Economic Analysis of a Multi-Sided Platform for Sensor-Based Services in the Internet of Things
Abstract
1. Introduction
1.1. IoT and Multi-Sided Markets
1.2. Objectives, Related Work and Structure
- The platform will intermediate between the three groups of agents that interact in an IoT market: users, application developers, and data sensors. By incorporating the data sensors, as stated above, the platform will no longer be focused on developing specific-purpose apps, but on gathering relevant data for the app developers, instead.
- The platform will set corresponding fees/payments for each side or group in order to maximize the platform’s profits.
- The profit maximizing fees/payments will incentivize the affiliation of the different groups leveraging the effect that each side has on the other sides (cross externalities).
- We propose a business model for a platform that intermediates in a three-sided IoT market.
- We identify and characterize the relevant cross externalities between the three sides and propose a fee structure for the platform.
- We derive the influence of the most relevant parameters on the profits, affiliations, and welfare of each group of agents on the equilibrium. These parameters are the relative strength attached by the advertisers to the subscribers and the population size of the groups.
2. Model Description
- N sensor networks (SNs)
- one IoT platform
- L developers
- M users
2.1. Sensor Networks
2.2. App Developers
- is the number of users that the advertisers expect will subscribe;
- is the valuation that the advertising agents attach to each subscriber;
- is the number of SNs that the advertisers expect will connect;
