wireless powered communication networks with outdated channel state information. Automatika 2017, 58, 111–118. [Google Scholar] [CrossRef]
- Do, D.-T.; Van Nguyen, M.-S. Device-to-device transmission modes in NOMA network with and without Wireless Power Transfer. Comput. Commun. 2019, 139, 67–77. [Google Scholar] [CrossRef]
- Nguyen, T.-L.; Do, D.-T. Exploiting Impacts of Intercell Interference on SWIPT-assisted Non-orthogonal Multiple Access. Wirel. Commun. Mob. Comput. 2018, 2018, 2525492. [Google Scholar] [CrossRef]
- Do, D.-T.; Van Nguyen, M.-S.; Hoang, T.-A.; Voznak, M. NOMA-Assisted Multiple Access Scheme for IoT Deployment: Relay Selection Model and Secrecy Performance Improvement. Sensors 2019, 19, 736. [Google Scholar] [CrossRef]
- Lv, L.; Chen, J.; Ni, Q. Cooperative non-orthogonal multiple access in cognitive radio. IEEE Commun. Lett. 2016, 20, 2059–2062. [Google Scholar] [CrossRef]
- Ding, Z.; Fan, P.; Poor, H.V. Impact of user pairing on 5G non-orthogonal multiple access downlink transmissions. IEEE Trans. Veh. Technol. 2016, 65, 6010–6023. [Google Scholar] [CrossRef]
- Do, D.-T.; Le, A.-T.; Le, C.-B.; Lee, B.M. On Exact Outage and Throughput Performance of Cognitive Radio based Non-Orthogonal Multiple Access Networks with and without D2D Link. Sensors 2019, 19, 3314. [Google Scholar] [CrossRef]
- Do, D.-T.; Le, A.-T.; Lee, B.M. On Performance Analysis of Underlay Cognitive Radio-Aware Hybrid OMA/NOMA Networks with Imperfect CSI. Electronics 2019, 8, 819. [Google Scholar] [CrossRef]
- Van Nguyen, M.-S.; Do, D.-T.; Voznak, M. Improving Performance of Far Users in Cognitive Radio: Exploiting NOMA and Wireless Power Transfer. Energies 2019, 12, 2206. [Google Scholar] [CrossRef]
- Do, D.-T.; Van Nguyen, M.-S.; Hoang, T.-A.; Lee, B.M. Exploiting Joint Base Station Equipped Multiple Antenna and Full-Duplex D2D Users in Power Domain Division Based Multiple Access Networks. Sensors 2019, 19, 2475. [Google Scholar] [CrossRef] [PubMed]
- Lv, L.; Chen, J.; Ni, Q.; Ding, Z.; Jiang, H. Cognitive non-orthogonal multiple access with cooperative relaying: A new wireless frontier for 5G spectrum sharing. IEEE Commun. Mag. 2018, 56, 188–195. [Google Scholar] [CrossRef]
- Lee, S.; Duong, T.Q.; Costa, D.B.D.; Ha, D.B.; Nguyen, S.Q. Underlay cognitive radio networks with cooperative non-orthogonal multiple access. IET Commun. 2018, 56, 359–366. [Google Scholar] [CrossRef]
- Chu, T.M.C.; Zepernick, H.-J. Non-orthogonal multiple access for DF cognitive cooperative radio networks. In Proceedings of the 2018 IEEE International Conference on Communications Workshops (ICC Workshops), Kansas City, MO, USA, 20–24 May 2018. [Google Scholar]
- Yu, Z.; Zhai, C.; Liu, J.; Xu, H. Cooperative Relaying Based Non-Orthogonal Multiple Access (NOMA) With Relay Selection. IEEE Trans. Veh. Technol. 2018, 67, 11606–11618. [Google Scholar] [CrossRef]
- Jameel, F.; Wyne, S.; Nawaz, S.J.; Chang, Z.; Ristaniemi, T. Outage Analysis of Relay-Aided Non-Orthogonal Multiple Access with Partial Relay Selection. In Proceedings of the 2018 IEEE Globecom Workshops (GC Wkshps), Abu Dhabi, United Arab Emirates, 9–13 December 2018. [Google Scholar]
- Do, D.-T.; Le, A.-T. NOMA based cognitive relaying: Transceiver hardware impairments, relay selection policies and outage performance comparison. Comput. Commun. 2019, 146, 144–154. [Google Scholar] [CrossRef]
