Sensitivity of a Ratio Vegetation Index Derived from Hyperspectral Remote Sensing to the Brown Planthopper Stress on Rice Plants
Abstract
:1. Introduction
2. Materials and Methods
2.1. Rice Plants and Insects
2.2. Transfer BPHs onto Rice Plants
2.3. Measurement of Spectral Reflectance
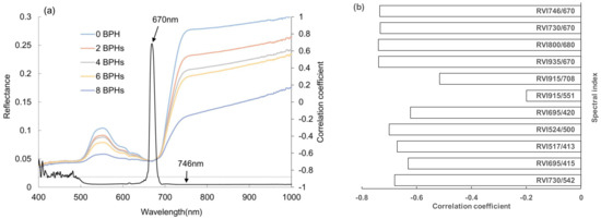
2.4. Data Analysis
3. Results
3.1. RVI746/670 of Rice Plants Exposed to BPH for Different Days
3.2. Relationships between Spectral Index and the Number of BPH or Exposure Day
3.3. Model of RVI746/670 Based on the Number of BPH and Exposure Days
4. Discussion
5. Conclusions
Author Contributions
Funding
Conflicts of Interest
References
- Jackson, R.D. Remote-sensing of biotic and abiotic plant stress. Annu. Rev. Phytopathol. 1986, 24, 265–287. [Google Scholar] [CrossRef]
- Wu, T.; Ni, S.X.; Li, Y.M.; Zhou, X.X.; Chen, J. Monitoring of the damage intensity extent by oriental migratory locust using of hyper-spectra data measured at ground surface. J. Remote Sens. 2007, 11, 103–108. [Google Scholar]
- Prabhakar, M.; Prasad, Y.G.; Desai, S.; Thirupathi, M.; Gopika, K.; Rao, G.R.; Venkateswarlu, B. Hyperspectral remote sensing of yellow mosaic severity and associated pigment losses in Vigna mungo using multinomial logistic regression models. Crop Prot. 2013, 45, 132–140. [Google Scholar] [CrossRef]
- Zhao, F.; Huang, Y.; Guo, Y.; Reddy, K.N.; Lee, M.A.; Flecher, R.S.; Thomson, S.J. Early detection of crop injury from glyphosate on soybean and cotton using plant leaf hyperspectral data. Remote Sens. 2014, 6, 1538–1563. [Google Scholar] [CrossRef]
- Yang, Z.; Rao, M.N.; Elliott, N.C.; Kindler, S.D.; Popham, T.W. Using ground-based multispectral radiometry to detect stress in wheat caused by greenbug (Homoptera: Aphididae) infestation. Comput. Electron. Agric. 2005, 47, 121–135. [Google Scholar] [CrossRef]
- Elliott, N.; Mirik, M.; Yang, Z.M.; Jones, D.; Phoofolo, M.; Catana, V.; Giles, K.; Michels, G.J., Jr. Airborne remote sensing to detect greenbug stress to wheat. Southwest. Entomol. 2009, 34, 205–211. [Google Scholar] [CrossRef]
- Huang, J.R.; Liao, H.J.; Zhu, Y.B.; Sun, J.Y.; Sun, Q.H.; Liu, X.D. Hyperspectral detection of rice damaged by rice leaf folder (Cnaphalocrocis medinalis). Comput. Electron. Agric. 2012, 82, 100–107. [Google Scholar] [CrossRef]
- Huang, J.R.; Sun, J.Y.; Liao, H.J.; Liu, X.D. Detection of brown planthopper infestation based on SPAD and spectral data from rice under different rates of nitrogen fertilizer. Precis. Agric. 2015, 16, 148–163. [Google Scholar] [CrossRef]
- Hu, Z.Q.; Kang, J.X.; Luo, C.; Hu, X.S.; Zhang, G.S.; Zhao, H.Y. Canopy hyperspectral characteristics and its predication model for the amount of grain aphid Sitobion avenae under different wheat cultivars. J. Nanjing Agric. Univ. 2015, 38, 267–272. [Google Scholar]
- Xue, L.Z.; Xu, L.; Tan, Y.; Liu, X.D. Spectral characteristics of different rice cultivars damaged by the brown planthopper Nilaparvata lugens. J. Nanjing Agric. Univ. 2015, 38, 796–803. [Google Scholar]