- is a quality factor and is assumed to be a sample of a random variable uniformly distributed in the interval .
2.3. Users
2.4. Equilibrium
2.5. The IoT Platform
3. Analysis
- If , , and thus, either or . Hence, and .
- If , , and thus, either or . Hence, and .
- If , we have both and . Therefore, , and consequently, .
| region | |||
3.1. Regions and (, )
3.2. Regions and (, )
3.3. Regions and (, )
3.4. Regions and (, )
3.5. Summary of the Results of the Analysis
3.6. Price Elasticity of Demands
- the expressions of the two elasticities are independent of the SNs’ side, that is they are not dependent on either n, or , or f;
- the absolute values are less than or equal to one, that is the demands at the users’ and developers’ sides are inelastic;
- a higher relative valuation translates into a less elastic user demand and a more elastic developer demand.
4. Results and Discussion
4.1. Optimum Prices and Equilibrium Values
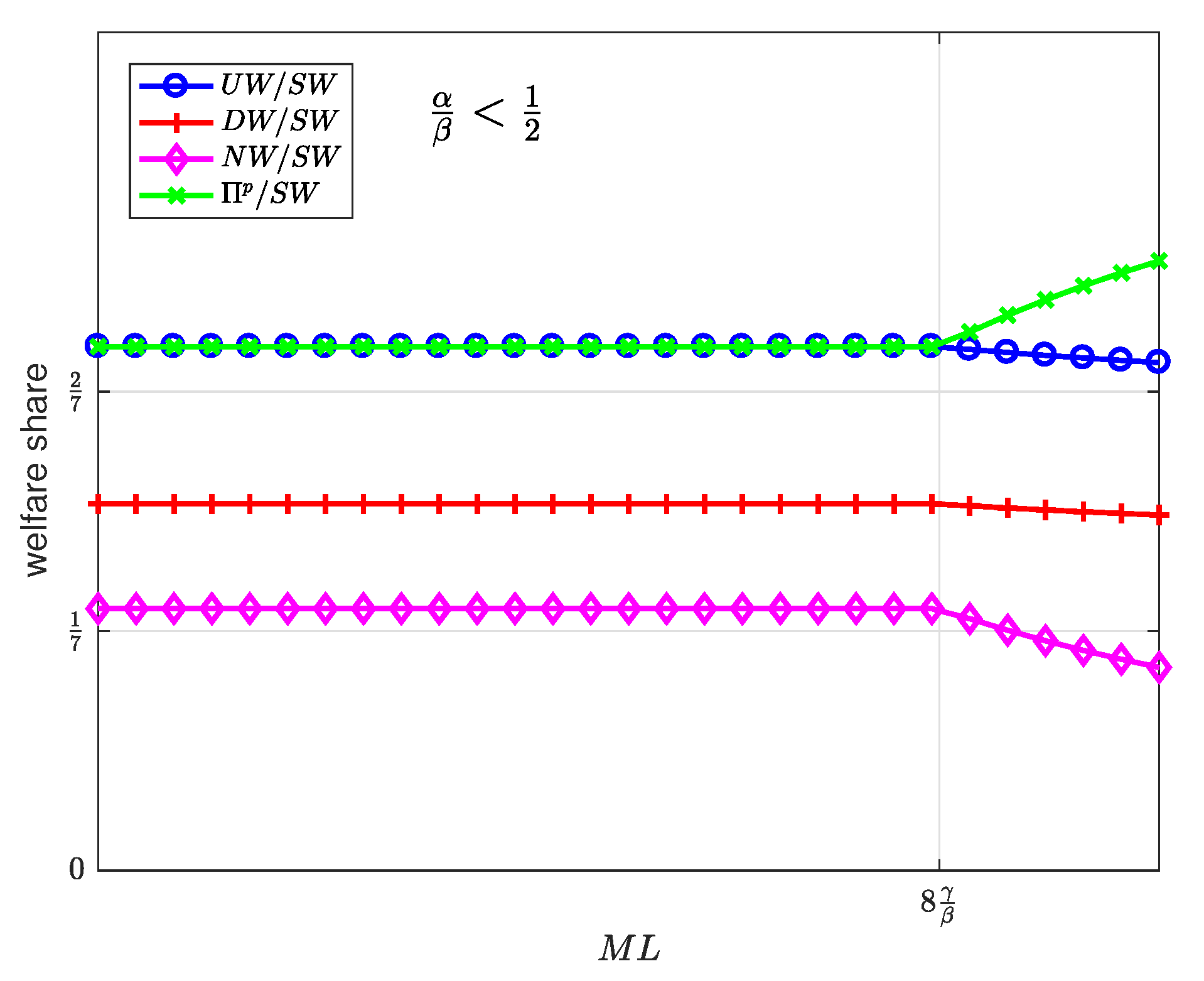
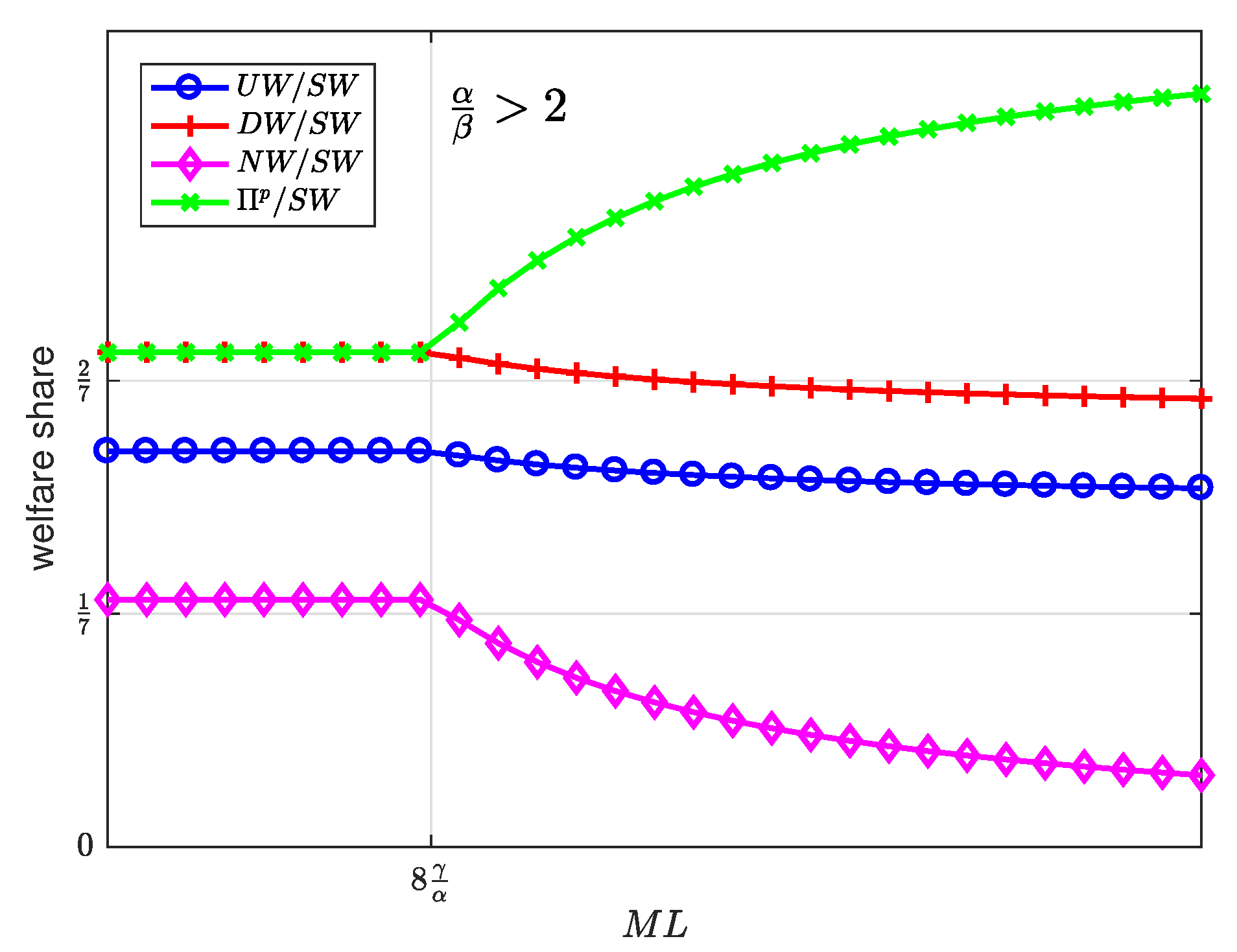
- For , the maximum profits are achieved when the users are offered a free service (, Figure 7), and therefore, all users subscribe to the service (, Figure 4). The users’ subscription is then subsidized by the advertisers. Note that a high value of means that a subscriber is highly valued by the agents willing to advertise through the apps. On the other hand, half of the developers register (, Figure 5). Finally, the number of connected SNs, , also reaches the maximum value N (Figure 6), which is achieved when reaches the value (Figure 9). The platform does not need to pay a fee higher than this value. This highest payment occurs for greater than a threshold that depends on the value of the other parameters.
