A Robust Direction of Arrival Estimation Method for Uniform Circular Array
Abstract
1. Introduction
2. Array Structure and Signal Model
3. Proposed DOA Estimation Method
3.1. Phase Mode Excitation for Circular Arrays
3.2. Reconstruction of the Covariance Matrix
3.3. DOA Estimation Based on RANSAC
| Algorithm 1: RAN-ESPRIT algorithm |
|
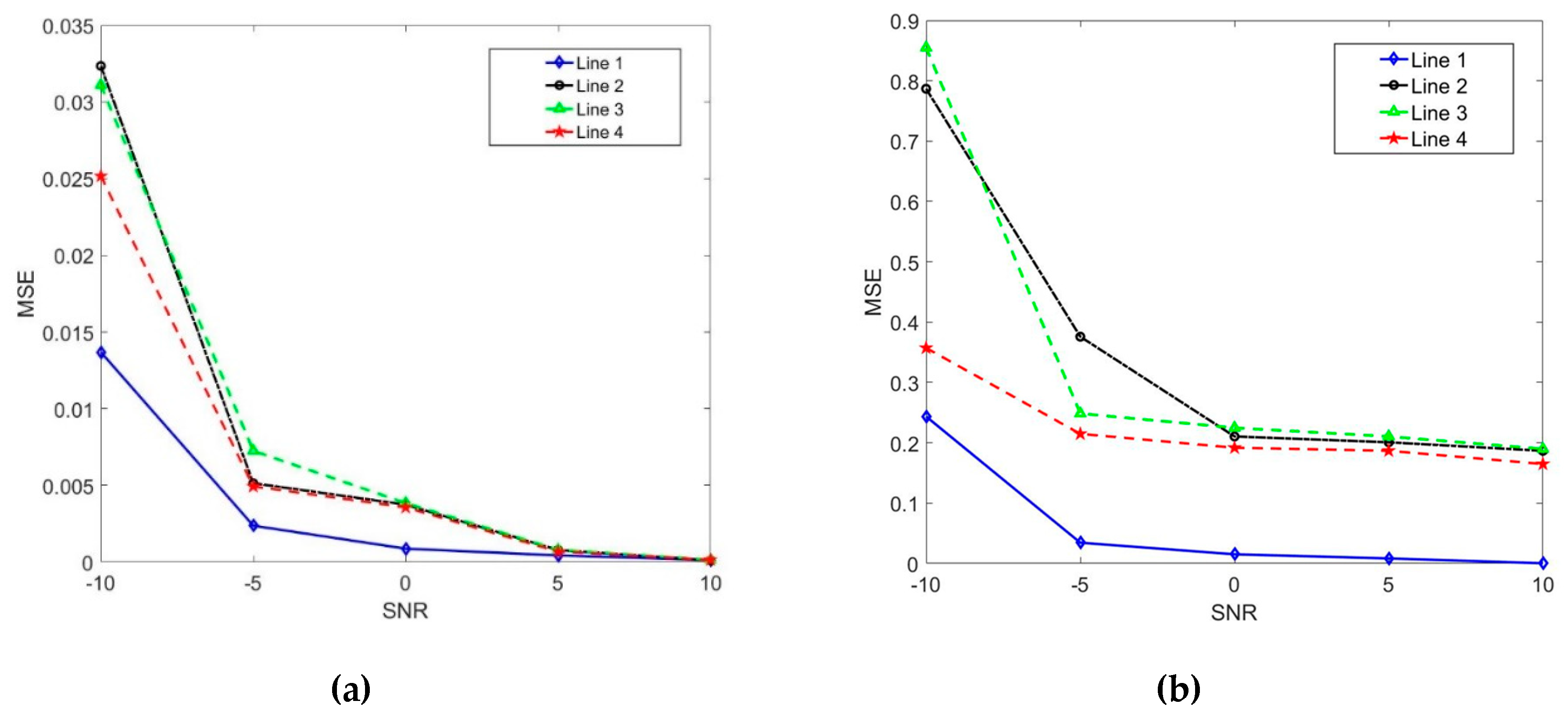
4. Experimental Results and Discussions
4.1. Experimental Results
4.2. Discussion
5. Conclusions
Author Contributions
Funding
Conflicts of Interest
Appendix A
References
- Lee, T.J.; Kim, C.H.; Cho, D.D. A Monocular Vision Sensor-Based Efficient SLAM Method for Indoor Service Robots. IEEE Trans. Ind. Electron. 2019, 66, 318–328. [Google Scholar] [CrossRef]
- Latif, T.; Whitmire, E.; Novak, T.; Bozkurt, A. Sound Localization Sensors for Search and Rescue Biobots. IEEE Sens. J. 2016, 16, 3444–3453. [Google Scholar] [CrossRef]
- Battista, L.; Schena, E.; Schiavone, G.; Sciuto, S.A.; Silvestri, S. Calibration and uncertainty evaluation using monte Carlo method of a simple 2D sound localization system. IEEE Sens. J. 2013, 13, 3312–3318. [Google Scholar] [CrossRef]
- Benesty, J.; Chen, J.; Huang, Y. Microphone Array Signal Processing; Springer: Berlin, Germany, 2008. [Google Scholar]
- Zeng, X.; Yang, M.; Chen, B.; Jin, Y. Estimation of direction of arrival by time reversal for low angle targets. IEEE Trans. Aerosp. Electron. Syst. 2018, 54, 2675–2694. [Google Scholar] [CrossRef]
- Liu, H.; Li, B.; Yuan, X.; Zhou, Q.; Huang, J. A Robust Real Time Direction-of-Arrival Estimation Method for Sequential Movement Events of Vehicles. Sensors 2018, 18, 992. [Google Scholar] [CrossRef] [PubMed]
- Chao, R.; Liu, B.; Gao, F.; Zhang, X. A Low-Complex One-Snapshot DOA Estimation Algorithm with Massive ULA. IEEE Commun. Lett. 2017, 21, 1071–1074. [Google Scholar]
- Hu, W. DOA Estimation for UCA in the Presence of Gain-Phase Errors. IEEE Commun. Lett. 2019, 23, 446–449. [Google Scholar] [CrossRef]
- Zhe, D.; Ming, Y. Research on TDOA based microphone array acoustic localization. In Proceedings of the 12th IEEE International Conference on Electronic Measurement & Instruments (ICEMI), Qingdao, China, 16–18 July 2015; pp. 1077–1081. [Google Scholar]
- Le, T.K.; Ono, N. Robust TDOA-based joint source and microphone localization in a reverberant environment using medians of acceptable recovered TOAs. In Proceedings of the IEEE International Workshop on Acoustic Signal Enhancement (IWAENC), Xi’an, China, 13–16 September 2016; pp. 1–5. [Google Scholar]