- Xu, L.; Tan, Y.; Liu, X.D. Possibility of monitoring population density of brown planthoppers and grain weight of rice using spectral reflectance from rice canopy. J. Nanjing Agric. Univ. 2016, 39, 954–959. [Google Scholar]
- Liu, X.D.; Sun, Q.H. Early assessment of the yield loss in rice due to the brown planthopper using a hyperspectral remote sensing method. Int. J. Pest Manag. 2016, 62, 205–213. [Google Scholar] [CrossRef]
- Yang, C.M.; Cheng, C.H.; Chen, R.K. Changes in spectral characteristics of rice canopy infested with brown planthopper and leaffolder. Crop Sci. 2007, 47, 329–335. [Google Scholar] [CrossRef]
- Mirik, M.; Ansley, R.J.; Michels, G.J., Jr.; Elliott, N.C. Spectral vegetation indices selected for quantifying Russian wheat aphid (Diuraphis noxia) feeding damage in wheat (Triticum aestivum L.). Precis. Agric. 2012, 13, 501–516. [Google Scholar] [CrossRef]
- Chen, T.; Zeng, R.; Guo, W.; Hou, X.; Lan, Y.; Zhang, L. Detection of stress in cotton (Gossypium hirsutum L.) caused by aphids using leaf level hyperspectral measurements. Sensors 2018, 18, 2798. [Google Scholar] [CrossRef] [PubMed]
- Mirik, M.; Michels, G.J., Jr.; Kassymzhanova-Mirik, S.; Elliott, N.C. Reflectance characteristics of Russian wheat aphid (Hemiptera: Aphididae) stress and abundance in winter wheat. Comput. Electron. Agric. 2007, 57, 123–134. [Google Scholar] [CrossRef]
- Qiao, H.B.; Jiang, J.W.; Cheng, D.F.; Chen, S.L.; Liu, J.A.; Ma, J.S. Comparison of hyperspectral characteristics in tobacco aphid damage. Chin. Bull. Entomol. 2007, 44, 57–61. [Google Scholar]
- Sun, Q.H.; Liu, X.D. Spectral characteristics of the damaged rice plant by brown planthopper, Nilaparvata lugens. Chin. J. Rice Sci. 2010, 24, 203–209. [Google Scholar]
- Yang, Z.; Rao, M.N.; Elliott, N.C.; Kindler, S.D.; Popham, T.W. Differentiating stress induced by greenbugs and Russian wheat aphids in wheat using remote sensing. Comput. Electron. Agric. 2009, 67, 64–70. [Google Scholar] [CrossRef]
- Jia, X.Q.; Feng, M.C.; Yang, W.D.; Wang, C.; Xiao, L.J.; Sun, H.; Wu, G.H.; Zhang, S. Hyperspectral estimation of aboveground dry biomass of winter wheat based on the combination of vegetation indices. Chin. J. Ecol. 2018, 37, 424–429. [Google Scholar]
- Wang, R.L.; Lu, M.H.; Han, L.Z.; Yu, F.L.; Chen, F.J. Methods and technologies for surveying and sampling the rice planthoppers, Nilaparvata lugens, Sogatella furcifera and Laodelphax striatellus. Chin. J. Appl. Entomol. 2014, 51, 842–847. [Google Scholar]
- Prasannakumar, N.R.; Chander, S.; Sahoo, R.N. Characterization of brown planthopper damage on rice crops through hyperspectral remote sensing under field conditions. Phytoparasitica 2014, 42, 387–395. [Google Scholar] [CrossRef]
- Prasannakumar, N.R.; Chander, S.; Sahoo, R.N.; Gupta, V.K. Assessment of brown planthopper, (Nilaparvata lugens [Stål]), damage in rice using hyperspectral remote sensing. Int. J. Pest Manag. 2013, 59, 180–188. [Google Scholar] [CrossRef]
- Luedeling, E.; Hale, A.; Zhan, M.H.; Bentley, W.J.; Dharmasri, L.C. Remote sensing of spider mite damage in California peach orchards. Int. J. Appl. Earth Obs. Geoinf. 2009, 11, 244–255. [Google Scholar] [CrossRef]