- For , maximum profits are instead achieved when all developers register for free ( and , Figure 5 and Figure 8, respectively). In this case, the subscribers are charged a non-zero price (Figure 7). As a kind of dual situation compared to the previous case, half of the users subscribe (, Figure 4). The developers’ registration is now subsidized by the subscribers. As regards the SNs, they are paid the lowest fee (check the surface cut for a fixed in Figure 9), and the number of connected SNs is correspondingly at the lowest value (Figure 6).
- For intermediate values of , a fraction of the users subscribe and a fraction of the developers register, both paying non-zero fees. Moreover, a fraction of the SNs connects and receives a non-zero fee. Recalling the computation of the price elasticities and made in Section 3.6, we note that as moves from to two, the demand becomes more inelastic, that is an eventual reduction has less impact on the subscription, which approaches 100% (Figure 4). Conversely, as moves from two to , the demand becomes more inelastic, that is an eventual reduction has less impact on the developers’ registration, which approaches 100% (Figure 5).
4.2. Welfare
5. Conclusions
Author Contributions
Funding
Conflicts of Interest
References
- Bohli, J.M.; Sorge, C.; Westhoff, D. Initial observations on economics, pricing, and penetration of the internet of things market. ACM SIGCOMM Comput. Commun. Rev. 2009, 39, 50–55. [Google Scholar] [CrossRef]
- Schuermans, S.; Vakulenko, M. IoT—Breaking Free From Internet and Things, How Communities and Data Will Shape the Future of IoT in Ways We Cannot Imagine. VisionMobile Rep. 2014. Available online: http://www.visionmobile.com/blog (accessed on 15 July 2017).
- Armstrong, M. Competition in two-sided markets. RAND J. Econ. 2006, 37, 668–691. [Google Scholar] [CrossRef]
- Rochet, J.C.; Tirole, J. Two-sided markets: A progress report. RAND J. Econ. 2006, 37, 645–667. [Google Scholar] [CrossRef]
- Hagiu, A.; Wright, J. Multi-sided platforms. Int. J. Ind. Organ. 2015, 43, 162–174. [Google Scholar] [CrossRef]
- Belleflamme, P.; Omrani, N.; Peitz, M. The economics of crowdfunding platforms. Inf. Econ. Policy 2015, 33, 11–28. [Google Scholar] [CrossRef]
- Campbell-Kelly, M.; Garcia-Swartz, D.; Lam, R.; Yang, Y. Economic and business perspectives on smartphones as multi-sided platforms. Telecommun. Policy 2015, 39, 717–734. [Google Scholar] [CrossRef]
- Mantena, R.; Sankaranarayanan, R.; Viswanathan, S. Platform-based information goods: The economics of exclusivity. Decis. Support Syst. 2010, 50, 79–92. [Google Scholar] [CrossRef]
- Economides, N.; Tåg, J. Network neutrality on the Internet: A two-sided market analysis. Inf. Econ. Policy 2012, 24, 91–104. [Google Scholar] [CrossRef]
- Guijarro, L.; Pla, V.; Vidal, J.R.; Naldi, M. Game theoretical analysis of service provision for the Internet of Things based on sensor virtualization. IEEE J. Sel. Areas Commun. 2017, 35, 691–706. [Google Scholar] [CrossRef]
- Guijarro, L.; Pla, V.; Vidal, J.R.; Naldi, M. Maximum-profit two-sided pricing in service platforms based on wireless sensor networks. IEEE Wirel. Commun. Lett. 2016, 5, 8–11. [Google Scholar] [CrossRef]
- Guijarro, L.; Pla, V.; Vidal, J.R.; Naldi, M.; Mahmoodi, T. Wireless Sensor Network-Based Service Provisioning by a Brokering Platform. Sensors 2017, 17, 1115. [Google Scholar] [CrossRef] [PubMed]
- Guijarro, L.; Vidal, J.R.; Pla, V.; Naldi, M. Wireless sensor network-based service provision: A three-sided market model. In Proceedings of the 13th International Conference on Network and Service Management (CNSM), Tokyo, Japan, 26–30 November 2017; pp. 1–7. [Google Scholar]
- Niyato, D.; Hoang, D.T.; Luong, N.C.; Wang, P.; Kim, D.I.; Han, Z. Smart data pricing models for the internet of things: A bundling strategy approach. IEEE Netw. 2016, 30, 18–25. [Google Scholar] [CrossRef]
- Bresnahan, T.; Orsini, J.; Yin, P.L. Platform Choice by Mobile App Developers. 2014. Available online: http://citeseerx.ist.psu.edu (accessed on 15 May 2018).