- Kuang, Y.; Astrom, K. Stratified sensor network self-calibration from TDOA measurements. In Proceedings of the 21st European Signal Processing Conference, EUSIPCO 2013, Marrakech, Morocco, 9–13 September 2013; pp. 1–5. [Google Scholar]
- Vallet, P.; Mestre, X.; Loubaton, P. Performance Analysis of an Improved MUSIC DOA Estimator. IEEE Trans. Signal Process. 2015, 63, 6407–6422. [Google Scholar] [CrossRef]
- Liu, G.; Chen, H.; Sun, X. Modified MUSIC Algorithm for DOA Estimation with Nystrom Approximation. IEEE Sens. J. 2016, 16, 4673–4674. [Google Scholar] [CrossRef]
- Cui, K.; Wu, W.; Huang, J.; Chen, X.; Yuan, N.C. 2-D DOA estimation of LFM signals for UCA based on time-frequency multiple invariance ESPRIT. Prog. Electromagn. Res. M 2017, 53, 153–165. [Google Scholar] [CrossRef]
- Levy, A.; Gannot, S.; Habets, E.A.P. Multiple-hypothesis extended particle filter for acoustic source localization in reverberant environments. IEEE Trans. Audio Speech Lang. Process. 2011, 19, 1540–1555. [Google Scholar] [CrossRef]
- Nunes, L.O.; Martins, W.A.; Lima, M.V.; Biscainho, L.W.; Gonçalves, F.M.; Said, A.; Lee, B. A steered-response power algorithm employing hierarchical search for acoustic source localization using microphone arrays. IEEE Trans. Signal Process. 2014, 62, 5171–5183. [Google Scholar] [CrossRef]
- Roy, R.; Kailath, T. ESPRIT-estimation of signal parameters via rotational invariance techniques. IEEE Trans. Acoust. Speech Signal Process. 1989, 37, 984–995. [Google Scholar] [CrossRef]
- Das, P.; Bhattacharjee, A.; Pathak, S. Performance analysis of TLS-Esprit and QR TLS-Esprit algorithm for Direction of Arrival estimation. In Proceedings of the 2015 International Conference on Communications and Signal Processing (ICCSP), Melmaruvathur, India, 2–4 April 2015; pp. 1395–1398. [Google Scholar]
- Zhou, L.; Huang, D. A new ESPRIT algorithm based on Toeplitz method for coherent signals. In Proceedings of the 2011 International Conference on Transportation, Mechanical, and Electrical Engineering (TMEE), Changchun, China, 16–18 December 2011; pp. 1521–1524. [Google Scholar]
- Wu, X.; Zhu, W.; Yan, J. A Fast Gridless Covariance Matrix Reconstruction Method for One- and Two-Dimensional Direction-of-Arrival Estimation. IEEE Sens. J. 2017, 17, 4916–4927. [Google Scholar] [CrossRef]
- Liu, K.; Zhang, Y.D. Coprime array-based DOA estimation in unknown nonuniform noise environment. Digit. Signal Process. 2018, 79, 66–74. [Google Scholar] [CrossRef]
- Liao, B.; Chan, S.C.; Huang, L.; Guo, C. Iterative methods for subspace and DOA estimation in nonuniform noise. IEEE Trans. Signal Process. 2016, 64, 3008–3020. [Google Scholar] [CrossRef]
