Bit Error Rate Closed-Form Expressions for LoRa Systems under Nakagami and Rice Fading Channels
Abstract
:1. Introduction
2. System Model
3. Bit Error Probability
3.1. Error Probability for AWGN channels
3.2. Error Probability for Nakagami-m Channels
3.3. Error Probability for Rayleigh channels
3.4. Rician Fading
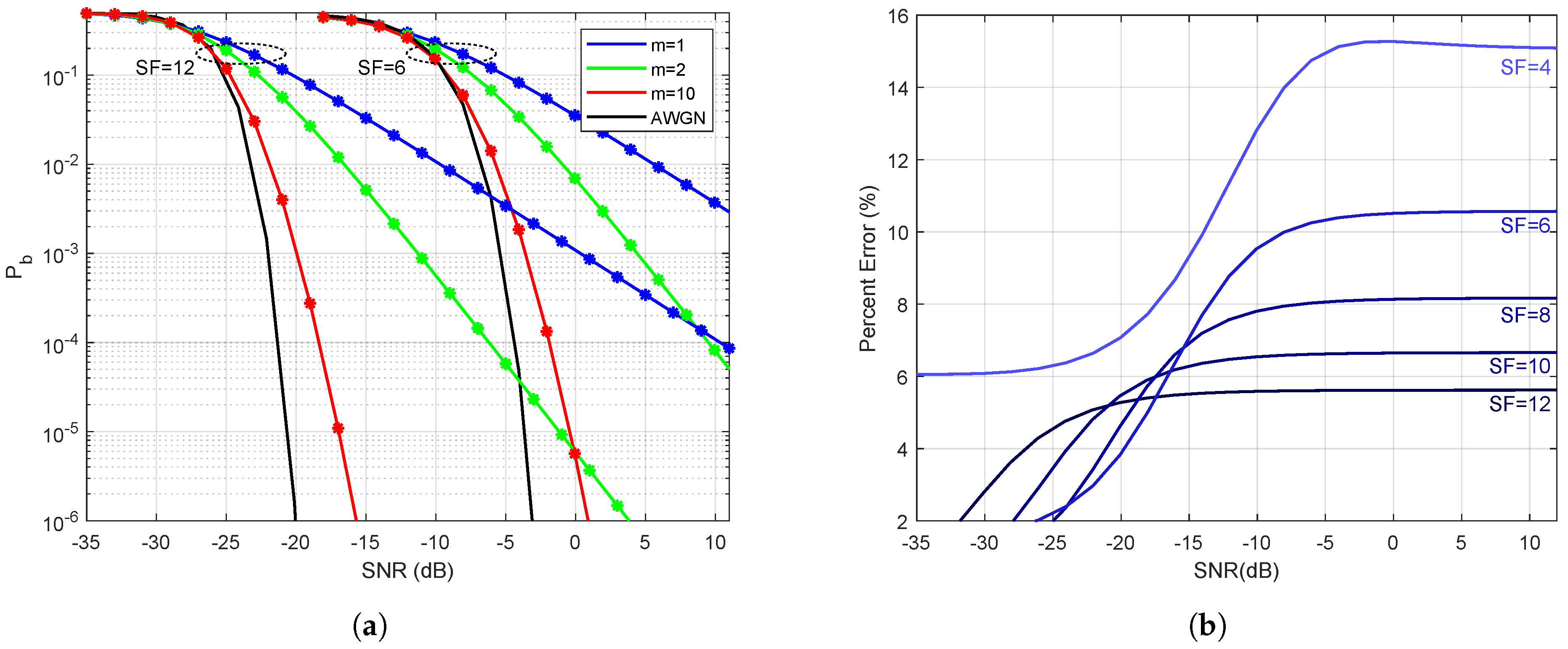
4. Numerical Results
5. Application Case
6. Conclusions
Author Contributions
Funding
Acknowledgments
Conflicts of Interest
References
- Centenaro, M.; Vangelista, L.; Zanella, A.; Zorzi, M. Long-range communications in unlicensed bands: The rising stars in the IoT and smart city scenarios. IEEE Wirel. Commun. 2016, 23, 60–67. [Google Scholar] [CrossRef]
- LoRa Alliance. Available online: https://lora-alliance.org/ (accessed on 27 September 2019).