- Mussa, M.; Rosen, S. Monopoly and product quality. J. Econ. Theory 1978, 18, 301–317. [Google Scholar] [CrossRef]
- Economides, N.S. A note on equilibrium in price-quality competition. Greek Econ. Rev. 1985, 7, 179–186. [Google Scholar]
- Katz, M.L.; Shapiro, C. Network externalities, competition, and compatibility. Am. Econ. Rev. 1985, 75, 424–440. [Google Scholar]
- Shy, O. The Economics of Network Industries; Cambridge University Press: Cambridge, UK, 2001. [Google Scholar]

















| Equation | Page | ||
|---|---|---|---|
| System Parameters | |||
| Number of users | M | 3 | |
| Number of developers | L | 3 | |
| Number of sensor networks (SNs) | N | 3 | |
| Conversion factor | 7 | ||
| Valuation of a subscriber | 6 | ||
| Network access fee per upload capacity unit | 5 | ||
| Optimization Parameters | |||
| Fee paid by each user to the platform | p | 7 | |
| Fee paid by each developer to the platform | d | 6 | |
| Fee paid by the platform to each SN | f | 5 | |
| Values of p, d, and f at which the maximum platform’s profits are attained | 8 | ||
| Random Variables | |||
| Number of subscribers | 7 | ||
| Number of registered developers | 7 | ||
| Number of connected SNs | 6 | ||
| User willingness to pay | 7 | ||
| Developer quality factor | 6 | ||
| SN upload requirements | 6 | ||
| Expected number of | m | (12) | 7 |
| Expected value of | l | (7) | 7 |
| Expected value of | n | (3) | 6 |
| Value of for user i | 7 | ||
| Value of for developer k | 6 | ||
| Value of for SN j | 5 | ||
| Number of users that the advertisers expect will subscribe | 6 | ||
| Number of developers that the users expect will register | 7 | ||
| Number of SNs that the advertisers expect will connect | 6 | ||
| Profits and Welfare | |||
| Utility of user i | (10) | 7 | |
| Profits of developer k | (5) | 6 | |
| Profits of SN i | (1) | 6 | |
| Platform’s profits | (17) | 8 | |
| Maximum platform’s profits | (19) | 8 | |
| Users’ welfare | UW | (13) | 7 |
| Developers’ welfare | DW | (8) | 7 |
| SNs’ welfare | NW | (4) | 6 |
| Social welfare | SW | (18) | 8 |
| Region | |||
|---|---|---|---|
| M | N | ||
| L | N | ||
| N |
| Regions | |||
|---|---|---|---|
| 0 | |||
| 0 |
© 2019 by the authors. Licensee MDPI, Basel, Switzerland. This article is an open access article distributed under the terms and conditions of the Creative Commons Attribution (CC BY) license (http://creativecommons.org/licenses/by/4.0/).
Share and Cite
Guijarro, L.; Vidal, J.R.; Pla, V.; Naldi, M. Economic Analysis of a Multi-Sided Platform for Sensor-Based Services in the Internet of Things. Sensors 2019, 19, 373. https://doi.org/10.3390/s19020373
Guijarro L, Vidal JR, Pla V, Naldi M. Economic Analysis of a Multi-Sided Platform for Sensor-Based Services in the Internet of Things. Sensors. 2019; 19(2):373. https://doi.org/10.3390/s19020373
Chicago/Turabian StyleGuijarro, Luis, Jose R. Vidal, Vicent Pla, and Maurizio Naldi. 2019. "Economic Analysis of a Multi-Sided Platform for Sensor-Based Services in the Internet of Things" Sensors 19, no. 2: 373. https://doi.org/10.3390/s19020373
APA StyleGuijarro, L., Vidal, J. R., Pla, V., & Naldi, M. (2019). Economic Analysis of a Multi-Sided Platform for Sensor-Based Services in the Internet of Things. Sensors, 19(2), 373. https://doi.org/10.3390/s19020373