- Liao, B.; Huang, L.; Guo, C.; So, H.C. New approaches to direction-of-arrival estimation with sensor arrays in unknown nonuniform noise. IEEE Sens. J. 2016, 16, 8982–8989. [Google Scholar] [CrossRef]
- Liao, B.; Guo, C.; Huang, L.; Wen, J. Matrix completion based direction-of-arrival estimation in nonuniform noise. In Proceedings of the 2016 IEEE International Conference on Digital Signal Processing (DSP), Beijing, China, 16–18 October 2016; pp. 66–69. [Google Scholar]
- Vaidyanathan, P.P.; Pal, P. Sparse sensing with co-prime samplers and arrays. IEEE Trans. Signal Process. 2011, 59, 573–586. [Google Scholar] [CrossRef]
- Liu, C.L.; Vaidyanathan, P.P. Remarks on the spatial smoothing step in coarray MUSIC. IEEE Signal Process. Lett. 2015, 22, 1438–1442. [Google Scholar] [CrossRef]
- Tian, Y.; Shi, H.; Xu, H. DOA estimation in the presence of unknown non-uniform noise with coprime array. Electron. Lett. 2017, 53, 113–115. [Google Scholar] [CrossRef]
- Levin, D.; Habets, E.A.P.; Gannot, S. On the angular error of intensity vector based direction of arrival estimation in reverberant sound fields. J. Acoust. Soc. Am. 2010, 128, 1800–1811. [Google Scholar] [CrossRef] [PubMed]
- Levin, D.; Habets, E.A.P.; Gannot, S. Impact of source signal coloration on intensity vector based DOA estimation. In Proceedings of the Internation Workshop Acoustic Echo Noise Control (IWAENC), Tel Aviv, Israel, 30 August 2010; pp. 1–4. [Google Scholar]
- Wang, D.; Wu, Y. 2-D ESPRIT algorithm research based on uniform circular array. J. Commun. 2006, 27, 89–95. [Google Scholar]
- Zhang, H.; Ma, X.; Cheng, Y.; Bai, Y. Study on DOA estimation algorithm for smart antenna of uniform circular. In Proceedings of the 2010 International Conference on Computer Application and System Modeling (ICCASM), Taiyuan, China, 22–24 October 2010; pp. 627–631. [Google Scholar]
- Liu, Y.; Liao, Y. Improve UCA-ESPRIT Algorithm Based on Uniform Circular Array. Comput. Sci. 2017, 44, 72–74. [Google Scholar]
- Fischler, M.A.; Bolles, R.C. Random sample consensus: A paradigm for model fitting with applications to image analysis and automated cartography. Commun. ACM 1981, 24, 381–395. [Google Scholar] [CrossRef]
- Tordoff, B.; Murray, D.W. Guided sampling and consensus for motion estimation. In Proceedings of the European Conference on Computer Vision (ECCV 02), Copenhagen, Denmark, 28–31 May 2002; pp. 82–96. [Google Scholar]
- Michael, M.I.; Weiss, R.J.; Ellis, D. Model-Based Expectation Maximization Source Separation and Localization. IEEE Trans. Audio Speech Lang. Process. 2010, 18, 382–394. [Google Scholar]