- Mikhaylov, K.; Petaejaejaervi, J.; Haenninen, T. Analysis of capacity and scalability of the LoRa low power wide area network technology. In Proceedings of the European Wireless 2016 22th European Wireless Conference, Oulu, Finland, 18–20 May 2016; pp. 1–6. [Google Scholar]
- Aref, M.; Sikora, A. Free space range measurements with Semtech LoRa™ technology. In Proceedings of the 2014 2nd International Symposium on Wireless Systems within the Conferences on Intelligent Data Acquisition and Advanced Computing Systems, Offenburg, Germany, 11–12 September 2014; pp. 19–23. [Google Scholar]
- Augustin, A.; Yi, J.; Clausen, T.; Townsley, W. A study of LoRa: Long range & low power networks for the internet of things. Sensors 2016, 16, 1466. [Google Scholar]
- Sforza, F. Communication System. U.S. Patent 8406275 B2, 26 March 2013. [Google Scholar]
- Goursaud, C.; Gorce, J.M. Dedicated networks for IoT: PHY/MAC state of the art and challenges. EAI Endorsed Trans. Internet Things 2015. [Google Scholar] [CrossRef]
- Reynders, B.; Meert, W.; Pollin, S. Range and coexistence analysis of long range unlicensed communication. In Proceedings of the 2016 23rd International Conference on Telecommunications (ICT), Thessaloniki, Greece, 16–18 May 2016; pp. 1–6. [Google Scholar]
- Reynders, B.; Pollin, S. Chirp spread spectrum as a modulation technique for long range communication. In Proceedings of the 2016 Symposium on Communications and Vehicular Technologies (SCVT), Mons, Belgium, 22 November 2016; pp. 1–5. [Google Scholar]
- Vangelista, L. Frequency shift chirp modulation: The LoRa modulation. IEEE Signal Process. Lett. 2017, 24, 1818–1821. [Google Scholar] [CrossRef]
- Elshabrawy, T.; Robert, J. Closed-form approximation of LoRa modulation BER performance. IEEE Commun. Lett. 2018, 22, 1778–1781. [Google Scholar] [CrossRef]
- Proakis, J.G.; Salehi, M. Digital Communications; McGraw-Hill: New York, NY, USA, 2001; Volume 4. [Google Scholar]
- Mendes, J.R.; Yacoub, M.D.; Fraidenraich, G. Closed-form generalized power correlation coefficient of the Hoyt fading signal. IEEE Commun. Lett. 2006, 10, 94–96. [Google Scholar] [CrossRef]
- Nakagami, M. The m-distribution—A general formula of intensity distribution of rapid fading. In Statistical Methods in Radio Wave Propagation; Elsevier: Los Angeles, CA, USA, 1960; pp. 3–36. [Google Scholar]
- Suzuki, H. A statistical model for urban radio propogation. IEEE Trans. Commun. 1977, 25, 673–680. [Google Scholar] [CrossRef]
- Dias, U.S.; Yacoub, M.D.; Santos Filho, J.C.S.; Fraidenraich, G.; da Costa, D.B. On the Nakagami-m autocorrelation and power spectrum functions: Field trials and validation. In Proceedings of the 2006 International Telecommunications Symposium, Fortaleza, Brazil, 3–6 September 2006; pp. 253–256. [Google Scholar]
- Porto, I.B.; Yacoub, M.D.; Santos Filho, J.C.S.; Cotton, S.L.; Scanlon, W.G. Nakagami-m phase model: Further results and validation. IEEE Wirel. Commun. Lett. 2013, 2, 523–526. [Google Scholar] [CrossRef]
- SX1272/73—860 MHz to 1020 MHz Low Power Long Range Transceiver. Available online: https://www.semtech.com/uploads/documents/sx1272.pdf (accessed on 27 September 2019).
- Abramowitz, M.; Stegun, I.A. Handbook of Mathematical Functions with Formulas, Graphs, and Mathematical Tables; Ninth Dover Printing, Tenth gpo Printing ed.; Dover: New York, NY, USA, 1964. [Google Scholar]
- Yacoub, M.D. Foundations of Mobile Radio Engineering; Routledge: Abingdon, UK, 2019. [Google Scholar]




| SNR = −30 dB | SNR = −10 dB | SNR = 10 dB | ||||||||||||
|---|---|---|---|---|---|---|---|---|---|---|---|---|---|---|
| 1 | 3 | 5 | 1 | 3 | 5 | 1 | 3 | 5 | ||||||
| 12 | 0.7 | 2 | 0.0 | 12 | 0.5 | 5.0 | 4.0 | 12 | 2.1 | 11.0 | 4.0 | |||
| 10 | 1.5 | 8.0 | 0.1 | 10 | 2.2 | 1.0 | 1.2 | 10 | 0.2 | 7.8 | 80.0 | |||
| 8 | 65.6 | 1.9 | 1.5 | 8 | 0.1 | 0.2 | 2.6 | 8 | 23.4 | 0.6 | 13.3 | |||
| 6 | 25.4 | 0.7 | 0.2 | 6 | 2.7 | 2.3 | 1.9 | 6 | 0.9 | 4.6 | 3.3 | |||
| 4 | 21.7 | 0.4 | 0.7 | 4 | 0.8 | 13.0 | 4.2 | 4 | 2.4 | 1.2 | 3.5 | |||
| Region | Frequency (MHz) |
|---|---|
| EU | 863–870 |
| US | 902–928 |
| AU | 915–928 |
| CN | 779–787 and 470–510 |
© 2019 by the authors. Licensee MDPI, Basel, Switzerland. This article is an open access article distributed under the terms and conditions of the Creative Commons Attribution (CC BY) license (http://creativecommons.org/licenses/by/4.0/).
Share and Cite
Ferreira Dias, C.; Rodrigues de Lima, E.; Fraidenraich, G. Bit Error Rate Closed-Form Expressions for LoRa Systems under Nakagami and Rice Fading Channels. Sensors 2019, 19, 4412. https://doi.org/10.3390/s19204412
Ferreira Dias C, Rodrigues de Lima E, Fraidenraich G. Bit Error Rate Closed-Form Expressions for LoRa Systems under Nakagami and Rice Fading Channels. Sensors. 2019; 19(20):4412. https://doi.org/10.3390/s19204412
Chicago/Turabian StyleFerreira Dias, Claudio, Eduardo Rodrigues de Lima, and Gustavo Fraidenraich. 2019. "Bit Error Rate Closed-Form Expressions for LoRa Systems under Nakagami and Rice Fading Channels" Sensors 19, no. 20: 4412. https://doi.org/10.3390/s19204412
APA StyleFerreira Dias, C., Rodrigues de Lima, E., & Fraidenraich, G. (2019). Bit Error Rate Closed-Form Expressions for LoRa Systems under Nakagami and Rice Fading Channels. Sensors, 19(20), 4412. https://doi.org/10.3390/s19204412