- Nguyen, T.N.; Minh, T.H.Q.; Tran, P.T.; Voznak, M.; Duy, T.T.; Nguyen, T.-L.; Tin, P.T. Performance Enhancement for Energy Harvesting Based Two-Way Relay Protocols in Wireless Ad-hoc Networks with Partial and Full Relay Selection Methods. Ad-hoc Netw. 2019, 84, 178–187. [Google Scholar] [CrossRef]
- Lv, L.; Chen, J.; Ni, Q.; Ding, Z. Design of Cooperative Non-Orthogonal Multicast Cognitive Multiple Access for 5G Systems: User Scheduling and Performance Analysis. IEEE Trans. Commun. 2017, 65, 2641–2656. [Google Scholar] [CrossRef]
- Boccardi, F.; Heath, R.W.; Lozano, A.; Marzetta, T.L.; Popovski, P. Five disruptive technology directions for 5G. IEEE Commun. Mag. 2014, 52, 74–80. [Google Scholar] [CrossRef]
- Asadi, A.; Wang, Q.; Mancuso, V. A survey on device-to-device communication in cellular networks. IEEE Commun. Surveys Tuts. 2014, 52, 1801–1819. [Google Scholar] [CrossRef]
- Fodor, G.; Dahlman, E.; Mildh, G.; Parkvall, S.; Reider, N.; Miklos, G.; Turanyi, Z. Design aspects of network assisted device-to-device communications. IEEE Commun. Mag. 2012, 50, 170–177. [Google Scholar] [CrossRef]
- Lin, X.; Andrews, J.G.; Ghosh, A. Spectrum sharing for deviceto-device communication in cellular networks. IEEE Trans. Wirel. Commun. 2014, 13, 6727–6740. [Google Scholar] [CrossRef]
- Ma, C.; Wu, W.; Cui, Y.; Wang, X. On the performance of successive interference cancellation in D2D-enabled cellular networks. In Proceedings of the IEEE Conference on Computer Communications (INFOCOM), Kowloon, Hong Kong, China, 26 April–1 May 2015. [Google Scholar]
- Kim, J.; Lee, I.; Lee, J. Capacity Scaling for D2D Aided Cooperative Relaying Systems Using NOMA. IEEE Wirel. Commun. Lett. 2018, 7, 42–45. [Google Scholar] [CrossRef]
- Chen, J.; Jia, J.; Liu, Y.; Wang, X.; Aghvami, A.H. Optimal Resource Block Assignment and Power Allocation for D2D-Enabled NOMA Communication. IEEE Access 2019, 7, 90023–90035. [Google Scholar] [CrossRef]
- Im, G.; Lee, J.H. Outage Probability for Cooperative NOMA Systems with Imperfect SIC in Cognitive Radio Networks. IEEE Commun. Lett. 2019, 23, 692–695. [Google Scholar] [CrossRef]
- Liu, J.; Kato, N.; Ma, J.; Kadowaki, N. Device-to-Device Communication in LTE-Advanced Networks: A Survey. IEEE Commun. Surv. Tutor. 2015, 27, 1923–1940. [Google Scholar] [CrossRef]









© 2019 by the authors. Licensee MDPI, Basel, Switzerland. This article is an open access article distributed under the terms and conditions of the Creative Commons Attribution (CC BY) license (http://creativecommons.org/licenses/by/4.0/).
Share and Cite
Do, D.-T.; Nguyen, M.-S.V.; Lee, B.M. Outage Performance Improvement by Selected User in D2D Transmission and Implementation of Cognitive Radio-Assisted NOMA. Sensors 2019, 19, 4840. https://doi.org/10.3390/s19224840
Do D-T, Nguyen M-SV, Lee BM. Outage Performance Improvement by Selected User in D2D Transmission and Implementation of Cognitive Radio-Assisted NOMA. Sensors. 2019; 19(22):4840. https://doi.org/10.3390/s19224840
Chicago/Turabian StyleDo, Dinh-Thuan, Minh-Sang Van Nguyen, and Byung Moo Lee. 2019. "Outage Performance Improvement by Selected User in D2D Transmission and Implementation of Cognitive Radio-Assisted NOMA" Sensors 19, no. 22: 4840. https://doi.org/10.3390/s19224840
APA StyleDo, D.-T., Nguyen, M.-S. V., & Lee, B. M. (2019). Outage Performance Improvement by Selected User in D2D Transmission and Implementation of Cognitive Radio-Assisted NOMA. Sensors, 19(22), 4840. https://doi.org/10.3390/s19224840