- Zheng, X.; Ritz, C.; Xi, J. Encoding and communicating navigable speech soundfields. Multimed. Tools Appl. 2016, 75, 5183–5204. [Google Scholar] [CrossRef]
- Chen, X.; Wang, W.; Wang, Y.; Zhong, X.; Alinaghi, A. Reverberant speech separation with probabilistic timefrequency masking for B-format recordings. Speech Commun. 2015, 68, 41–54. [Google Scholar] [CrossRef]
- Hu, B.; Song, Z.; Yu, L. Simulation of UCA-ESPRI T Algorithm in Smart Antennas. J. PLA Univ. Sci. Technol. 2004, 5, 19–21. [Google Scholar]
- Li, B. An improved MMUSIC algorithm of direction of arrival estimation. Int. J. Commun. Syst. 2013, 26, 853–862. [Google Scholar] [CrossRef]
- Kannan, N.; Kundu, D. On modified EVLP and ML methods for estimating superimposed exponential signals. Signal Process. 1994, 39, 223–233. [Google Scholar] [CrossRef]
- Campbell, D.; Palomaki, K.; Brown, G. A MATLAB simulation of ‘shoebox’ room acoustics for use in research and teaching. Comput. Inf. Syst. J. 2005, 9, 48–51. [Google Scholar]
- Zhao, L.; Liang, R.; Wei, X.; Xi, J. Speech Signal Processing; China Machine Press: Beijing, China, 2016. [Google Scholar]
- Kundu, D. Modified MUSIC algorithm for estimation DOA of signals. Signal Process. 1996, 48, 85–90. [Google Scholar] [CrossRef]
- Kundu, D. Estimating direction of arrival of signal; some asymptotic results. Sankhyā Indian J. Stat. 1999, 61, 120–138. [Google Scholar]







| Method | ||
|---|---|---|
| Line 1 | 40.8530 | 41.1326 |
| Line 2 | 35.8619 | 33.1799 |
| Line 3 | 37.7511 | 34.0132 |
| Line 4 | 37.6058 | 43.3901 |
© 2019 by the authors. Licensee MDPI, Basel, Switzerland. This article is an open access article distributed under the terms and conditions of the Creative Commons Attribution (CC BY) license (http://creativecommons.org/licenses/by/4.0/).
Share and Cite
Xu, Z.; Wu, S.; Yu, Z.; Guang, X. A Robust Direction of Arrival Estimation Method for Uniform Circular Array. Sensors 2019, 19, 4427. https://doi.org/10.3390/s19204427
Xu Z, Wu S, Yu Z, Guang X. A Robust Direction of Arrival Estimation Method for Uniform Circular Array. Sensors. 2019; 19(20):4427. https://doi.org/10.3390/s19204427
Chicago/Turabian StyleXu, Zhengqin, Shiqian Wu, Zhuliang Yu, and Xingyu Guang. 2019. "A Robust Direction of Arrival Estimation Method for Uniform Circular Array" Sensors 19, no. 20: 4427. https://doi.org/10.3390/s19204427
APA StyleXu, Z., Wu, S., Yu, Z., & Guang, X. (2019). A Robust Direction of Arrival Estimation Method for Uniform Circular Array. Sensors, 19(20), 4427. https://doi.org/10.3390/s19204427