- Liu, Z.Y.; Qi, J.G.; Wang, N.N.; Zhu, Z.R.; Luo, J.; Liu, L.J.; Tang, J.; Cheng, J.A. Hyperspectral discrimination of foliar biotic damages in rice using principal component analysis and probabilistic neural network. Precis. Agric. 2018, 19, 973–991. [Google Scholar] [CrossRef]
- Fan, Y.; Wang, T.; Qiu, Z.; Peng, J.; Zhang, C.; He, Y. Fast detection of striped stem-borer (Chilo suppressalis Walker) infested rice seedling based on visible/Near-infrared hyperspectral imaging system. Sensors 2017, 17, 2470. [Google Scholar] [CrossRef] [PubMed]
- Denno, R.F.; Roderick, G.K. Population biology of planthoppers. Annu. Rev. Entomol. 1990, 35, 489–520. [Google Scholar] [CrossRef]
- Yan, Y.; Wu, Z.; You, S. Evaluation of the damage of brown planthopper to paddy rice. Acta Phytophylacica Sin. 1991, 13, 139–142. [Google Scholar]
- Litsinger, J.A. When is a rice insect a pest: Yield loss and the green revolution. In Intergrated Pest Management: Innovation-Development Process; Chapter 16; Peshin, R., Dhawan, A.K., Eds.; Springer: Dordrecht, The Netherlands, 2009. [Google Scholar]
- Sheng, C.F. An approach to the nature of compensation of crops for insect feeding. Acta Ecol. Sin. 1989, 9, 207–212. [Google Scholar]
- Jin, D. Ability of compensation of rice to the larval injury by the rice leaffolder, Cnaphalocrocis medinalis (Güenée). Acta Phytophylacica Sin. 1984, 11, 1–7. [Google Scholar]









| Source | Degree of Freedom | Mean Square | F | p |
|---|---|---|---|---|
| BPH density | 4 | 44.88566 | 41.37604 | <0.001 |
| Exposure day | 3 | 10.27968 | 9.475905 | <0.001 |
| Recover day | 3 | 1.048373 | 1.239454 | 0.298 |
| BPH density*exposure day | 12 | 6.314903 | 5.82114 | <0.001 |
| BPH density*recover day | 12 | 0.774209 | 0.915321 | 0.534 |
| Expousre day*recover day | 9 | 0.929848 | 1.099327 | 0.368 |
| BPH density*exposure day*recover day | 36 | 0.256511 | 0.303264 | 0.999 |
© 2019 by the authors. Licensee MDPI, Basel, Switzerland. This article is an open access article distributed under the terms and conditions of the Creative Commons Attribution (CC BY) license (http://creativecommons.org/licenses/by/4.0/).
Share and Cite
Tan, Y.; Sun, J.-Y.; Zhang, B.; Chen, M.; Liu, Y.; Liu, X.-D. Sensitivity of a Ratio Vegetation Index Derived from Hyperspectral Remote Sensing to the Brown Planthopper Stress on Rice Plants. Sensors 2019, 19, 375. https://doi.org/10.3390/s19020375
Tan Y, Sun J-Y, Zhang B, Chen M, Liu Y, Liu X-D. Sensitivity of a Ratio Vegetation Index Derived from Hyperspectral Remote Sensing to the Brown Planthopper Stress on Rice Plants. Sensors. 2019; 19(2):375. https://doi.org/10.3390/s19020375
Chicago/Turabian StyleTan, Ye, Jia-Yi Sun, Bing Zhang, Meng Chen, Yu Liu, and Xiang-Dong Liu. 2019. "Sensitivity of a Ratio Vegetation Index Derived from Hyperspectral Remote Sensing to the Brown Planthopper Stress on Rice Plants" Sensors 19, no. 2: 375. https://doi.org/10.3390/s19020375
APA StyleTan, Y., Sun, J.-Y., Zhang, B., Chen, M., Liu, Y., & Liu, X.-D. (2019). Sensitivity of a Ratio Vegetation Index Derived from Hyperspectral Remote Sensing to the Brown Planthopper Stress on Rice Plants. Sensors, 19(2), 375. https://doi.org/10.3390/s19020375
